



8.2 信号采样与恢复
在离散控制系统中,既存在着连续信号,又在一处或数处存在脉冲序列或数字序列这样的离散信号。被控对象是连续的,其输入信号和输出信号是连续信号;数字控制器或数字校正装置的输入信号和输出信号是离散信号。因此,一方面,需要使用采样器把连续信号变换为脉冲序列或数字序列;另一方面,又需要使用保持器将脉冲序列或数字序列变换为连续信号。因此,为了定量地研究离散控制系统,有必要对信号的采样过程和恢复过程用数学的方法加以描述。
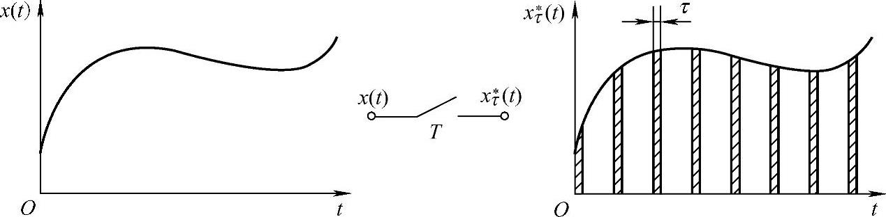
将连续信号变换为离散信号的过程称为采样过程。实现这一采样过程的装置称为采样器,又叫采样开关。假设采样器每隔时间
T
闭合一次,闭合的持续时间为
τ
,采样器的输入
x
(
t
)为连续信号,则在采样器的输出端得到宽度为
τ
、重复周期为
T
的脉冲序列
,如图8-5所示。
图8-5 实际采样过程
考虑到采样开关的闭合时间 τ 远远小于采样周期 T ,即 τ << T ,在分析时可以认为 τ ≈0。这样,采样器就可以用一个理想采样器来代替。理想采样器等效为一个脉冲调制器,采样器的输入信号 x ( t )为调制信号。采样过程可以看成是一个载波信号为理想单位脉冲序列 δ T ( t )的脉冲调制过程,采样器的输出信号 x ∗ ( t )为理想脉冲序列,如图8-6所示。
图8-6 理想采样过程
连续信号 x ( t )经过理想单位脉冲序列调制,得到理想脉冲序列 x ∗ ( t )的过程可以表示为
式中,
为理想单位脉冲序列的数学表达式。那么,连续信号
x
(
t
)经过采样得到的理想脉冲序列
x
∗
(
t
)的数学描述为
或
根据上述讨论可知,采样过程相当于一个脉冲调制过程,采样器的输出信号 x ∗ ( t )可以表示为两个函数的乘积。载波信号 δ T ( t )决定采样时刻,采样信号 x ∗ ( t )的幅值等于相应采样时刻 t = kT 时输入连续信号 x ( t )的幅值 x ( kT )。
连续信号经采样获得的离散信号是否包含连续信号的全部信息?能否将离散信号不失真地恢复到原来的连续信号?这便涉及采样频率的选择问题,这需要用频谱分析的方法来解释。采样定理指出了由离散信号完全恢复出相应连续信号时采样频率的选择必须满足的条件。
1.采样信号的频谱
理想单位脉冲序列 δ T ( t )是一个周期函数,可以展开为傅里叶级数
式中, ω s =2π /T 为采样角频率; T 为采样周期; c k 为傅里叶系数,其值为
于是,有
代入式(8-1),可得
上式两边取拉普拉斯变换,由拉普拉斯变换的复数位移定理,得到
令 s =j ω ,得到采样信号 x ∗ ( t )的傅里叶变换
式中, X (j ω )为连续信号 x ( t )的傅里叶变换。
一般说来,连续信号 x ( t )的频谱| X (j ω )|是单一的连续频谱,其频带宽度是有限的,最高角频率为 ω h ,如图8-7a所示。而式(8-5)表明,采样信号 x ∗ ( t )的频谱| X ∗ (j ω )|则是以采样角频率 ω s 为周期的无穷多个频谱的叠加,如图8-7b和8-7c所示。在图8-7b中, k =0时的频谱| X (j ω )| /T 称为采样信号 x ∗ ( t )的主频谱; k =±1,±2,…时的频谱| X [j( ω + kω s )]| /T 都是由于采样而引起的高频频谱。根据采样角频率 ω s 的大小,频谱曲线| X ∗ (j ω )|可能出现两种情况:当 ω s ≥2 ω h 时,采样信号的主频谱和高频频谱彼此不混叠,如图8-7b所示,可以用一个理想低通滤波器(其频谱如图8-7b中虚线所示)滤掉全部附加的高频频谱分量,从而获得与连续信号 x ( t )的频谱| X (j ω )|成比例的主频谱| X (j ω )| /T ,使得有可能由采样信号 x ∗ ( t )无失真地复现连续信号 x ( t );当 ω s <2 ω h 时,采样信号的各频谱分量发生频率混叠,如图8-7c所示,即使用理想滤波器也无法将主频谱分离出来,因而就难以准确复现原有的连续信号。
图8-7 采样信号的频谱
a)连续信号的频谱 b) ω s >2 ω h 离散信号的频谱 c) ω s <2 ω h 离散信号的频谱
2.采样定理
由采样信号的频谱分析结果可知,若能适当选择采样角频率 ω s ,使采样信号的各频谱分量不发生频率混叠,就可以从采样信号 x ∗ ( t )中完全复现采样前的连续信号 x ( t )。采样定理指出了从采样信号中无失真地复现原连续信号所必需的理论上的最小采样角频率 ω s ,成为设计离散控制系统时必须严格遵守的一条准则。
采样定理:如果连续信号 x ( t )的频谱具有有限带宽,且频谱的最高角频率为 ω h ,则当且仅当采样角频率 ω s 满足
