



货币理论的根本所在不仅仅是通过建立恒等式或静态方程组,进而说明金融工具周转量与商品周转量之间的关系,其真正意义在于:动态地处理货币问题,分析各个不同因素,从而理清物价与各个因素之间的因果关系,说明货币均衡的实现方式。
然而,我们一直学习的货币数量论 (具体细节详见第14章) 却不适用于此。货币数量论列举大量恒等式,说明不同货币因素之间的关系。但是,没有一种等式对现代经济体系中这些因素的因果关系动态变化进行区分。
此外,货币数量论还有一个缺点:它采用的标准既不是劳动力也不是购买力,而是其他某种标准,这多少有点虚假成分。根据本书第6章所述,也就是说,它既不是以现金交易为准也不是以现金差额为准。这一点大错特错,因为以上两者才是我们的终极目标,所以必须以此为准。劳动力与购买力是货币的基础,因此,从某种意义上说,基于其他支出的物价并非货币的基础。正是因为人类的劳动与消费才使经济活动具有意义。所以要想让其他各项支出变得至关重要,唯有与生产者的劳动或消费者的支出产生联系。
传统方法以货币总量为出发点,不考虑货币的用途。我打算放弃这种方法,以社会收入或货币收入流量为出发点,将收入分为两部分,至于理由,继续读下去就会清晰明了。第一部分是消费品与投资品的生产盈利;第二部分是消费品与储蓄的支出。
由此可见,若社会收入中第一部分与第二部分所占比例相同,也就是说,以生产成本计算,如果消费品与投资品在产出中的占比,等于当前消费与当前储蓄在支出中的占比,那么消费品的物价水平与其生产成本持平。但如果所占比例不同,消费品的物价水平与其生产成本之间就会存在差额。
投资品的物价水平却取决于另外一组因素,稍后再作讨论。
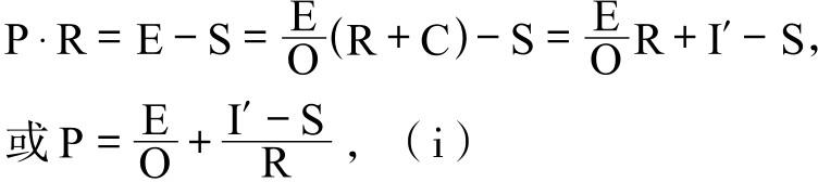
设一个社会单位时间内的货币总收入为E,投资品生产收入的那部分为I′,则新投资的生产成本为I′,当前消费品的生产成本为E-I′。
大卫·休谟
大卫·休谟(David Hume,1711—1776年),英国哲学家、历史学家、经济学家,被认为是苏格兰启蒙运动以及西方哲学史中最重要的人物之一,代表作为《人性论》《大不列颠史》。休谟通常被认为是最早的货币数量论提出者之一。
然后,假设上述储蓄额为S,则消费品收入当前支出为E-S。
商品数量单位的选择方法为,单位数量内每种商品在基准日内的生产成本相同。设单位时间内这些数量单位的商品总产量为O,流入市场最终为消费者购买的流动消费品与劳务量为R,投资净增量为C,可得O=R+C。
设流动消费品的物价水平为P,则消费品的当前支出为P·R,新投资的生产成本为
。
由于社会的消费品支出等于收入与储蓄之间的差额,所以:
这是第一个基本方程式。
设单位劳动力的收入为W
(则货币的劳动支配力为
)
,单位产品的收入为W
1
(即效率收入)
,效率系数为e
(则
W = e·W
1
)
。
然后式(i)式可改写如下:
因此,消费品的物价水平 (即货币购买力的倒数) 包含两类项目:第一项为效率收入,即生产成本;第二项根据新投资成本与当前储蓄额的关系可为正数 (新投资成本大于当前储蓄额) 、零 (新投资成本等于当前储蓄额) 或负数 (新投资成本小于当前储蓄额) 。由此可见,稳定的货币购买力须满足两个条件:第一,效率收入需保持固定不变;第二,新投资成本须等于当前储蓄额。
