



8.5 离散控制系统的性能分析
与连续控制系统一样,离散控制系统的性能分析也包括三个方面:稳定性、动态性能和稳态性能,并且许多离散控制系统的分析方法与连续控制系统所用的方法类似。
离散系统的稳定性是在 z 域进行分析的。为了把连续系统在 s 平面上分析稳定性的结论移植到在 z 平面上分析离散系统的稳定性,首先需要研究 s 平面与 z 平面的映射关系,然后讨论离散系统的稳定性分析。根据离散系统本身的特点,还将给出直接在 z 平面上应用的朱利判据。
1. s 平面与 z 平面的映射关系
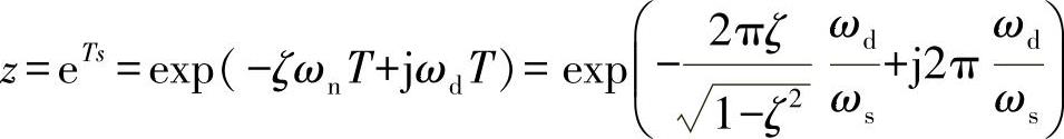
在 z 变换定义中,已经给出了复变量 s 和 z 之间的关系 z =e Ts ,其中 T 为采样周期。设 s = σ +j ω ,映射到 z 域则为
式中,| z |=e σ T 为 z 的模;∠ z = ωT 为 z 的相角。由式(8-47)可知, s 平面上频率相差为采样角频率 ω s =2π /T 整数倍的零、极点映射到 z 平面上的同一位置。这表明,每一个 z 值对应着无限多个 s 值。
令 σ =0,相当于取 s 平面的虚轴,对应有| z |=1,即 s 平面的虚轴映射到 z 平面的单位圆。在左半 s 平面上的点, σ <0,对应有| z |<1,映射到 z 平面的单位内;反之,右半 s 平面上的点映射到 z 平面的单位外。
在 s 平面上的点,当角频率 ω 从-∞变到∞时,映射到 z 平面上的点的相角∠ z = ωT 从-∞变到∞。当 s 平面上的点沿虚轴从-j∞移动到j∞时, z 平面上的相应点将沿着单位圆逆时针转过无穷多圈。这是因为当 s 平面上的点沿虚轴从-j ω s /2移动到j ω s /2时,其中 ω s 为采样角频率, z 平面上的相应点沿单位圆从-π逆时针变化到π,正好转了一圈;而当 s 平面上的点在虚轴上从j ω s /2移动到j3 ω s /2时, z 平面上的相应点又将逆时针沿单位圆转过一圈。依此类推, s 平面到 z 平面的映射关系如图8-18所示。由图可见,可以把对应连续系统稳定区域的左半 s 平面划分为无穷多条平行于实轴的周期频带,其中 ω 从- ω s /2到 ω s /2的频带称为主频带,其余的频带称为次频带。左半 s 平面上主频带内的点映射到 z 平面的单位圆内,而左半 s 平面上每一条次频带内的点均重复映射到 z 平面的单位圆内。
图8-18 s 平面到 z 平面的映射关系
在离散系统中,根据采样定理,如果采样频率大于连续信号最高频率的两倍,表明连续信号的频率范围在主频带之内,则 z 平面单位圆内的点对应左半 s 平面上主频带内的点。因此,在分析和设计系统时,只考虑主频带就可以了。
下面研究在 s 平面上常用的等值线,特别是等衰减系数线、等阻尼振荡频率以及等阻尼比线,在 z 平面上的映射。
(1)等衰减系数线
等衰减系数( σ 为常数)线从 s 平面映射到 z 平面上以原点为圆心,以 z =e σ T 为半径的圆,如图8-19所示。左半 s 平面上的等 σ 线映射为 z 平面上单位圆内的同心圆;右半 s 平面上的等 σ 线映射为 z 平面上单位圆外的同心圆。
(2)等阻尼振荡频率线
等阻尼振荡频率( ω 为常数)线在 s 平面上为水平线,映射到 z 平面上的轨迹是一簇从原点出发的射线,这些射线与正实轴的夹角∠ z = ωT 与采样周期 T 有关,如图8-20所示。在 s 平面上 ω =- ω s /2和 ω = ω s /2的水平线,都映射到 z 平面上的负实轴。