时,由采样得到的离散信号 x ∗ ( t ),能够无失真地恢复到原来的连续信号 x ( t )。
这就是著名的采样定理,又叫香农(Shannon)采样定理。采样定理说明,如果选择采样角频率 ω s ,使得对连续信号中所含最高角频率 ω h 的信号分量来说,能够做到一个周期内采样两次以上,则在经采样获得的离散信号中,将包含连续信号的全部信息;反之,如果采样次数太少,即采样周期太长,那就做不到不失真地再现原来的连续信号。
3.采样周期的选取
采样周期 T 是离散控制系统设计中的一个关键问题。采样定理只是给出了采样周期选择的基本原则,并未给出选择采样周期的具体计算公式。显然,采样周期 T 选得越小,即采样角频率 ω s 选得越高,对控制过程信息的获得便越多,控制效果也会越好。但是,采样周期 T 选得过小,将增加不必要的计算负担,难以实现较复杂的控制规律。反之, T 选得过大,又会给控制过程带来较大的误差,降低系统的动态性能,甚至有可能导致整个控制系统不稳定。因此,采样周期 T 要根据实际情况综合考虑,合理选择。
在一般的工业过程控制系统中,计算机所能提供的运算速度,对于采样周期的选择来说,回旋余地较大。工程实践表明,根据表8-1给出的参考数据选择采样周期 T ,可以获得较满意的控制效果。
表8-1 采样周期 T 的参考数据
对于伺服系统,采样周期的选取在很大程度上取决于系统的性能指标。从频域性能指标来看,控制系统的闭环频率响应通常具有低通滤波特性。当输入信号的频率高于其闭环幅频特性的带宽角频率 ω b 时,信号通过控制系统将会很快地衰减,因此可认为通过系统的控制信号的最高频率分量为 ω b 。一般认为,开环幅频特性的截止频率 ω c 与闭环幅频特性的带宽角频率 ω b 比较接近,近似有 ω c ≈ ω b 。这就是说,通过伺服系统的控制信号的最高角频率分量为 ω c ,超过 ω c 的频率分量通过控制系统时将被大幅度衰减掉。根据工程实践经验,伺服系统的采样角频率 ω s 可近似选为
由于 T =2π /ω s ,所以采样周期可按下式选取
从时域性能指标来看,采样周期 T 可通过单位阶跃响应的上升时间 t r 或调节时间 t s ,按下列经验公式选取
或者
连续信号 x ( t )经过采样后变成了离散信号 x ∗ ( t )。在数字控制系统中,数字控制器的输出也为离散信号。为了将满足采样定理的离散信号 x ∗ ( t )恢复成原来的连续信号 x ( t ),需要使用图8-7b中虚线所示的理想低通滤波器。实际上,这种理想滤波器是无法物理实现的。在工程上,只能采用物理上可实现的近似于理想滤波器特性的低通滤波器来代替。在离散控制系统中采用的保持器,就是这样一种实际的滤波器。
零阶保持器实现简单,是工程上最常用的一种保持器。它是一种按常值外推的保持器,把前一采样时刻 t = kT 的采样值 x ( kT )恒定不变地保持到下一采样时刻 t =( k +1) T ,从而使采样信号 x ∗ ( t )经过零阶保持器后变成阶梯信号 x h ( t ),如图8-8所示。因为 x h ( t )在每个采样周期内的值保持常数,其变化率为零,故称为零阶保持器。
图8-8 零阶保持器的输出特性
由零阶保持器的外推作用可知,如果给它输入一个理想单位脉冲 δ ( t ),则其单位脉冲响应 g h ( t )是幅值为1,持续时间为 T 的矩形脉冲,并可表示为两个单位阶跃函数的叠加
对上式取拉普拉斯变换,可得零阶保持器的传递函数为
在式(8-11)中,令 s =j ω ,得零阶保持器的频率特性为
根据式(8-12),可画出零阶保持器的幅频特性| G h (j ω )|和相频特性∠ G h (j ω ),如图8-9所示。图中, ω s =2π /T 为采样角频率。
由图可见,零阶保持器具有如下特性:
1)低通特性。由于幅频特性的幅值随频率 ω 值的增大而衰减,说明零阶保持器具有明显的低通特性,但与理想滤波器特性相比,除了允许主要频谱分量通过外,还允许部分高频频谱分量通过。因此,零阶保持器复现出的连续信号与原来的信号是有差别的。
2)相角滞后特性。由相频特性可见,零阶保持器要产生与频率 ω 成正比的相角滞后。所以零阶保持器的引入,加大了系统的相角滞后,从而使闭环系统的稳定性降低。
3)时间滞后特性。如果把零阶保持器输出的阶梯信号 x h ( t )的中点连接起来,如图8-8中的虚线所示,则可以得到与连续信号 x ( t )形状一致但在时间上滞后 T/ 2的曲线 x ( t - T/ 2),相当于给系统增加了一个延迟时间为 T/ 2的延迟环节。可见,零阶保持器的引入,使系统总的相角滞后增大,对系统的稳定性不利,这与零阶保持器的相角滞后特性是一致的。
图8-9 零阶保持器的幅频特性和相频特性
a)幅频特性 b)相频特性