



8.6 离散控制系统的数字校正
线性离散控制系统的设计方法,主要有模拟化设计和数字化设计两种。模拟化设计方法是先将离散控制系统看作连续系统,暂时不考虑采样器和零阶保持器的影响,然后采用连续控制系统的设计方法设计校正装置,再将该校正装置离散化得到数字控制器。数字化(离散化)设计方法又称直接数字设计法,把控制系统按离散化进行分析,先求出系统的脉冲传递函数,然后按离散控制系统理论设计数字控制器。模拟化设计方法应用的前提是采样频率比系统的工作频率要高得多,以至于由采样和保持造成的影响可以忽略不计。模拟化设计方法也可应用于对控制系统的要求不太高的场合。在大多数情况下,为了使离散控制系统的设计更为准确,通常采用离散的数字化设计方法。
将模拟控制器离散化为数字控制器,首先要满足稳定性条件,即一个稳定的模拟控制器离散化后,应当也是一个稳定的数字控制器。此外,数字控制器在关键频率范围内的频率特性,应与模拟控制器相近,这样才能起到设计时预期的综合校正作用。离散化的方法很多,这里介绍常用的两种方法:双线性变换法和零极点匹配法。
1.双线性变换法
由 z 变换算子 z =e Ts 可得 s =ln z/T ,而ln z 的级数展开式为
取其一次近似,即
于是,有双线性变换公式
因此,双线性变换法的离散化公式为
式(8-60)的双线性变换又叫作图斯汀(Tustin)变换,它是最常用的一种离散化方法。
2.零极点匹配法
无论是连续系统还是离散系统,其特性都是由零、极点和增益所决定的。常用来将模拟控制器离散化为数字控制器的另一种方法是零极点匹配法,具体步骤如下:
1)用 z =e Ts 将 s 平面的零点、极点 s =- a 映射为 z 平面的零点、极点 z =e - aT 。
2)如果在 s 平面上传递函数有无穷远处的零点,则在 z 平面上配置 z =0的零点。
3)数字控制器与模拟控制器的增益相匹配。选择 G ( z )的增益,使得
通常选择 ω =0。否则, G ( s )有 s =0的极点,必须使用某个不为零的频率值。
例8-23 已知传递函数
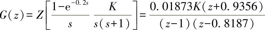
设采样周期 T =0.1s,试分别用双线性变换法和零极点匹配法求离散化后的数字控制器。
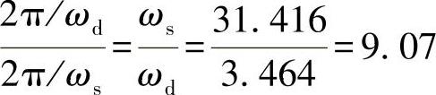
解: 1)双线性变换法。由式(8-61)可得
2)零极点匹配法。由于 G ( s )有一个无穷远处的零点,所以应给 G ( z )设置一个 z =0的零点。则
式中, K 可以根据离散化前后控制器的增益相等来确定,有
解得 K =0.8656。于是,可得
两种离散化方法得到的 z 传递函数近似相同。主要差别在于双线性变换法得到的 z 传递函数有一个零点 z =-1,而零极点匹配法得到的 z 传递函数有一个零点 z =0。如果在零极点匹配法中将 s 域无穷远处零点映射到 z 域的零点配置在 z =-1处,则两种方法得到的 z 传递函数就几乎没有什么差别。应当指出,由于采样必然带来信息的损失,所以不论采用哪种离散化方法,得到的数字控制器的特性不可能与模拟控制器的特性完全一样。
由于离散系统的特征方程[1+ G ( z )=0]与连续系统的特征方程[1+ G ( s )=0]具有相同的形式,因此除稳定边界(从 s 平面的虚轴变为 z 平面的单位圆)和零、极点分布的含义不同外,根轨迹法无需修改就可推广应用到线性时不变离散系统。
