



对于随机变量,可以用理论分布完整地描述其特征,然而在实际工程中,一方面随机变量 X 的概率分布不易得知;另一方面有些场合并不要求用概率分布来描述随机变量,只需知道随机变量变化值的集中位置和离散程度即可。本小节简要介绍随机变量的数字特征。
1)数学期望
定义随机变量 X 的数学期望为:
显然,数学期望对于峰面对称的密度函数来说,就是曲线峰值的位置。
对于离散型随机变量 X ,数学期望:
由定义可知,数学期望为随机变量的值以其相应概率的加权平均值。
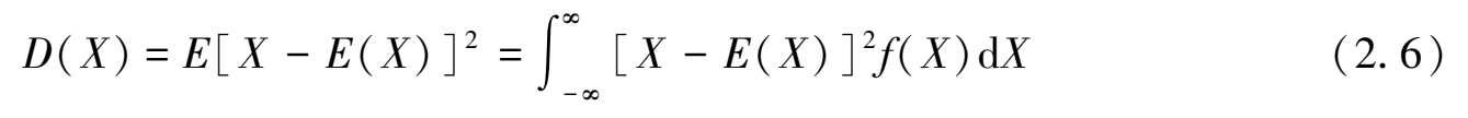
2)方差
定义随机变量 X 的方差为:
对于离散型随机变量 X ,其方差:
方差的平方根称为标准差或均方差,记为:
从方差定义可以看出,它是随机变量 Y = [ X - E ( X )] 2 的数学期望。对于确定的分布, E ( X )是确定的,因而,方差是反映 X 与 E ( X )偏离程度的变量 Y 的期望值,是描述随机变量 X 分散性的特征参数。
从方差是以随机变量的数学期望为标准,是有量纲的。为了克服量纲不同,不便于方差比较的弊端,引出一个无量纲的变异系数,定义为:
用以描述随机变量 X 的相对离散程度。
随机变量 X 对 c 的 k 阶矩记为 E ( X - c ) k ,定义为:
式中 c ——任意常数;
k ——任意正整数。
当 c = 0 时,称为原点矩,以 ν k 表示 k 阶原点矩。
当 c = E ( x )时,称为中心矩,以 μ k 表示 k 阶中心矩。
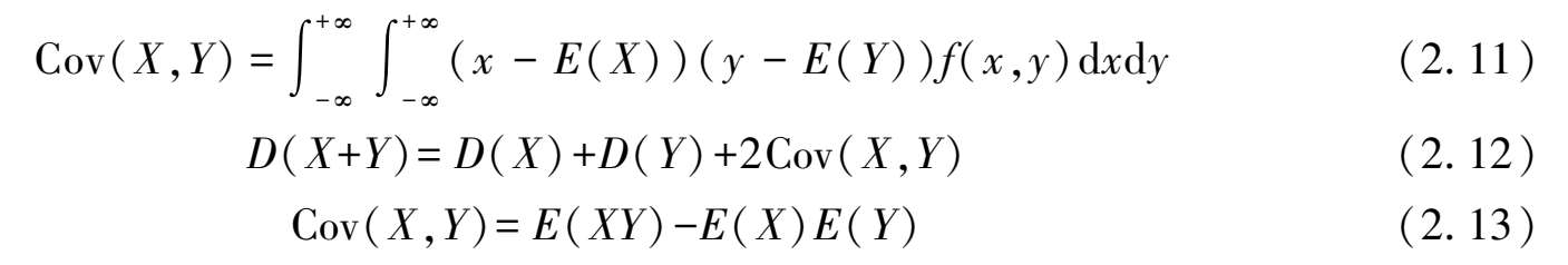
把 E {[ X - E ( X )][ Y - E ( Y )]}定义为随机变量 X 与 Y 的协方差,记为Cov( X , Y ),即Cov = E {[ X - E ( X )][ Y - E ( Y )]}。
由方差和数学期望性质有等式
协方差具有下述性质:
①Cov( X , Y )= Cov( Y , X )。
②Cov( aX , bY )= ab Cov( X , Y )。
③Cov( X 1 + X 2 , Y )= Cov( X 1 , Y )+Cov( X 2 , Y )。
1)随机变量
①随机变量的常数倍,其数学期望为原期望值的常数倍。
② X , Y 为两个相互独立的随机变量,则有:
③ X , Y 为两个相互独立的随机变量,则有:
2)方差
①常数的方差为 0,即
②随机变量的常数倍,其方差为随机变量 X 方差与常数平方之积。 D ( cX )= c 2 D ( X )。
③ X , Y 两个相互独立的随机变量,则 D ( X + Y )= D ( X )+ D ( Y )。
④ X , Y 两个任意的随机变量,则 D ( X ± Y )= D ( X )+ D ( Y )±2 COV ( X , Y )。
其中,为 X , Y 的协方差,可以表示为: