



8.3 z变换
在线性连续控制系统中,以拉普拉斯变换作为数学工具,将系统的微分方程化为代数方程,建立系统的传递函数,可以非常方便地对系统进行分析和设计。与此相似,在线性离散控制系统中,应用 z 变换将描述系统的线性差分方程转化为代数方程,建立系统的脉冲传递函数,从而对系统进行分析和设计。因此, z 变换是研究线性离散控制系统的重要数学工具。
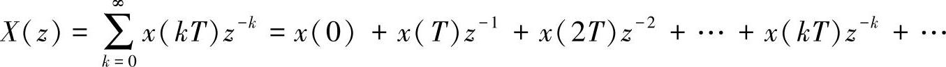
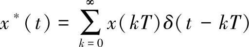
设连续信号 x ( t )存在拉普拉斯变换,其象函数为 X ( s )。 x ( t )经过等速采样后,得到离散信号 x ∗ ( t ),由式(8-2)可知其表达式为
式中, T 为采样周期。对上式表示的脉冲序列进行拉普拉斯变换,可得采样函数
式(8-13)最后一个等式中每一项均含有复变量 s 的指数函数e Ts ,直接运算不方便。若引入复变量
则式(8-13)可写成以 z 为自变量的函数
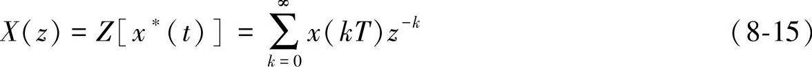
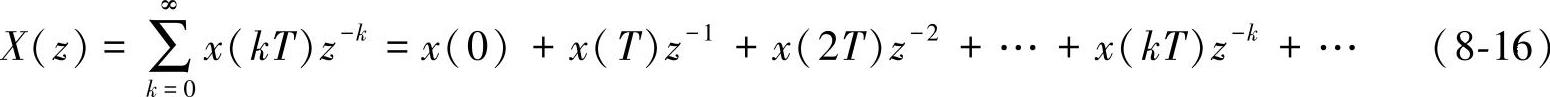
式(8-15)为离散信号 x ∗ ( t )的 z 变换的定义式。 Z [ x ∗ ( t )]表示离散信号 x ∗ ( t )的 z 变换,记为 X ( z )。通过引入复变量 z ,将采样函数拉普拉斯变换的表达式转换为 z 的幂级数形式。
z 变换,又称为采样拉普拉斯变换,它是从拉普拉斯变换直接引申出来的变换方法,它实际上是采样函数拉普拉斯变换的一种变形。对一连续函数 x ( t )取 z 变换,只考虑这个函数在采样时刻的采样值,即时间序列 x (0), x ( T ), x (2 T ),…。也就是说
都表示对离散信号 x ∗ ( t )的 z 变换。
常用的 z 变换方法有级数求和法、部分分式法和留数计算法。
1.级数求和法
根据 z 变换的定义,将式(8-15)写成级数展开式
显然,只要知道连续函数 x ( t )在各采样时刻 t = kT ( k =0,1,2,…,∞)的采样值 x ( kT ),便可求得离散函数 x ∗ ( t )的 z 变换的级数展开形式。这种级数展开式是开放式的,如果不能写成闭合式形式,实际应用就不方便。一些常用函数 z 变换的级数形式,都可以写成闭合式形式。
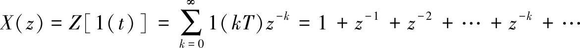
例8-1 求单位阶跃函数1( t )的 z 变换。
解: 单位阶跃函数在各采样时刻的采样值均为1,即1( kT )=1 ( k =0,1,2,…,∞),由式(8-16)可得