离散系统根轨迹综合法的思路是:根据性能指标要求确定闭环主导极点位置,设计控制器零、极点的分布和调整增益使根轨迹通过主导极点并使系统具有满意的性能。分析表明,采样周期 T 对系统暂态特性的影响较大。若采样周期大,则系统的相对稳定性将降低、甚至导致不稳定,而且阻尼比 ζ 将无法表征系统的相对稳定性(实际超调量比 ζ 表示的要大得多)。因此,系统的采样频率必须足够高。按一般经验,对于欠阻尼系统,在衰减振荡响应的一个周期内应采样8~10次(即 ω s /ω d ≥8~10);对于过阻尼系统,在阶跃响应的上升时间内应采样8~10次。只要采样频率足够高,阻尼比 ζ 就可作为系统相对稳定性的度量,连续系统的根轨迹综合方法就可推广到这类离散系统。
在根轨迹法中,经常要应用零、极点相消的思想,即用控制器的零、极点去对消原系统的不希望有的零、极点,使系统具有较理想的零、极点分布,从而获得优良的系统性能。但必须指出,零、极点相消思想一般只用于改善系统的暂态性能。而且位于单位圆外、圆上以及紧靠单位圆周的单位圆内极点是不允许消去的。因为实际数学模型不可能十分精确,参数的变化又是难以避免的,严格地说,零、极点相消只能做到名义相消,而不可能真正地完全相消。而上述那些极点,要么本身不稳定,要么受扰动作用后很易变成不稳定的,在零、极点相消时即使将它们名义上相消掉,但只要参数或工作状态一变化它们就无法对消,系统根本无法工作。
离散系统根轨迹综合法所用到的校正方式,与连续系统相类似,主要是超前校正、滞后校正、滞后超前校正这三种基本校正方式。工业中常用的PID控制器,实际上是滞后超前校正装置的一种特例。离散系统的PID控制算法,仍然是控制工程界青睐的有效算法。
例8-24 设离散控制系统如图8-29所示,采样周期 T =0.2s。试设计一个数字控制器,使系统的阶跃响应具有下列性能指标:超调量为16.3%,调节时间为2s(取 Δ =2%)。并求综合后系统的单位阶跃响应和速度误差系数。
图8-29 闭环离散系统
解: 1)根据性能指标确定闭环主导极点。性能指标要求:超调量为16.3%,调节时间为2s(取 Δ =2%)。由此可求得对应的典型二阶连续系统具有下列特征参量:阻尼比 ζ =0.5,无阻尼自然振荡频率 ω n =4 rad/s。相应的闭环主导极点为
其中,阻尼振荡频率
。
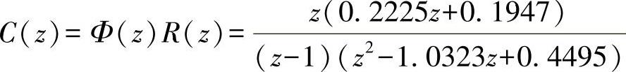
当采样周期 T =0.2s时,相应的采样频率 ω s =2π /T =31.416rad/s。于是在每个阻尼振荡周期里采样的次数为
这样的采样频率足够高,连续系统的根轨迹综合方法可推广应用到离散系统。
在 z 平面上的闭环主导极点的位置为
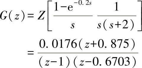
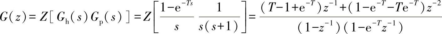
2)综合数字控制器。受控对象与零阶保持器串联的脉冲传递函数为
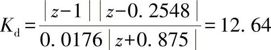
其零点( z =-0.875)和极点( z =1及 z =0.6703)在 z 平面上的分布如图8-30所示。为使校正后系统的根轨迹通过主导极点 z 1,2 (由于离散系统的零、极点分布和根轨迹曲线对称于实轴,因此选择 z 1 =0.5158+j0.4281进行下面的设计),根据相角条件可得数字控制器需要提供的相角为
φ d =-180 ° -∠ G ( z 1 )=-180 ° -[∠( z 1 +0.875)-∠( z 1 -1)-∠( z 1 -0.6703)]=51.25 ° 因此,数字控制器需要提供超前相角51.25 ° 。
图8-30 例8-24离散控制系统根轨迹图
设控制器的脉冲传递函数为
如果设计控制器的零点 z =- z d 与 G ( z )的极点 z =0.6703对消,则根据控制器在主导极点处需要提供超前角 φ d =51.25 ° ,可用图解法或解析法确定其极点为 p d =-0.2548(见图8-30)。于是控制器的脉冲传递函数为
系统的开环脉冲传递函数为
根据幅值条件,在主导极点 z 1 处的幅值等于1,即
于是,可确定控制器增益为
故
根据 D ( z ) G ( z )便可绘制校正后系统的根轨迹,如图8-30所示。
3)性能分析。由图8-29可得数字系统的闭环脉冲传递函数
则系统的单位阶跃响应为
相应的单位阶跃响应序列如图8-31所示。由图可得,超调量约为16%,调节时间约为2s。这表明,综合校正的结果是令人满意的。
系统的斜坡误差系数为
图8-31 例8-24系统的单位阶跃响应
应强调指出,闭环脉冲传递函数的零、极点强烈地影响暂态响应和频率响应特性。熟悉 z 平面极点与零点的位置与时间响应特性之间的关系对设计离散时间控制系统来说是很有用的。若在 s 平面负实轴靠近原点处加一个零点,会使阶跃输入响应超调量增大。 s 平面上的这个零点在 z 平面上的映射点位于正实轴的0与1之间。因而,在 z 平面中,若在正实轴的0与1之间加零点,就将增大超调量。实际上,一个零点向 z =1的点移动,将使超调量显著地增大。同样,在 s 平面负实轴上靠近原点的闭环极点将增加调节时间。而这种闭环极点在 z 平面上的映射点,将位于正实轴的0与1之间。因此,位于 z 平面正实轴的0与1之间(特别是靠近 z =1时)的闭环极点会使调节时间增加。然而,本例设计的闭环极点或零点中没有非主导闭环极点而只有一个位于 z 平面负实轴上的零点,对暂态响应影响不大。
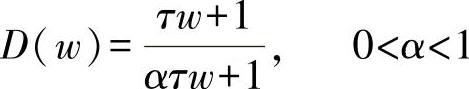
如同在连续控制系统中一样,频率特性在离散控制系统中也起着重要的作用。由于在 z 平面中频率是以 z =e j ωT 形式出现,脉冲传递函数不是 ω 的有理函数,故直接应用是不合适的。然而,这个困难能够通过把 z 平面中的脉冲传递函数变换到一个 w 平面上去得以克服。这个变换,通常称为 w 变换,是一种双线性交换,它的定义式如下:
于是,有
式中, T 为采样周期。通过把 z 平面中的脉冲传递函数变换成 w 的有理函数,频率特性法就能扩展应用到离散控制系统。
借助 w 变换,当脉冲传递函数 G ( z )转化成 G ( w )时,则在 w 域中可把它当作常规传递函数对待。也就是说能在 w 平面中应用常规频率特性技术,那么已经建立的频率特性设计技术也就能用于离散控制系统的设计。
在 w 平面上数字控制系统的设计步骤如下:
1)求带保持器的被控对象的 z 变换 G ( z ),再由式(8-62)给出的双线性变换公式将 G ( z )变换为 w 域传递函数 G ( w ),即
2)根据稳态性能指标的要求确定系统的开环增益。将 w =j ν ( ν 表示虚频率)代入 G ( w )中,并画出 G (j ν )的伯德图。从伯德图上读取原系统的性能指标(如相位裕度和增益裕量)。
3)按照频率特性设计方法设计数字控制器 D ( w ),使系统满足性能指标要求。
4)通过式(8-63)的双线性变换公式将数字控制器的 w 域传递函数 D ( w )变换为脉冲传递函数 D ( z ),即
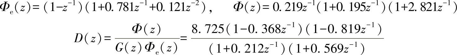
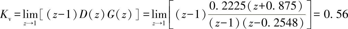
例8-25 设数字控制系统如图8-32所示,采样周期 T =0.2s。试设计一个数字控制器,使系统相位裕度为50 ° ,增益裕量至少10dB,静态速度误差系数 K v =2s -1 。
图8-32 闭环离散系统
解: 带零阶保持器的被控对象的脉冲传递函数为
利用双线性变换式将 G ( z )变换为 w 域传递函数
根据稳态性能指标要求,可得
将 G ( w )的增益调整为 K =2,绘制 G (j ν )的伯德图如图8-33中虚线所示。由图可得,校正前系统的相位裕度为30 ° ,幅值裕度为14.5dB,相位裕度不满足要求。
根据性能指标要求,采用超前校正装置,其传递函数为
取超前校正装置提供的最大超前相角
φ
m
为:要求的相位裕度-原系统的相位裕度+(5
°
~12
°
),为28
°
,则由sin
φ
m
=(1-
α
)/(1+
α
)得到
α
=0.361。设校正后系统的幅值穿越频率
ν
c
与校正装置产生最大超前相角的频率
相等,于是有
即
解得
ν
c
=1.7。令
,可以得到
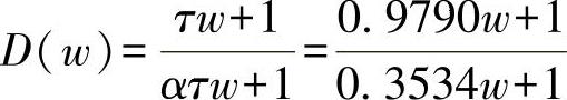
τ
=0.9790,
ατ
=0.3534,则超前校正装置的传递函数为
校正后系统的开环传递函数为
绘制校正后 D (j ν ) G (j ν )的伯德图如图8-33中的实线所示。由图可得,校正后系统的相位裕度为50 ° ,幅值裕度为14dB,满足性能指标要求。
经双线性变换将控制器的 w 域传递函数 D ( w )变换为脉冲传递函数 D ( z ),即
校正后系统的开环脉冲传递函数为
图8-33 例8-25离散控制系统伯德图
校正后系统的闭环脉冲传递函数为
相应的单位阶跃响应序列如图8-34所示。单位阶跃响应曲线表明,超调量约为20%,调节时间约为4s。可见,在正弦振荡每个周期内的采样次数约为15,这表明采样频率 ω s 是阻尼振荡频率 ω d 的15倍。因此,采样周期 T =0.2s的选择是满意的,综合校正的结果是可行的。
图8-34 例8-25系统的单位阶跃响应
直接数字设计法是根据被控对象的脉冲传递函数,按离散控制系统理论在 z 域通过解析方法直接求得数字控制器的脉冲传递函数,以满足离散控制系统给定性能指标的要求。
1.数字控制器的脉冲传递函数
设离散控制系统如图8-35所示。图中, D ( z )为数字控制器(数字校正装置)的脉冲传递函数, G p ( s )为被控对象的传递函数, G h ( s )为零阶保持器的传递函数。令被控对象与零阶保持器的脉冲传递函数为
图8-35 闭环离散系统
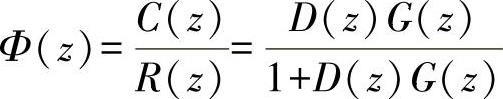
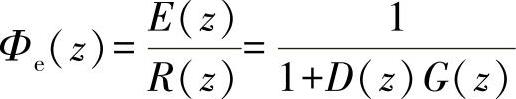
可以求得离散控制系统的闭环脉冲传递函数为
系统的误差脉冲传递函数为
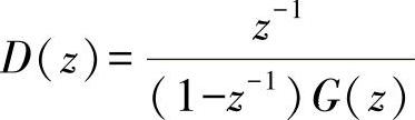
于是,得到数字控制器的脉冲传递函数为
或
显然,存在
由以上讨论可知,离散控制系统数字控制器的直接数字设计法的思想是:根据对离散系统性能指标的要求,确定闭环脉冲传递函数 Φ ( z )或误差脉冲传递函数 Φ e ( z ),然后利用式(8-64)或式(8-65)确定数字控制器的脉冲传递函数 D ( z ),并加以实现。