实际上,消费品与投资在产出中的占比,并不一定不等于消费支出与储蓄支出在收入中的占比,所以说物价水平由第一项决定的结论并不成立。工人因投资生产所得的工资与因消费生产所得的工资相等。但得到工资之后究竟是否用于消费,全看他们的个人喜好。与此同时,在如何分配这两类产出的比例问题上,企业家也有自己的决策。
读者将看到,消费品的物价水平与投资品的物价水平之间毫无干系。只需效率工资水平、新投资品成本 (与售价不同) 与储蓄额之间的差额,便可以明确得出消费品的物价水平,完全不用考虑投资品的物价水平。
如上文所言,投资品的物价水平由另外一组因素决定,关于这一点将在本章第三小节稍作讨论。假定新投资品的物价水平已知,则可以得到一个计算整个产量的公式,如下所示:
设新投资品的物价水平为P′,全部产品的物价水平为Π,可得新投资品增长的价值为I =P′·C (与生产成本 I′ 不同) 。
可得:
这是本书的第二个基本方程式。同上,将方程式(iv)改写如下:
接下来,设消费品的生产与销售利润 (定义同上) 总额为Q 1 ,投资品的相应利润额为Q 2 ,总利润额为Q。
可知
又因
Q 2 =I-I′
Q=Q 1 +Q 2
=I-S(viii)
所以,消费品的生产与销售利润便等于新投资成本与储蓄之间的差额,当储蓄大于新投资成本时利润为负。同时,整个产量的总利润等于新投资的价值与储蓄之间的差额,当储蓄超过新投资的价值时利润为负。
据此,可将方程式(ii)与方程式(v)改写如下:
从这几个方程式可以看出,消费品的价格等于生产要素的收入加上单位产量内消费品的利润。同理可得整个产量的价格。
显而易见,这些结论表明,所有上述方程式纯粹是形式,仅仅是几个恒等式,老生常谈而已,本身不能说明什么问题。由此看来,它们与货币数量论中的其他等式别无二致。唯一的目的在于分析整理材料,便于我们在实际应用中理清个中缘由。
顺便提一下利润
(或损失)
的一个特点,这也是我们必须将之与收入本身分作不同类别的原因之一。如果企业家愿意将他们的部分利润用于消费
(当然,没有什么能够阻挡他们这样做)
,这样做的作用是让流动消费品的销售利润增长刚好等于消费利润额。这是根据我们的定义得出的,因为此类支出被视为储蓄的减少,从而导致I′与S差额的增加。由此可见,无论企业家消费多少利润,属于企业家的财富增量一如从前。因此,作为企业家增加资本的来源,利润就像聚宝盆一样,不论怎么挥霍,总是取之不尽用之不竭。然而,在亏损时,如果企业家试图通过减少正常消费支出
(即通过增加储蓄)
来弥补亏损,那么这个聚宝盆就会变成达那伊得斯的瓦罐
,永远也盛不满。原因在于,这样减少开支相当于将等价的损失转嫁给消费品生产者。因此,尽管企业家有储蓄,但是作为一个阶级,他们的财富流失情况与之前一样。
既然公众储蓄额加上企业家生产流动消费品的利润 (或减去亏损) 后,总是刚好等于投资品的生产成本,难道就能得出投资品的售价必然等于其生产成本吗?
答案是不能。因为当投资品以高于
(或低于)
其生产成本的价格出售时,投资品生产商的所得利润
(或损失)
必然等于投资品售价
(无论多少)
与其实际生产成本之间的差额。
因此,无论投资品的物价水平如何,下一期支出额刚好等于当前储蓄加上利润额或减去亏损额。
阿姆斯特丹证券交易所
阿姆斯特丹证券交易所是世界上第一个股票交易所,于1609年诞生在阿姆斯特丹。2000年9月22日,阿姆斯特丹交易所与巴黎证券交易所以及布鲁塞尔证券交易所正式宣布合并,形成全球第一个跨国境、单一货币的股票和衍生品的泛欧交易所。
关于新投资品的价格决定因素,我们稍后讨论。我们目前的结论是:第一点,利润 (或亏损) 是其他因素作用的结果,而不是原因。鉴于此,往收入中增加利润 (或从中减少亏损) 显得荒谬可笑。因为,此时只要企业家的投资品产量没有变化,无论公众增加多少当前消费支出,储蓄永远不会减少;同样,减少消费支出,储蓄永远也不会增加。
第二点,已经存在的利润 (或亏损) 是产生后续结果的原因。其实,这也是现有经济体系不稳定的主要原因。后面几章将主要讨论这一点。为什么说本书把利润或亏损从基本方程式中分列出来是有益的,根本原因也在于此。
一个人在决定将多少收入用于储蓄时,他是在即期消费与财富所有权之间做出选择。如果他选择消费,就必须购买商品,因为货币无法直接消耗。但如果他选择储蓄,还需进一步做出选择。因为拥有财富的形式不止一种,比如,货币、流动的货币等价物、其他形式的贷款、实物资本等。也可以将后者称作在“储存”与“投资”之间做出的选择,换句话说,就是在“银行存款”与“证券”之间做出选择。
除此之外,两种决策之间还存在一个显著区别。储蓄额与新投资额的选择完全取决于当前活动。但银行存款或证券的选择不但与个人财富的当前增量有关,而且与个人现有资本总量有关。实际上,由于在现有财富总量中当前增量的占比根本微不足道,所以当前增量对这一问题来说无关紧要。
与过去相比,如今人们在持有财富时,更愿意选择储蓄存款而不是其他什么形式,这并不是说他们愿意为此不惜付出一切代价。而是说无论出于什么原因,在其他证券的现行价格基础之上,他们比以往更青睐于储蓄存款。但也不是说人们绝对不会选择其他证券,这取决于他们对储蓄存款与其他证券的未来回报期望如何。显而易见,这一点同时受储蓄存款利率与其他证券价格的影响。因此,如果其他证券的价格足够低,人们可能经不住诱惑而选择购买。然而,如果银行体系的运作方向与公众完全相反,同时当公众更愿意选择储蓄存款时,银行通过购买证券增加储蓄存款,从而满足公众对储蓄存款的偏好,如此投资价格就没必要下降。所以,储蓄存款与证券之间的相对吸引力发生变化时,必须通过下调证券价格或增加储蓄存款供应来加以调控,采取其中一种方法也可,同时采取两种亦可。证券价格下降就表明,银行增加储蓄存款也不足以抵消公众对证券市场的“看跌”势态;或是银行收紧储蓄存款,足以抵消公众对证券市场的“看涨”势态。“看跌”在本书后面章节中指:与其他财富形态相比,储蓄存款更受青睐,而持有银行贷款证券的偏好则有所下降。
由此可见,投资的实际物价水平是公众情绪与银行体系共同作用的结果。这并不是说,投资物价水平与新增储蓄存款额之间存在一定的数量关系。增加储蓄存款的数额,将会导致其他证券的价格高于储蓄存款的价格,而储蓄存款的价格取决于公众在证券价格发生变化时对储蓄存款的需求变化。
我们将在第15章看到,也可能存在这种情况:形形色色的公众分成“两派”,与以往相比,一派更青睐于银行存款,另一派更青睐于证券。此时,其结果取决于银行体系是否愿意充当两者之间的中介,设立银行存款,存款针对的是短期流动预付款而非证券。
不要忘记,我们正在处理的情况存在多重均衡。此时,各个元素相互之间或多或少会有一些影响,详情将在第15章进行论述,在此不做赘述,总结如下:
投资的整体物价水平,以及由此产生的新投资的物价水平,是公众愿意持有的储蓄存款量物价水平等于银行体系愿意并且能够设立的储蓄存款数额。
但是,如上所述,相对于生产成本而言,消费品的物价水平完全取决于以下两种决定所造成的结果:(1)公众对收入中储蓄占比的决定,(2)企业家生产中投资品产量占比的决定。虽然这两种决定都在一定程度上可能受到投资品物价水平的影响,但后者更甚。
由此可见,全部产品的物价水平与利润总额受以下四种因素的影响:(1)储蓄率,(2)新投资的成本,(3)公众的“看跌”势态,(4)储蓄存款额。或者简化为两种因素:(1)储蓄额超过投资成本的数额,(2)公众“看跌”势态导致多出的数额大于银行体系设立的存款额。
因此,考虑到新投资率与生产成本,消费品的物价水平完全取决于公众对“储蓄”的态度。考虑到银行设立的储蓄存款额度,投资品
(不论新旧)
的物价水平完全取决于公众对“储存”
货币的态度。
希望我已经将公众在拥有财富和获得收入之后,经常要做的两种决定区分清楚了。我们虽然掌握了这种区别,但依然很难解开这两种决定的因果关系,因为它们相互作用的方式异常复杂。储蓄额、投资额,以及二者之间的差额,在一定程度上取决于相对于生产成本的投资品物价水平。与此同时,公众对于储蓄存款与其他证券的不同态度,在一定程度上也可能受到对相对于生产成本的消费品物价水平的预期的影响。特别是当公众对储蓄存款以外的证券态度发生变化,而银行体系却没有采取行动予以补偿时,这将对相对于储蓄的投资率产生巨大影响,从而影响货币的购买力。
不过,尽管这些因素相互作用,过度储蓄与过度看跌
(或许我们可以这样称呼)
在某种意义上却互不影响。只要条件合适,无论是正是负,任何程度的过度储蓄与过度看跌都是可以共存的。
投资加拿大
18世纪中叶,英法在加拿大爆发“七年战争”,法国战败,加拿大遂成为了英属殖民地。19世纪,许多英国和美国商人在加拿大投资,迅速促进了当地资本主义经济的发展。
本节结束之前,可能需要对上述结论作进一步阐明:因储蓄大于投资而导致的消费品价格下跌,本身并不存在。如果公众的看跌或看涨势态并未发生任何变化,或储蓄存款额保持不变,抑或这两个因素间发生补偿性变化——意思是说,新投资品的价格需要朝相反方向变化。我相信可能有些读者难以接受这一结论。
根据上述假设,活期储蓄中用于购买投资品 (不论新旧) 的总价值,往往刚好等于活期储蓄额,与新投资品的当前产出并无关系。如果新投资品的价值少于当前储蓄额,对企业家整体来说必将蒙受损失,损失额度正好是少的那部分。这些损失代表当前产出的销售额并未达到预期,因此必须用资金弥补。预期现金收入未达标必须以某种方式补偿,而企业家的补救措施只有两种:不是减少自身银行存款,就是出售自身其他资本资产。以这种方式放出的银行存款、售出的证券,适用于活期储蓄超过新投资品价值的情况,而且数额正好相等。
更普遍的是,公众对证券的态度或储蓄存款额一直在变,如果企业家采取的应急措施——银行释放的存款加上银行允许范围内储蓄存款的增加额度——正好抵消公众想要增加银行存款支出的倾向,证券价格不变。如果前者大于后者,证券价格将上涨;如果后者大于前者,证券价格将下跌。
到目前为止,读者已经发现,货币购买力 (或消费品物价水平) 、产品的整体物价水平与货币量、流通速度的关系绝不像传统数量公式表现得那么直接。无论如何小心谨慎,难免不会让人产生这样的看法。
如果假设银行体系常规惯例保持不变,那么活期存款的需求量主要取决于收入的多少,即收入与产量的乘积;同时,储蓄存款需求量取决于受证券价格影响的公众的看跌势态。换句话说,在货币总量一定的情况下,只有收入、产量与证券物价水平共同作用,才可能实现货币总需求量等于给定总量。
1948年的法币
1948年,因为长期战乱,生产遭到严重破坏,国民政府大量印制钞票,造成了恶性通货膨胀。中国各地物价飞涨,货币贬值速度惊人,出现了一万元面值的法币。1948年,法币发行额竟达到660万亿元以上,等于抗日战争前的47万倍,物价上涨3492万倍,最终法币彻底崩溃。
实际上,这就意味着在均衡状态下,货币量、消费品物价水平、产品的整体物价水平之间,确实存在着一种独特的关系:如果货币量翻倍,物价水平也会随之翻倍。当生产要素得到充分利用,公众对证券既不乐观也不悲观,储蓄存款在总财富的占比“刚刚好”,不多也不少,储蓄量等于成本加上新投资的价值时,这种状态称为均衡状态。
但是,这种简单直接的数量关系只出现在上述均衡状态下。如果储蓄量不等于新投资的成本,或者公众对证券的态度发生了转变,转向看涨或看跌,即使理由充分,基本物价水平也将偏离均衡值,而货币量或流通速度却没有发生任何变化。甚至可以想象得到:活期存款可能保持不变,储蓄存款可能保持不变,流通速度可能保持不变,货币交易量可能保持不变,产量可能保持不变,然而基本物价水平却可能会变动。
诚然,这种精确平衡只是理论上存在。在现实中,却是牵一发而动全身。但即便如此,货币量、流通速度、产量的变化与基本物价水平的变化之间,不会有任何确定或可预测的关系。众所周知,在信贷周期萧条阶段事实便是如此。
当然,有关企业家商业存款损益影响的假设,多种多样,如果货币因素不改变,基本物价水平就不可能发生变化。上面提到的理论——为了强调争论的本质,公然给出一个极端的例子——当企业家商业存款额度的影响因素只有生产成本时才可能会成立。
举个例子,如果企业家将意外利润或损失完全当作个人常规收入,而当利润或损失对银行存款量应造成的影响由他们决定时,基本方程式中,因第二个因素导致的物价上涨所需的货币增加量 (或其他货币因素的同等变化) 与因第一个因素导致的物价上涨所需的货币量一样大。但实际情况却并非如此。如果所持利润余额发生任何实质性变化,那么至少短期内,利润收支余额将很可能小于收入收支余额。
此外,即使利润的最终受益人,如个人股东,可能将之视为收入——尽管这不属于真正的收入存款——但是现在大量商业与工业的组织形式是股份公司 (而且,甚至在合伙企业时代,很大程度上也是如此) ,意外利润不会发放到个人账户,因为个人收入大多数情况按周、月或季度发放,而额外利润时间间隔较长,并且获得之后时间间隔更长。通常至少会有半年的时间间隔,但大部分的额外利润通常会以某种方式从个人股东账户扣留——在美国尤其如此。同时,更有可能的是用利润来偿还银行贷款,而不是作为现金持有。正如一开始所做的假设一样,商业存款数量将主要取决于生产经营成本。
还有一点可以稍微提一下,这一点后面章节将会介绍。基本方程第二项引起的物价水平变化,会导致第一项呈现上升趋势。随着这些趋势上升,与完全由第二项增加引发的物价上涨相比,此时的物价上涨需要的现金余额更大。与第二项引起物价水平变化所涉及的货币因素变化相比,第一项要想引起同等变化,涉及的货币因素变化会更大;同时,变化通常始于第二项,然后蔓延到第一项。这两种实际情况可以部分说明,为什么某些类型的物价变化在发展时往往会自行消失,然后朝着相反的方面发展。
在均衡状态下,即I = I′ = S,可以用一般货币因素表示本书的结论,如下所示。
设收入存款总量为M 1 ,流通速度为V 1 ,则E = M 1 V 1 ,因为根据定义 (见27页) ,V 1 是单位时间内国家货币收入(E)与收入存款量之比。
当I = I′ = S时,则可以将方程式改写如下:
若要将P与货币总量M联系起来,可以按照如下方法进行:设收入存款、营业存款、储蓄存款各个存款量分别为M 1 、M 2 、M 3 ,存款总量为M,则
M = M 1 +M 2 +M 3
因此
设活期存款与存款总量之比为w,V是货期存款的平均流通速度,V 1 和V 2 则分别是收入存款与营业存款的流通速度,则:
M 1 +M 2 = wM
M 1 V 1 +M 2 V 2 = w·M·V
然后
又因
所以
方程式P·O=M
1
V
1
显然与我们熟悉的欧文·费雪教授的方程式P·T=MW存在某种关系,不同的是O是当前产量,而T则是交易量
(并不是产量)
,M
1
、V
1
为收入存款及其流通速度,而M、V则是活期存款及其流通速度。