若| z |>1,则上式的无穷级数是收敛的,利用等比级数求和公式可得对应的闭合式形式为
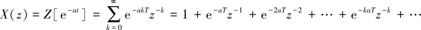
例8-2 求指数函数e - at ( a >0, t ≥0)的 z 变换。
解: 根据式(8-16)可得
若| z |> a ,则无穷级数是收敛的,利用等比级数求和公式可得对应的闭合式形式为
2.部分分式法
利用部分分式法求 z 变换时,先求出已知连续函数 x ( t )的拉普拉斯变换 X ( s )。 X ( s )通常是 s 的有理分式,然后将其展开成部分分式之和的形式,使每一部分分式对应简单的时间函数,再分别求出或查表得到每一项的 z 变换。最后作通分化简运算,于是可方便地求出 X ( s )对应的 z 变换 X ( z )。
将 X ( s )展开成部分分式和的形式,即
式中,
n
为
X
(
s
)的极点个数;
A
i
为常系数;
s
i
为
X
(
s
)的极点。由拉普拉斯反变换可知
A
i
/(
s
-
s
i
)对应的原函数为
,利用在例8-2中求得的指数函数的
z
变换,可得
因此,函数 x ( t )的 z 变换由象函数 X ( s )求得为
例8-3
已知连续函数
x
(
t
)的拉普拉斯变换
,求对应的
z
变换
X
(
z
)。
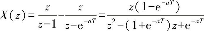
解: 将 X ( s )展开成如下部分分式
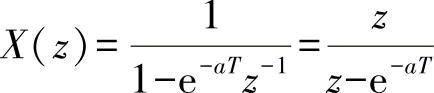
于是,与式(8-17)对照可知, A 1 =1, A 2 =-1, s 1 =0, s 2 =- a 。根据式(8-18),可得连续函数 x ( t )的 z 变换
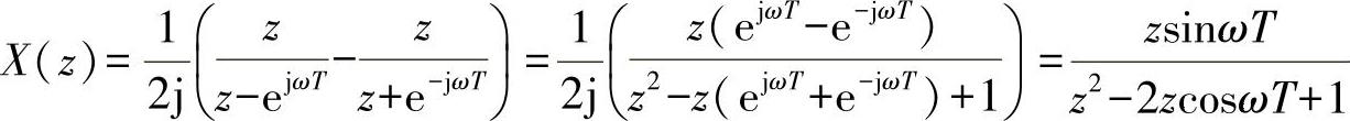
例8-4 已知连续函数 x ( t )=sin ωt ,求对应的 z 变换 X ( z )。
解: 对 x ( t )取拉普拉斯变换,得
将 X ( s )展开成部分分式
根据式(8-18),可得
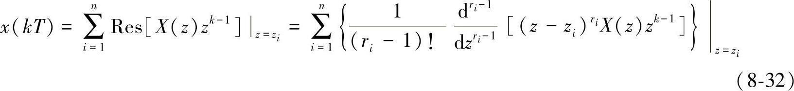
3.留数计算法
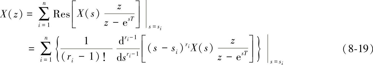
已知连续函数 x ( t )的拉普拉斯变换 X ( s )及其全部极点 s i ( i =1,2,3,…, n ),则其 z 变换可通过下列留数计算式求得,即
式中, s i 为 X ( s )的彼此不相等的极点; r i 为重极点 s i 的阶数; n 为彼此不相等的极点个数。