图8-19 等衰减系数线的映射关系
图8-20 等阻尼振荡频率线的映射关系
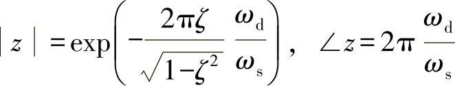
(3)等阻尼比线
取
s
平面上的点
,式中
,那么在
z
平面上有
于是,可得
因此,当 ω d 增加时, z 的幅值减小而 z 的相角随 ω d 线性增加,左半 s 平面上的等阻尼比( ζ 为常数)线映射为 z 平面上单位圆内一簇收敛的对数螺旋线。图8-21所示为 ζ =0.5的一条等阻尼比线,当 ω d 从0变化到 ω s /4再变化到 ω s /2时, z 平面上的点从正实轴上 z =1的点变化到虚轴上的点再变化到负实轴上的点。
图8-21 等阻尼比线的映射关系
2.离散系统稳定的充分必要条件
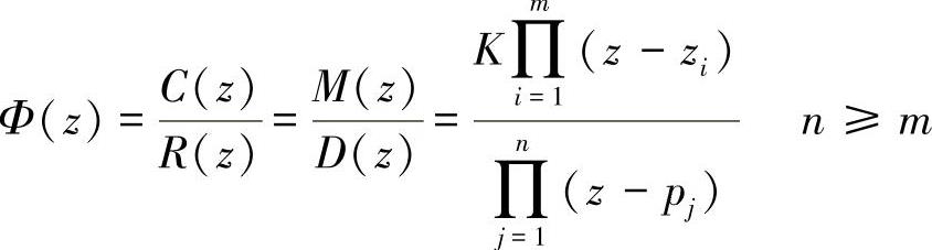
设线性离散系统的闭环脉冲传递函数 Φ ( z )无重极点,可以表示为
式中, M ( z )为分子多项式,其阶数为 m ; D ( z )为分母多项式,又叫特征多项式,其阶数为 n ; M ( z )=0的根 z i ( i =1,2,…, m )为系统的闭环零点; D ( z )=0为闭环系统的特征方程,它的根 p j ( j =1,2,…, n )为系统的特征根,即系统的闭环极点。
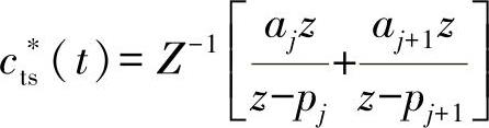
当系统的输入函数为单位脉冲函数时,有 r ( t )= δ ( t ), R ( z )=1,则 C ( z )可展开为
对上式求 z 反变换,可以求得系统的单位脉冲响应序列为
当|
p
j
|<1(
j
=1,2,…,
n
)时,必有
,即系统的单位脉冲响应序列收敛,则系统稳定。因此,线性时不变离散系统稳定的充分必要条件是:当且仅当线性时不变离散系统的全部特征根均分布在
z
平面上的单位圆内,或者所有特征根的模均小于1,即|
p
j
|<1(
j
=1,2,…,
n
),相应的线性时不变离散系统是稳定的。
应当指出,一个单极点,若位于 z =1或 z =-1处(或者一个单极点位于 z =1,而另一个单极点位于 z =-1处),则系统处于临界稳定状态。假如是一对共轭复数极点位于 z 平面的单位圆上,系统也处于临界稳定状态。位于单位圆上的任何闭环重极点将使系统不稳定。单位圆外的任何闭环极点,都使得系统不稳定。闭环零点不影响稳定性,因而可以位于 z 平面上任何地方。
3.双线性变换与劳斯稳定判据
在连续系统中,劳斯稳定判据能够判断系统特征方程的根是否都在左半 s 平面,从而确定系统稳定性。但是,在离散系统中,需要判断系统特征方程的根是否都在 z 平面上的单位圆内。因此,连续系统中的劳斯判据不能直接用于离散系统的稳定性判断。为了能够应用劳斯判据来判断离散系统的稳定性,引入一种双线性变换—— w 变换,将 z 平面映射到 w 平面。
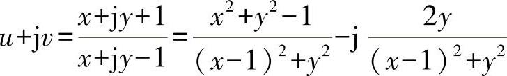
取双线性变换为
则有
令复变量 z = x +j y 和 w = u +j v ,代入式(8-49),得
显然
因此, u =0等价于 x 2 + y 2 =1,表明 z 平面的单位圆映射到 w 平面的虚轴; u <0等价于 x 2 + y 2 <1,表明 z 平面的单位圆内映射到 w 平面的左半平面; u >0等价于 x 2 + y 2 >1,表明 z 平面的单位圆外映射到 w 平面的右半平面。 z 平面和 w 平面的映射关系如图8-22所示。
图8-22 z 平面与 w 平面的映射关系
通过式(8-48),可将线性时不变离散系统在 z 平面上的特征方程 D ( z )=1+ G ( z )=0转换成在 w 平面上的特征方程 D ( w )=1+ G ( w )=0。于是,离散系统稳定的充分必要条件,由特征方程 D ( z )=1+ G ( z )=0的所有根位于 z 平面上的单位圆内,转换为特征方程 D ( w )=1+ G ( w )=0的所有根位于左半 w 平面。因此,与在 s 平面上应用劳斯稳定判据的情况一样,根据在 w 域中特征方程的系数,就可以应用劳斯稳定判据判断离散系统的稳定性,并相应地称为 w 域劳斯稳定判据。
例8-18 设闭环离散系统如图8-23所示,当采样周期分别为 T =1s和 T =0.5s时,试求使系统稳定的 K 值范围。
图8-23 闭环离散系统
解: 系统的开环脉冲传递函数为
相应的闭环特征方程为
当 T =1s时,有
对上式进行 w 变换,整理得 w 域特征方程为
根据劳斯稳定判据,欲使系统稳定,应有
则使系统稳定的 K 值范围为0< K <2.4。
当 T =0.5s时,可得 w 域特征方程为
系统稳定的条件为
所以,使系统稳定的 K 值范围为0< K <4.37。
由例8-18可知,开环增益 K 与采样周期 T 都对离散系统的稳定性有影响。当采样周期一定时,加大开环增益会使离散系统的稳定性变差,甚至使系统变得不稳定;当开环增益一定时,采样周期越长,丢失的信息越多,对离散系统的稳定性越不利,甚至可使系统失去稳定性。
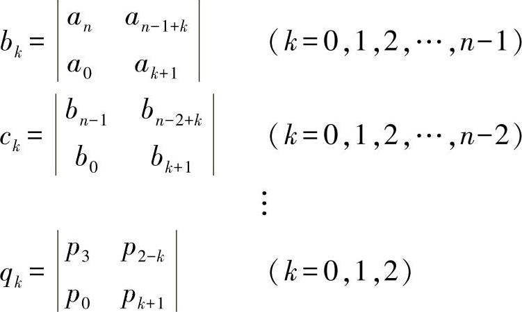
4.朱利稳定判据
将劳斯稳定判据用来判定离散系统的稳定性,需要进行双线性变换,计算量较大。另一种判定离散系统的稳定性的代数判据——朱利判据,计算量较小,并且它是直接在 z 域内应用的稳定性判据。朱利判据根据离散系统闭环特征方程 D ( z )=0的系数,判别其根是否全部位于 z 平面上的单位圆内,从而判断该离散系统是否稳定。
设线性时不变离散系统的闭环特征方程为
利用特征方程的系数构造(2 n -3)行、( n +1)列朱利阵列表,见表8-4。
表8-4 朱利阵列表
在朱利阵列表中,第一行元素由按 z 的升幂排列的特征方程的系数组成。第二行元素由按 z 的降幂排列的特征方程的系数组成。第3行至第(2 n -3)行元素,则按下列各式确定:
应当注意,表中最后一行由三个元素组成(对于二阶系统,2 n -3=1,因而朱利阵列表只有由三个元素构成的一行)。任一偶数行的元素只是前一奇数行的元素的逆序排列。
朱利稳定判据:线性时不变离散系统稳定,即式(8-50)的闭环特征方程的根全部位于 z 平面上的单位圆内的充分必要条件为
以及满足下列( n -1)个约束条件
只有当上述诸条件都满足时,离散系统才是稳定的,否则系统不稳定。
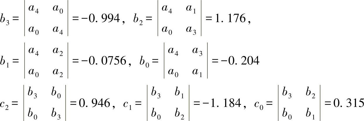
例8-19 已知离散系统的闭环特征方程为
试用朱利判据判断系统的稳定性。
解: 首先检验特征方程条件
上述条件满足稳定性要求。由所给特征方程可知 n =4,2 n -3=5,所以朱利阵列有5行5列,见表8-5。特征方程的系数为 a 0 =1, a 1 =-1.2, a 2 =0.07, a 3 =0.3, a 4 =-0.08,于是可以计算朱利阵列表中的元素并构造朱利阵列表如下:
表8-5 例8-19系统的朱利阵列表
由朱利阵列表可得| a 4 |=0.08,| b 3 |=0.994,| c 2 |=0.946,| a 0 |=1,| b 0 |=0.204,| c 0 |=0.315,满足3个约束条件| a 4 |< a 0 ,| b 3 |>| b 0 |,| c 2 |>| c 0 |。根据朱利稳定判据可以判定离散系统是稳定的,所给特征方程的全部根都位于 z 平面中的单位圆内。
工程上,不仅要求系统是稳定的,而且还希望系统具有良好的动态品质。应用 z 变换法分析线性时不变离散系统的动态性能,通常有时域法、根轨迹法和频域法,其中时域法最简便。如果已知离散系统的数学模型,通过递推法或者 z 变换法可以求出在典型给定输入信号作用下的输出响应。与线性时不变连续控制系统类似,线性时不变离散控制系统的闭环极点在 z 平面上的分布对动态响应特性起着决定性的作用。因此,本节主要介绍在 z 平面上定性分析离散系统闭环极点与其动态响应之间的关系,以及动态性能的分析、计算方法。
1.闭环极点与动态响应的关系
设线性离散系统的闭环脉冲传递函数为
为了便于讨论,假定 Φ ( z )无重极点,这不失一般性。
当系统的输入函数为单位阶跃函数时,有 r ( t )=1( t ), R ( z )= z/ ( z -1),则系统单位阶跃响应的 z 变换为
将 C ( z ) /z 展开成部分分式,有
式中,
于是,
对上式求 z 反变换,可以求得系统的单位阶跃响应序列为
式中,
为单位阶跃响应的稳态分量;单位阶跃响应的瞬态分量为
瞬态响应分量的特性与闭环极点在 z 平面上的位置有关。下面分几种情况来讨论。
(1)实数极点
当 p j 位于实轴上时,对应的瞬态响应分量为
1)若0< p j <1,闭环极点位于 z 平面上单位圆内的正实轴上,瞬态响应是按指数规律单调收敛的脉冲序列,且 p j 越接近原点(即 p j 值越小),收敛越快。
2)若 p j =1,闭环极点位于 z 平面上单位圆与正实轴的交点,瞬态响应是等幅值的脉冲序列。
3)若 p j >1,闭环极点位于 z 平面上单位圆外的正实轴上,瞬态响应是按指数规律单调发散的脉冲序列。
4)若-1< p j <0,闭环极点位于 z 平面上单位圆内的负实轴上,瞬态响应是正负交替振荡的收敛脉冲序列,振荡频率为采样频率的一半。
5)若 p j =-1,闭环极点位于 z 平面上单位圆与负实轴的交点,瞬态响应是正负交替振荡的等幅脉冲序列,振荡频率为采样频率的一半。
6)若 p j <-1,闭环极点位于 z 平面上单位圆外的负实轴上,瞬态响应是正负交替振荡的发散脉冲序列,振荡频率为采样频率的一半。
闭环实极点分布与相应的瞬态响应形式,如图8-24所示。
图8-24 闭环实极点分布与相应的瞬态响应形式
(2)共轭复数极点
如果系统的闭环极点为一对共轭复数极点,有
,|
p
j
|为共轭复数极点
p
j
的模,
θ
j
为共轭复数极点
p
j
的相角。由式(8-51)可知,一对共轭复数极点对应的瞬态响应分量为
式中,
a
j
和
a
j
+1
也是共轭复数,有
。对上式取
z
反变换,可得瞬态响应分量为
1)若| p j |<1,共轭复数极点位于 z 平面的单位圆内,瞬态响应为衰减振荡的脉冲序列,振荡角频率为 θ j /T 。复数极点越靠近原点,瞬态响应衰减越快。
2)若| p j |=1,共轭复数极点位于 z 平面的单位圆上,瞬态响应为等幅振荡的脉冲序列。
3)若| p j |>1,共轭复数极点位于 z 平面的单位圆外,瞬态响应为振荡发散的脉冲序列。
闭环共轭复数极点分布与相应的瞬态响应形式,如图8-25所示。
图8-25 闭环共轭复数极点分布与相应的瞬态响应形式
综上所述,离散系统闭环极点在 z 平面上的位置决定相应动态响应分量的性质和特点。当闭环极点位于 z 平面的单位圆内时,离散系统稳定,相应动态响应分量为衰减的脉冲序列,而且极点越靠近原点,衰减越快。当闭环极点位于 z 平面的左半单位圆内时,由于输出衰减脉冲序列高频振荡甚至正负交替振荡,故动态响应的性能欠佳。为了使线性时不变离散控制系统具有比较满意的动态性能,在离散控制系统设计时,应将闭环极点配置在 z 平面的右半单位圆内,尽量靠近坐标原点且闭环极点的相角要适中。当闭环极点位于 z 平面的单位圆外时,相应动态响应分量是发散的,这就意味着闭环离散控制系统不稳定。
2.动态性能分析
在已知离散系统结构和参数的情况下,应用 z 变换法分析系统动态性能时,通常假定外作用为单位阶跃函数1( t )。利用 z 反变换可以很方便地求得线性时不变离散系统在单位阶跃输入作用下的动态响应。由于离散系统时域指标的定义与连续系统相同,故根据求得的单位阶跃响应曲线可以对离散系统的动态性能进行定性分析和定量估算。
例8-20 设离散系统结构如图8-23所示,采样周期为 T =1s, K =1,试分析 r ( t )=1( t )时系统的动态性能。
解: 可求得系统的开环脉冲传递函数为
则系统的闭环脉冲传递函数为
将 R ( z )= z/ ( z -1)代入上式,得离散系统单位阶跃响应的 z 变换为
利用长除法将 C ( z )展开成幂级数
进行 z 反变换,得
根据上式中输出信号在各采样时刻的值,可绘出离散系统的单位阶跃响应
c
∗
(
t
),如图8-26中“
”所示。由图可求得离散系统近似的性能指标为:上升时间
t
r
=2s,峰值时间
t
p
=4s,调节时间
t
s
=12s,超调量
σ
p
%=40%。应当指出,离散系统的时域性能指标只能按采样点上的值来计算,所以是近似的。
图8-26同时绘出了相应无零阶保持器时离散系统的单位阶跃响应序列(图中“+”所示)和连续系统的单位阶跃响应(图中实线所示)。可以看出,在相同条件下,由于采样损失了信息,与连续系统相比,离散系统的动态性能会有所降低。由于零阶保持器相当于延迟半拍的延迟环节,所以相对于无零阶保持器的离散系统,理论上其相位裕度会降低,稳定程度和动态性能会变差。但在实际系统中,用脉冲序列直接驱动被控对象是不合适的,一般都要经过零阶保持器,用连续的模拟量控制被控对象。
图8-26 连续与离散系统的单位阶跃响应
图8-26的计算及绘制程序:prog81.m
clear;clc;
num=[1];den=[110];T=1;
[numdh,dendh]=c2dm(num,den,T,'zoh');gh=feedback(tf(numdh,dendh,T),1,-1);
[y,t]=step(gh,20);plot(t,y,'b--o');
[numds,dends]=c2dm(num,den,T,'imp');gs=feedback(tf(numds,dends,T),1,-1);
[y,t]=step(gs,20);hold on;plot(t,y,'r-.+');hold off;
gc=feedback(tf(num,den),1,-1);
[y,t]=step(gc,20);hold on;plot(t,y,'k-');hold off;
legend('有零阶保持器','无零阶保持器','连续系统');
类似于线性时不变连续控制系统,一个线性时不变离散控制系统的稳态性能也是用系统在外部输入作用下响应的稳态误差来评价的。要研究离散控制系统的稳态性能,必须首先判定系统的稳定性,只有稳定的系统才存在稳态响应,在这种情况下研究系统的稳态性能才有意义。
1.离散控制系统的稳态误差
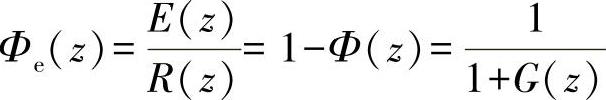
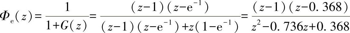
由于离散控制系统没有唯一的典型结构图形式,所以无法给出误差脉冲传递函数 Φ e ( z )的一般计算公式。设单位反馈离散控制系统如图8-27所示,可以求得系统的误差采样信号的 z 变换为
式中,误差脉冲传递函数 Φ e ( z )可以表示为
如果 Φ e ( z )的极点全部位于 z 平面的单位圆内,即离散控制系统是稳定的,则可用 z 变换的终值定理求出系统的误差采样信号的稳态值,即稳态误差
图8-27 单位反馈离散控制系统
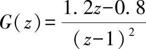
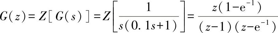
例8-21 设离散控制系统如图8-27所示,其中 G ( s )=1/[ s (0.1 s +1)],采样周期 T =0.1s,输入连续信号 r ( t )分别为1( t )和 t ,试求离散控制系统的稳态误差。
解: 求出系统的开环脉冲传递函数
于是,系统的误差脉冲传递函数为
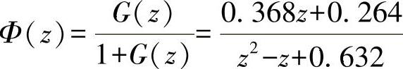
可以求得系统的闭环极点为 z 1,2 =0.368±j0.482,全部位于 z 平面的单位圆内,系统稳定。因此可以应用终值定理求稳态误差。
当 r ( t )=1( t )时,有 R ( z )= z/ ( z -1),则由式(8-53)求得
当 r ( t )= t 时,有 R ( z )= Tz/ ( z -1) 2 ,则由式(8-53)求得
如果希望求出其他结构形式离散控制系统的稳态误差,或者求离散控制系统在扰动信号作用下的稳定误差,只要求出误差信号的 z 变换表达式,在系统稳定的前提下,同样可以应用 z 变换的终值定理计算系统的稳态误差。
2.静态误差系数法
由 z 变换算子 z =e Ts 可知,如果开环传递函数 G ( s )有一个 s =0的极点,即一个积分环节,则与 G ( s )相应的 G ( z )必有一个 z =1的极点。在连续系统中,把开环传递函数 G ( s )具有 s =0的极点个数作为划分系统型别的标准。因此,在离散系统中,也可以把开环脉冲传递函数 G ( z )具有 z =1的极点个数 ν ,作为划分离散系统型别的标准。类似地,把 G ( z )中 ν =0,1,2,…的系统,称为0型、Ⅰ型、Ⅱ型…离散系统等。
下面在系统稳定的前提下讨论图8-27所示的不同型别的离散系统在三种典型输入信号作用下的稳态误差,并建立离散系统静态误差系数的概念。
(1)阶跃输入时的稳态误差
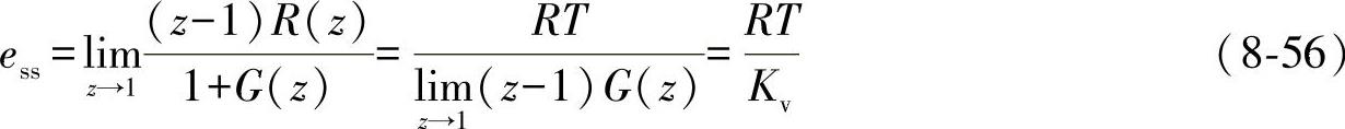
当给定输入信号为阶跃函数 r ( t )= R ·1( t )时,有 R ( z )= Rz/ ( z -1),由式(8-53)得到系统的稳态误差为
式中,
称为离散系统的静态位置误差系数。对于0型离散系统, G ( z )没有 z =1的极点,由式(8-55)可知 K p 为有限值,则由式(8-54)可计算系统的稳态位置误差且为有限值;对于Ⅰ型或Ⅰ型以上的离散系统, G ( z )有一个或一个以上 z =1的极点,由式(8-55)可得 K p =∞,则由式(8-54)可计算出系统的稳态误差 e ss =0,即在阶跃函数作用下离散系统没有稳态误差。
(2)斜坡输入时的稳态误差
当给定输入信号为斜坡函数 r ( t )= Rt 时,有 R ( z )= RTz/ ( z -1) 2 ,由式(8-53)得系统的稳态误差
式中,
称为离散系统的静态速度误差系数。由式(8-56)和式(8-57)可分析不同型别的离散系统在斜坡函数输入作用下的稳态误差。对于0型离散系统, K v =0,求得 e ss =∞;对于Ⅰ型离散系统, K v 为有限值,则由式(8-56)可计算系统的稳态位置误差 e ss 且为有限值;对于Ⅱ型或Ⅱ型以上的离散系统,可得 K v =∞,则系统的稳态误差 e ss =0,即在斜坡函数作用下离散系统没有稳态误差。
(3)加速度输入时的稳态误差
当给定输入信号为加速度函数 r ( t )= Rt 2 /2时,有 R ( z )= RT 2 z ( z +1)/[2( z -1) 3 ],由式(8-53)得系统的稳态误差
式中,
称为离散系统的静态加速度误差系数。由式(8-58)和式(8-59)可分析不同型别的离散系统在加速度函数输入作用下的稳态误差。对于0型和Ⅰ型离散系统, K a =0,求得 e ss =∞;对于Ⅱ型离散系统, K a 为有限值,由式(8-58)可计算系统的稳态位置误差 e ss 且为有限值;对于Ⅲ型或Ⅲ型以上的离散系统,可得 K a =∞,则系统的稳态误差 e ss =0,即在加速度函数作用下离散系统没有稳态误差。
对于图8-27所示的单位反馈离散控制系统,不同型别的系统在三种典型输入信号作用下的静态误差系数和稳态误差见表8-6。
表8-6 单位反馈离散控制系统的静态误差系数和稳态误差
由以上的讨论可知,线性时不变离散控制系统的稳态误差,不但与系统本身的结构和参数有关,而且与输入信号的形式及大小有关。此外,由于 G ( z )还与采样周期 T 有关,多数典型输入信号 R ( z )也与 T 有关,因此,离散控制系统的稳态误差与采样周期的选取也有关。
图8-28 闭环离散系统
例8-22 设离散系统如图8-28所示,采样周期为 T =0.2s,当输入信号 r ( t )=3+4 t + t 2 时,试求系统的稳态误差。
解: 求出系统的开环脉冲传递函数
将 T =0.2s代入上式可得
相应的闭环特征方程为
可以求得系统的闭环极点为 z 1,2 =0.4±j0.2,全部位于 z 平面上的单位圆内,系统稳定。离散系统为Ⅱ型系统,于是有 K p =∞, K v =∞,而
因此,当给定输入信号 r ( t )=3+4 t + t 2 时,由表8-6可以得到系统的稳态误差为