



8.4 离散控制系统的数学模型
为了研究离散系统的性能,需要建立离散系统的数学模型。与连续系统的数学模型类似,在经典控制理论中,线性离散系统的数学模型主要采用差分方程和脉冲传递函数。本节主要介绍线性离散系统的差分方程及其解法,脉冲传递函数的基本概念,以及开环脉冲传递函数、闭环脉冲传递函数的求法。
对于连续控制系统,输入信号 r ( t )和输出信号 c ( t )之间的关系是用描述系统运动的微分方程来描述的,微分方程则是由输入信号 r ( t )和输出信号 c ( t )及其各阶导数构成的。在离散控制系统中,输入信号和输出信号都是离散信号,因此,只能用输入脉冲序列 r ( kT )和输出脉冲序列 c ( kT )及其各阶差分所组成的差分方程来描述系统输入信号及输出信号之间的动态特性。为简便起见,通常都省略掉采样周期 T ,将 r ( kT )和 c ( kT )直接写成 r ( k )和 c ( k )。
1.差分的定义
所谓差分,是指采样信号在两个相邻采样时刻的采样值之差。取差分的方式有前向差分和后向差分两种。如果当前时刻 k 的各阶差分全部依赖于当前时刻 k 和未来时刻 k +1、 k +2、…的采样值,则称为前向差分;如果当前时刻 k 的各阶差分全部依赖于当前时刻 k 和历史时刻 k -1、 k -2、…的采样值,则称为后向差分。
设连续信号 x ( t )经采样后的脉冲序列为 x ( kT ),简记为 x ( k )。一阶前向差分定义为
二阶前向差分定义为
n 阶前向差分定义为
同理,一阶后向差分定义为
二阶后向差分定义为
n 阶后向差分定义为
2.差分方程
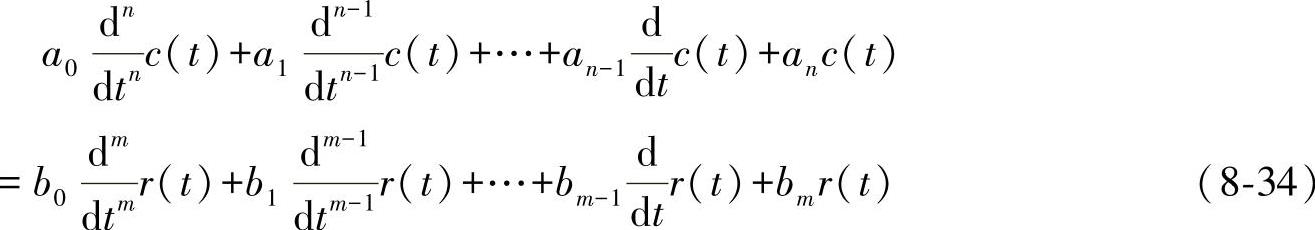
线性时不变连续系统的数学模型可用下列微分方程表示
式中, r ( t )、 c ( t )分别表示系统的输入信号和输出信号。对于式(8-34)进行离散化,即可将其化为离散系统的差分方程。
设系统的采样周期为 T ,当 T 足够小时,函数 r ( t )在 t = kT 处的一阶导数近似为
同理,二阶导数近似为
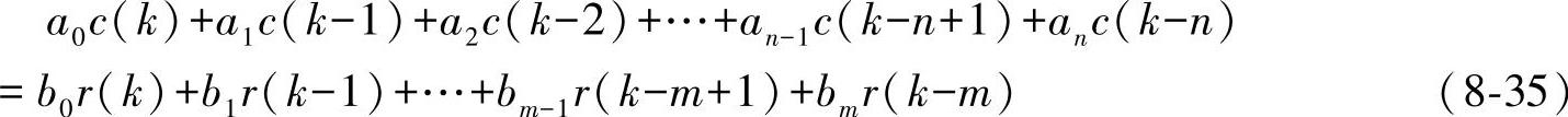
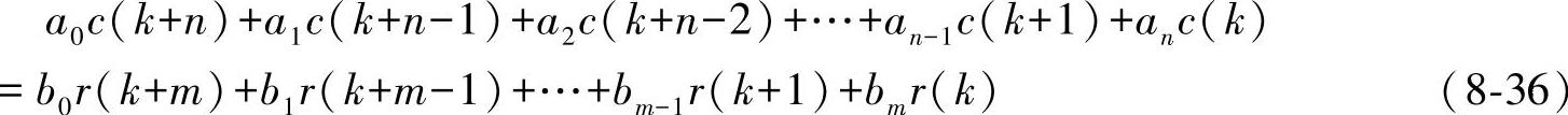
用同样的方法,可以近似表示在 t = kT 处 r ( t )的其他各阶导数以及 c ( t )的各阶导数。因此,可得到用后向差分方程表示线性时不变离散系统的数学模型的一般表达式为
用前向差分方程表示线性时不变离散系统的数学模型的一般表达式为
式(8-35)和式(8-36)中, a i ( i =0,1,2,…, n )和 b j ( j =0,1,2,…, m )均为常系数。式(8-35)和式(8-36)所表示的差分方程称为 n 阶线性常系数差分方程。
前向差分方程和后向差分方程并无本质区别,前向差分方程多用于描述非零初始条件下的离散系统,后向差分方程多用于描述零初始条件下的离散系统。若不考虑初始条件,就离散系统输入变量和输出变量之间的动态关系而言,两种差分方程形式完全等价。
3.差分方程的求解
线性常系数差分方程的求解通常采用迭代法和 z 变换法。
(1)迭代法
已知离散系统的差分方程,并且给定输出序列的初值,则可以递推计算出输出序列。
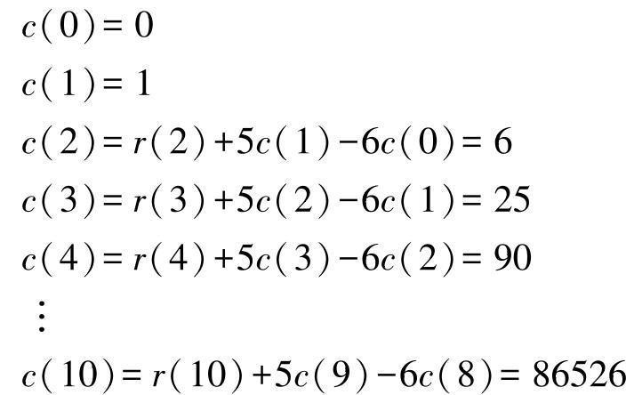
例8-10 已知下列二阶差分方程
并且给定输入序列 r ( k )=1,初始条件为 c (0)=0, c (1)=1。试用迭代法求输出序列 c ( k )( k =0,1,2,…,10)。
解: 由给定的差分方程可得递推关系
则根据初始条件及递推关系,求得
(2) z 变换法
用 z 变换法求解差分方程,完全类似于用拉普拉斯变换法求解微分方程的方法。如果已知线性时不变差分方程,则具体方法就是对差分方程两端取 z 变换,并利用 z 变换的实数位移定理,将差分方程变成以 z 为变量的代数方程,再根据初始条件和给定输入信号 z 变换表达式,求得输出信号的 z 变换表达式,然后取 z 反变换,即可求得输出序列 c ( k )。
例8-11 已知下列二阶差分方程
或 c ( k +2)+3 c ( k +1)+2 c ( k )=0
初始条件为 c (0)=0, c (1)=1。试用 z 变换法求解。
解: 根据实数位移定理,对差分方程的每一项进行 z 变换,得
将以上各式及初始条件代入给定的差分方程中,得到如下代数方程
解出
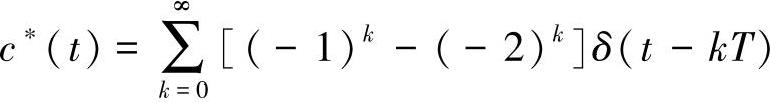
查 z 变换表,得 C ( z )的 z 反变换为
或写成 c(k)=(-1) k -(-2) k (k=0,1,2,…)
在离散控制系统中,采用 z 变换,可以求解线性常系数差分方程,来研究离散控制系统的动态性能。但是,如果把 z 变换的作用仅仅理解为求解线性常系数差分方程,显然是不够的。 z 变换更为重要的意义在于导出线性离散系统的脉冲传递函数,这给线性离散系统的分析和综合带来极大的方便。
1.脉冲传递函数的定义
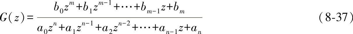
设线性时不变离散系统的差分方程的一般表达式为
a 0 c ( k )+ a 1 c ( k -1)+ a 2 c ( k -2)+…+ a n -1 c ( k - n +1)+ a n c ( k - n )= b 0 r ( k )+ b 1 r ( k -1)+…+ b m -1 r ( k - m +1)+ b m r ( k - m )
如果当 t <0时,输入脉冲序列各采样值 r (- T )、 r (-2 T )、…以及输出脉冲序列各采样值 c (- T )、 c (-2 T )、…均为零,即零初始条件,则在零初始条件下对上式两边取 z 变换,经整理后可以得到
称 G ( z )为线性时不变离散系统的脉冲传递函数,或叫作 z 传递函数。
基于以上的讨论,线性时不变离散系统的脉冲传递函数的定义为:在零初始条件下,系统输出脉冲序列 c ( k )的 z 变换 C ( z )与输入脉冲序列 r ( k )的 z 变换 R ( z )之比,即
脉冲传递函数在离散系统的结构图上的表示如图8-10所示,图中, T 为采样周期。然而,对大多数实际系统来说,其输出往往是连续信号 c ( t ),而不是采样信号 c ∗ ( t ),如图8-11所示。此时,可以在系统输出端虚设一个理想采样开关,如图中虚线所示,它与输入信号的采样开关同步工作,并具有相同的采样周期。如果系统的实际输出 c ( t )比较平滑,且采样频率较高,则可用 c ∗ ( t )近似描述 c ( t )。必须指出,虚设的采样开关是不存在的,它表明了脉冲传递函数只能描述输出连续函数 c ( t )在采样时刻上的离散值 c ∗ ( t )。
图8-10 离散系统的结构图
图8-11 实际离散系统的结构图
2.脉冲传递函数的物理意义
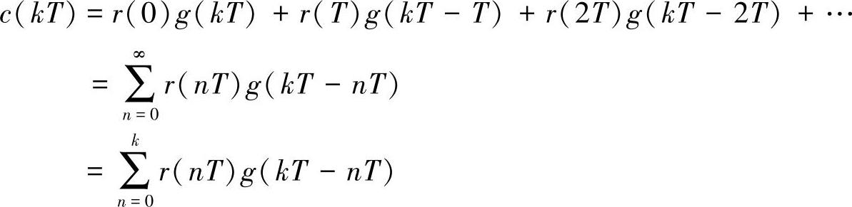
线性时不变离散系统如图8-11所示,当输入信号为单位脉冲函数 δ ( t )时,其输出即为系统的单位脉冲响应 g ( t ),或称冲击响应,又称脉冲过渡函数;如果输入信号为 δ ( t - a ),则系统的输出为 g ( t - a )。现假设输入信号为 r ( t ),经采样后为一脉冲序列,即
式中, r (0), r ( T ), r (2 T ),… 对应各采样时刻 t =0, T ,2 T ,… 的脉冲强度。根据叠加原理,输出量 c ( t )为一系列脉冲响应之和,即
由于当 t <0时, g ( t )=0,所以当 n > k 时, g ( kT - nT )=0。于是,当 t = kT 时,输出脉冲序列为
根据上式及 z 变换的定义,可得输出量 c ( t )的 z 变换 C ( z )为
在上式的最后一个等式右端的两项中,第一项对应输入信号 r ∗ ( t )的 z 变换 R ( z ),第二项对应单位脉冲响应函数 g ∗ ( t )的 z 变换 G ( z )。因此,上式可以写成
脉冲传递函数为
由式(8-39)可知,脉冲传递函数的物理意义为:脉冲传递函数 G ( z )是系统脉冲过渡函数 g ( t )经采样后 g ∗ ( t )的 z 变换。
3.脉冲传递函数的求法
根据脉冲传递函数的定义或脉冲传递函数的物理意义,可得到求取脉冲传递函数的两种方法:①由差分方程求脉冲传递函数;②由传递函数 G ( s )求脉冲传递函数 G ( z )。
例8-12 已知离散系统的差分方程为
试求脉冲传递函数 G ( z )。
解: 令 c (1)= c (0)=0, r (0)=0,利用实数位移定理,对差分方程两端取 z 变换,得
则有
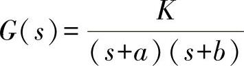
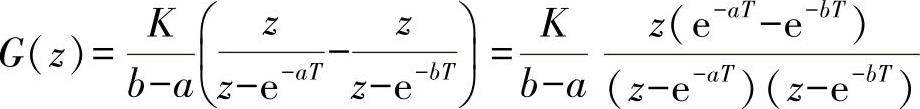
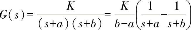
例8-13 已知开环离散系统连续部分的传递函数为
试求对应的脉冲传递函数 G ( z )。
解: 将 G ( s )展开为部分分式
查 z 变换表,得 G ( s )的 z 变换为
离散系统的结构图与连续系统的绘制方法基本相同,其差别仅在于某些位置增加了采样开关。由于脉冲传递函数的定义和传递函数的定义在形式上完全相同,因此在进行结构图的简化变换时,所遵循的等效原则是一致的,即变换前后信号要完全等效。但由于系统中连续信号和离散信号并存,简化法则不再与连续系统相一致。由于采样开关的数目和位置不同,化简后求出的脉冲传递函数也会截然不同。
1.开环系统的脉冲传递函数
当开环离散系统由几个环节串联组成时,其脉冲传递函数的求法与连续系统情况不完全相同。即使两个开环离散系统的组成环节完全相同,但由于采样开关的数目和位置不同,求出的开环脉冲传递函数也不相同。
(1)串联环节的脉冲传递函数
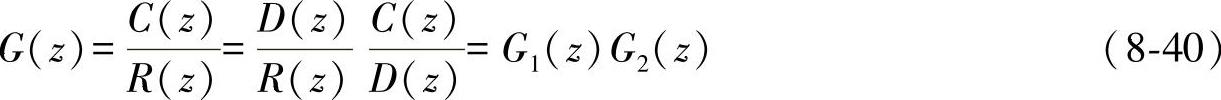
1)环节间有采样开关隔开的情况。设开环离散系统如图8-12a所示,在两个串联连续环节 G 1 ( s )和 G 2 ( s )之间有采样开关隔开。根据脉冲传递函数的定义,考虑到离散信号 d ∗ ( t )的存在,由图8-12a可得
式(8-40)表明,有采样开关隔开的两个线性连续环节串联时的脉冲传递函数,等于这两个环节各自的脉冲传递函数之积。这一结论,可以推广到类似的 n 个环节相串联时的情况。
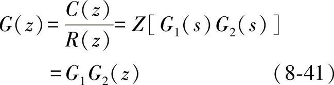
2)环节间无采样开关隔开的情况。设开环离散系统如图8-12b所示,在两个串联连续环节 G 1 ( s )和 G 2 ( s )之间没有采样开关隔开。两个串联连续环节 G 1 ( s )和 G 2 ( s )可以简化为一个连续环节 G 1 ( s ) G 2 ( s ),于是开环系统的脉冲传递函数为
式(8-41)表明,没有采样开关隔开的两个线性连续环节串联时的脉冲传递函数,等于这两个环节传递函数相乘后的相应 z 变换。这一结论也可以推广到类似的 n 个环节相串联时的情况。
图8-12 环节串联时的开环离散系统
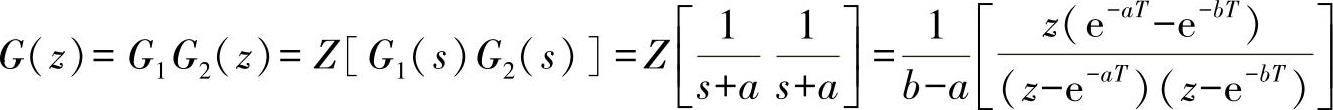
例8-14 设开环离散系统如图8-12a、b所示,其中 G 1 ( s )=1/( s + a ), G 2 ( s )=1/( s + b ),试求系统的开环脉冲传递函数 G ( z )。
解: 如图8-12a所示,环节间有采样开关隔开时,
如图8-12b所示,环节间没有采样开关隔开时,
显然,在串联环节之间有无采样开关隔离时,其总的脉冲传递函数是不相同的。但是,不同之处仅表现在其零点不同,极点仍然一样。这也是离散系统特有的现象。
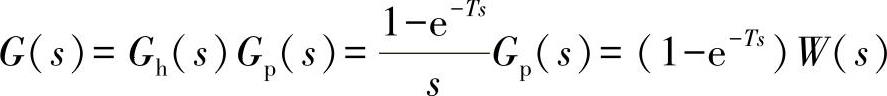
(2)有零阶保持器时的开环脉冲传递函数
设有零阶保持器的开环离散系统如图8-13所示。图中, G h ( s )为零阶保持器的传递函数, G p ( s )为连续部分传递函数,两个串联环节之间无采样开关隔离。由于 G h ( s )不是 s 的有理分式函数,因此不便于直接用求串联环节的脉冲传递函数的方法求开环系统脉冲传递函数。
图8-13 带零阶保持器的开环离散系统
由图8-13,将零阶保持器与连续部分相串联的传递函数写成如下形式
式中, W ( s )= G p ( s ) /s ,并注意到e - Ts 为延迟一个采样周期的延迟环节,则根据实数位移定理可得
由式(8-42)可得到求取有零阶保持器时开环脉冲传递函数的一个很有用的结论:若 W ( s )所对应的 z 变换为 W ( z ),则(1-e - Ts ) W ( s )所对应的 z 变换为(1- z -1 ) W ( z )。
(3)连续信号进入连续环节时开环离散系统的输出表达式
设开环离散系统如图8-14所示。当开环离散系统的输入端无采样开关时,连续的输入信号 r ( t )就直接进入连续环节 G 1 ( s ),将求不出开环脉冲传递函数,而只能求得系统的输出表达式 C ( z )。
由图8-14可得
D ( z )= Z [ D ( s )]= Z [ G 1 ( s ) R ( s )]= G 1 R ( z )
则有
图8-14 连续信号进入连续环节时的开环离散系统
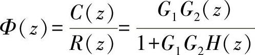
2.闭环系统的脉冲传递函数
闭环系统的脉冲传递函数定义为:闭环离散控制系统输出信号的 z 变换 C ( z )与输入信号的 z 变换 R ( z )之比,即
应当注意,当连续的输入信号直接进入连续环节时,将求不出闭环脉冲传递函数,只能求得系统的输出表达式 C ( z )。
在离散系统中,由于采样开关在系统中设置的不同,结构形式就不一样,因此,闭环离散系统没有唯一的典型结构图形式,系统的闭环脉冲传递函数就没有一般的计算公式,只能根据系统的实际结构具体地求取。
为了便于求出闭环脉冲传递函数,需要了解采样函数拉普拉斯变换的基本关系式。
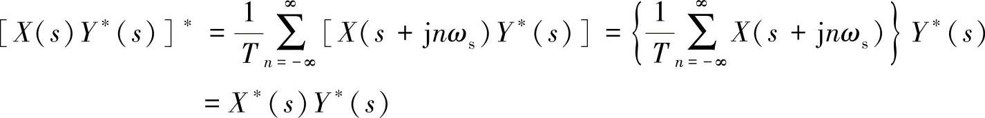
假设 X ( s )和 Y ( s )表示连续信号 x ( t )和 y ( t )的拉普拉斯变换, X ∗ ( s )和 Y ∗ ( s )表示采样信号 x ∗ ( t )和 y ∗ ( t )的拉普拉斯变换,则
由式(8-44)可知,若采样函数的拉普拉斯变换 Y ∗ ( s )与连续函数的拉普拉斯变换 X ( s )相乘后再采样,则 Y ∗ ( s )可以从采样符号中提出来。
证明: 根据式(8-4),有
而
于是
若令 m = k + n ,则由上式可得
式(8-46)表明, Y ∗ ( s )是以采样角频率 ω s 为周期的周期函数。将式(8-46)代入式(8-45),可得
求闭环脉冲传递函数的具体方法:选择系统输入变量和输出变量,并取采样开关输入端的变量为中间变量。用 s 域象函数列写方程组,然后对方程组中的各变量进行采样后取 z 变换,消去中间变量,得到闭环脉冲传递函数或输出表达式。注意:在列写中间变量的 s 域象函数方程时,避免出现输出连续函数的象函数 C ( s ),以免无法得到闭环脉冲传递函数或输出表达式。
例8-15 设闭环离散系统如图8-15所示,试求系统的闭环脉冲传递函数。
图8-15 闭环离散系统
解: 由图8-15可得
对以上各式离散化,有
对以上各式取 z 变换
消去中间变量 E ( z )和 D ( z ),得
则闭环脉冲传递函数为
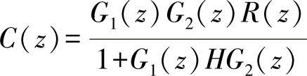
例8-16 设闭环离散系统如图8-16所示,试求系统的闭环脉冲传递函数。
图8-16 闭环离散系统
解: 由图8-16可得
对以上各式离散化,有
对以上各式取 z 变换
消去中间变量 E ( z ),得
则在给定输入信号作用下的闭环脉冲传递函数为
在扰动输入信号作用下的输出表达式为
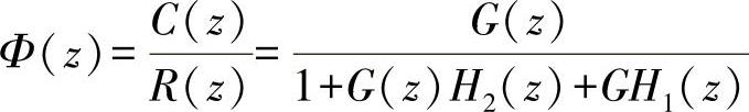
例8-17 设闭环离散系统如图8-17所示,试求系统的闭环脉冲传递函数。
图8-17 闭环离散系统
解: 由图8-17可得
对以上各式离散化,有
对以上各式取 z 变换
消去中间变量 E ( z )和 D ( z ),得
则闭环脉冲传递函数为
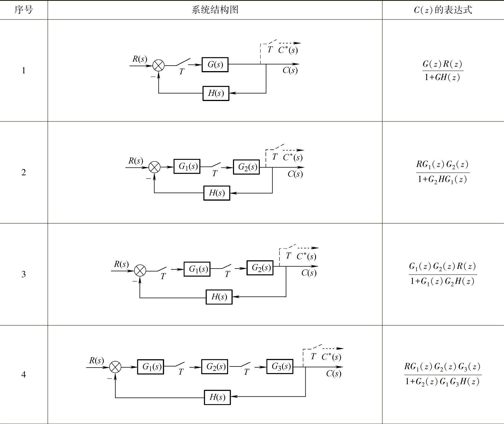
典型闭环离散系统及其输出 z 变换 C ( z )的表达式见表8-3。
表8-3 典型闭环离散系统及其输出 z 变换 C ( z )
(续)