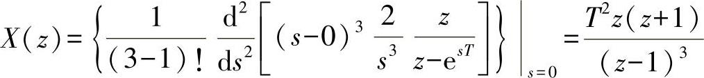
例8-5 已知连续函数 x ( t )= t 2 ,求对应的 z 变换 X ( z )。
解: x ( t )的拉普拉斯变换为
由上式可知, n =1, s 1 =0, r 1 =3。根据式(8-19)可得
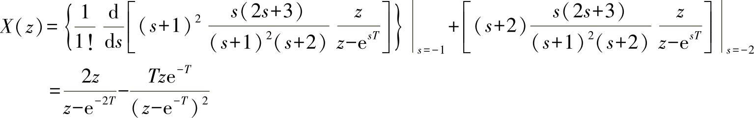
例8-6
已知拉普拉斯变换
,求对应的。变换X(z)。
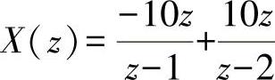
解: 由拉普拉斯变换式 X ( s )可知, n =2, s 1 =-1, r 1 =2, s 2 =-2, r 2 =1。根据式(8-19)可得
常用时间函数的 z 变换见表8-2。由表可知,这些函数的 z 变换都是 z 的有理分式,且分母多项式的次数大于或等于分子多项式的次数。值得指出,表中所列常用时间函数 z 变换式的分母 z 多项式的阶次与相应拉普拉斯变换式的分母 s 多项式的阶次相等。
表8-2 z 变换表
(续)
在 z 变换中,有一些与拉普拉斯变换类似的基本定理。熟悉了这些定理,可以更加简便地应用 z 变换。
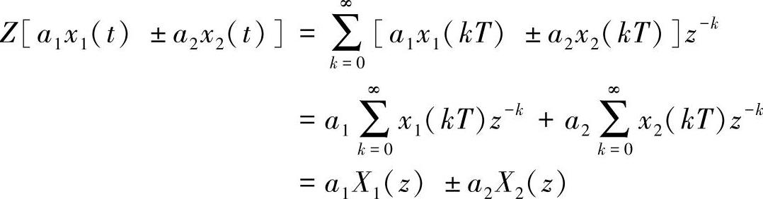
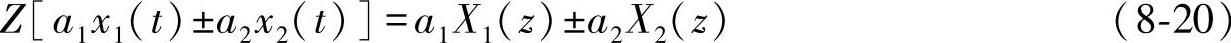
1.线性定理
若 X 1 ( z )= Z [ x 1 ( t )], X 2 ( z )= Z [ x 2 ( t )], a 1 与 a 2 为常数,则
证明: 由 z 变换定义
线性定理表明,时域函数的线性组合的 z 变换等于各函数 z 变换的线性组合, z 变换是一种线性变换。
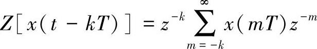
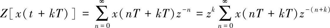
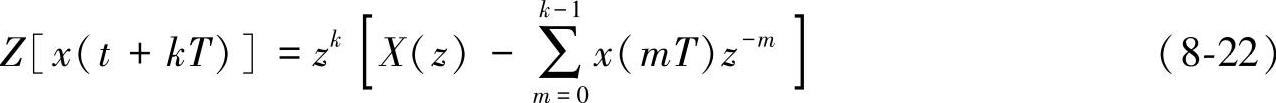
2.实数位移定理
实数位移定理又称平移定理。实数位移是指整个采样序列在时间轴上左右平移若干采样周期,其中向左平移为超前、向右平移为滞后。实数位移定理如下:
若连续函数 x ( t )的 z 变换为 X ( z ),则有滞后定理
以及超前定理
证明: 1)式(8-21)的证明。由 z 变换定义
令 m = n - k ,则有
由于 z 变换的单边性,当 m <0时,有 x ( mT )<0,所以上式可写为
式(8-21)得证。
2)式(8-22)的证明。由 z 变换定义
令 m = n + k ,则有
式(8-22)得证。
算子 z 有明确的物理意义: z - k 代表时域中的滞后算子,它将采样信号滞后 k 个采样周期; z k 代表时域中的超前算子,它将采样信号超前 k 个采样周期。但是, z k 仅用于运算,在实际物理系统中并不存在。实数位移定理是一个重要的定理,可将描述离散系统的差分方程转换为 z 域的代数方程。
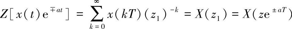
3.复数位移定理
若连续函数 x ( t )的 z 变换为 X ( z ), a 为常数,则有
证明: 由 z 变换定义
令 z 1 = z e ± aT ,则有
式(8-23)得证。
复数位移定理的含意是函数 x ( t )乘以指数函数e ∓ at 的 z 变换,就等于在 x ( t )的 z 变换式 X ( z )中以 z e ± aT 取代原算子 z 。
4.初值定理
若连续函数
x
(
t
)的
z
变换为
X
(
z
),且极限
存在,则有
证明: 由 z 变换定义
当 z →∞时,等式右边只有 x (0),所以
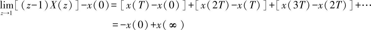
5.终值定理
若连续函数 x ( t )的 z 变换为 X ( z ), X ( z )不含有 z =1的二重及其以上的极点且在 z 平面的单位圆外无极点,则有
证明: 由 z 变换的线性定理,有
由实数位移定理
于是
上式两边取 z →1的极限,得
即
所以有
如果已知 x ( t )的 z 变换 X ( z ),不需要求其 z 反变换,利用初值定理和终值定理可以方便地求出 x ( t )的初值和终值。
所谓 z 反变换,就是已知 z 变换表达式 X ( z ),求取相应的离散函数 x ∗ ( t )或离散时间序列 x ( kT )的过程。记为
通过 z 反变换只能求出连续信号在采样时刻的数值,而不能给出连续信号在采样时刻之间的有关信息。常用的 z 反变换方法有幂级数法、部分分式法和留数计算法。
1.幂级数法
幂级数法就是利用长除法将 z 变换表达式 X ( z )展开成 z -1 的幂级数,求取离散函数 x ∗ ( t )或离散时间序列 x ( kT )的数值。
设 z 变换表达式 X ( z )是 z 的有理分式函数,即
式中, a i ( i =0,1,2,…, n )和 b j ( j =0,1,2,…, m )均为常数。将 X ( z )的分子、分母多项式表示为 z -1 的升幂形式,则可以直接用分母去除分子,得到无穷幂级数的展开式
根据实数位移定理,离散函数 x ∗ ( t )为
考虑到式(8-27),由 z 变换定义式(8-15)可知,式(8-28)中的系数 c k ( k =0,1,2,…,∞)即为 x ( t )在采样时刻 t = kT 的值 x ( kT )。
在实际应用中,通常计算有限的几项就够了,因此用幂级数法得到 x ∗ ( t )较简便,但不容易求出 x ∗ ( t )的通项表达式。
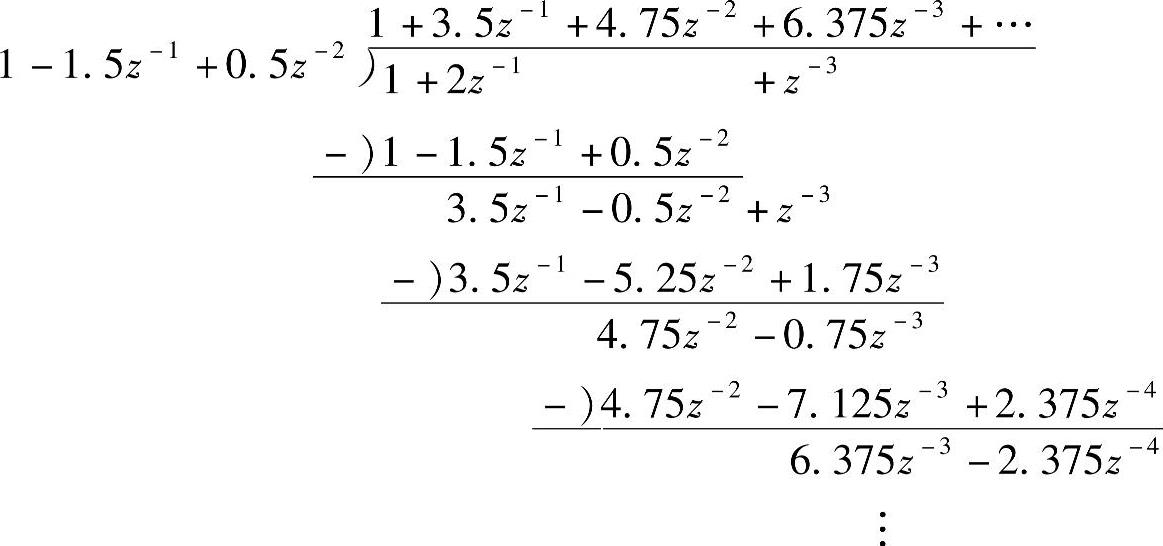
例8-7
已知
z
变换表达式
,试求其
z
反变换。
解: 将 X ( z )表示为
长除法算式如下
利用长除法得
则离散时间函数为
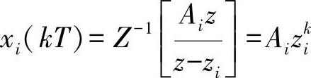
2.部分分式法
已知 z 变换表达式 X ( z ),考虑到在 z 变换表中 z 变换表达式 X ( z )的分子都含有因子 z ,所以应将 X ( z ) /z 展开为部分分式,逐项查 z 变换表,就可以得到离散时间函数 x ∗ ( t )或离散时间序列 x ( kT )。
设 z 变换表达式 X ( z )无重极点,将 X ( z ) /z 展开为如下部分分式
式中,
n
为
X
(
z
)的极点个数;
A
i
为常系数且
;
z
i
为
X
(
z
)的极点。
式(8-29)的两端同乘以 z ,得到 X ( z )的部分分式展开式为
逐项查 z 变换表,得到
最后写出 X ( z )对应的采样函数
例8-8
已知
z
变换表达式
,试求其
z
反变换。
解: 将 X ( z ) /z 展开成如下部分分式
上式两端同乘以 z ,得
查 z 变换表得离散时间序列
于是,离散时间函数为
3.留数计算法
在实际问题中遇到的 z 变换表达式 X ( z ),除了有理分式外,也可能是超越函数,此时无法应用部分分式法及幂级数法来求 z 反变换,而采用留数计算法却比较方便。已知 z 变换表达式 X ( z ),求取离散时间序列 x ( kT )的留数计算式如下:
式中, z i 为 X ( z )的彼此不相等的极点; r i 为重极点 z i 的阶数; n 为彼此不相等的极点个数。则 z 变换函数 X ( z )对应的离散函数 x ∗ ( t )为
例8-9
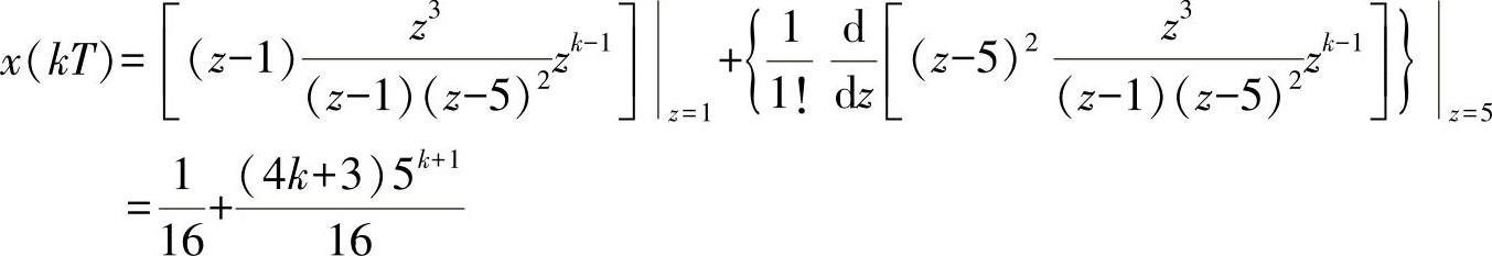
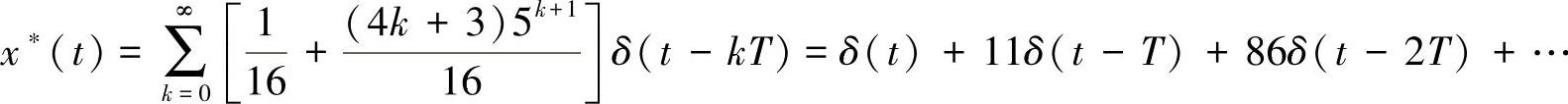
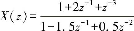
已知
z
变换表达式
,试求其
z
反变换。
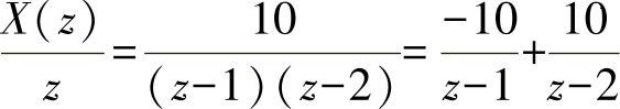
解: 由 X ( z )可知, n =2, z 1 =1, r 1 =1, z 2 =5, r 2 =2。根据式(8-32),可得
于是,由式(8-33)得到 X ( z )对应的离散函数 x ∗ ( t )为