2.最少拍控制系统的设计
在采样过程中,称一个采样周期为一拍。所谓最少拍控制系统,是指在典型输入作用下,能在有限拍内结束系统响应的过渡过程,且在采样时刻上无稳态误差的离散控制系统。这种系统可实现对典型给定输入信号的完全跟踪,因此又称为无稳态误差最少拍控制系统。
最少拍控制系统的设计原则是:若系统广义被控对象 G ( z )无延迟且在 z 平面单位圆上及单位圆外无零、极点,要求选择闭环脉冲传递函数 Φ ( z )或误差脉冲传递函数 Φ e ( z ),使系统在典型输入作用下,经最少采样周期后能使输出序列在各采样时刻的稳态误差为零,达到完全跟踪的目的,从而确定所需要的数字控制器的脉冲传递函数 D ( z )。
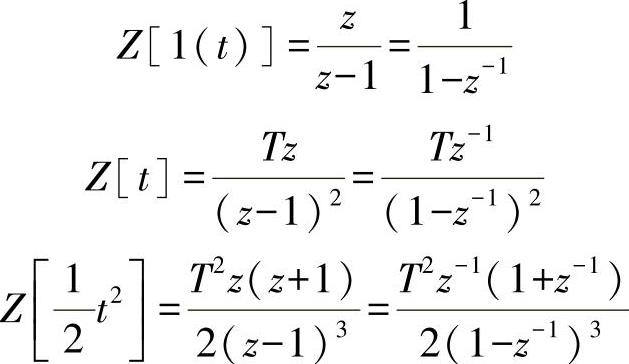
最少拍控制系统的设计,是针对典型输入作用进行的。常见的典型输入,有单位阶跃函数、单位速度函数和单位加速度函数,其 z 变换分别为
因此,典型输入函数的 z 变换可以表示为如下的一般形式
式中, A ( z )是不含(1- z -1 )因子的 z -1 的有限项多项式;当 r ( t )=1( t )时, N =1, A ( z )=1;当 r ( t )= t 时, N =2, A ( z )= Tz -1 ;当 r ( t )= t 2 /2时, N =3, A ( z )= T 2 ( z -1 + z -2 )/2。
误差信号 e ( t )的 z 变换为
根据 z 变换的终值定理,离散系统的稳态误差为
上式表明,为了使 e ss 为零, Φ e ( z )中应包含有(1- z -1 ) N 的因子。选取
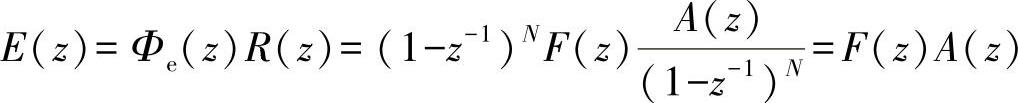
式中, F ( z )是不含(1- z -1 )因子的 z -1 的有限项多项式。于是,可得 E ( z )的表达式为
F ( z )、 A ( z )都是 z -1 的有限项多项式,由 z 反变换可知系统的过渡过程经过有限个采样周期就结束,而且稳态误差为零。
为了使求出的 D ( z )简单,阶数最低,可取 F ( z )=1,则有
此时,系统的闭环脉冲传递函数的全部极点均位于 z 平面的原点。
下面分别讨论最少拍控制系统在不同典型输入作用下,数字控制器脉冲传递函数 D ( z )的确定方法。
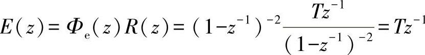
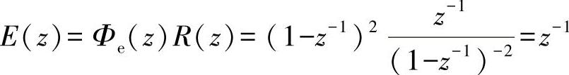
(1)单位阶跃输入
由式(8-67)可知, N =1, A ( z )=1,故由式(8-69)和式(8-66)可得
根据式(8-65)求出
于是,有
上述结果表明, c (0)=0, c ( T )= c (2 T )=…=1; e (0)=1, e ( T )= e (2 T )=…=0。可见,最少拍系统经过一拍就可以完全跟踪给定输入信号 r ( t )=1( t ),一拍之后稳态误差为零,如图8-36所示。这样的离散系统称为一拍系统,其调节时间 t s = T 。
图8-36 最少拍系统的单位阶跃响应
(2)单位斜坡输入
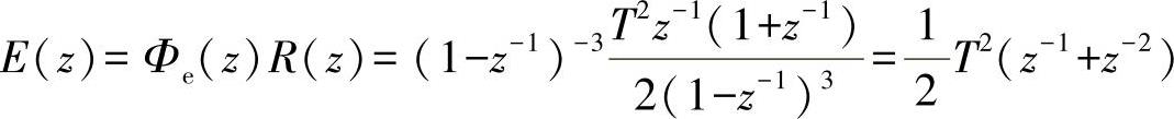
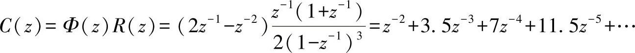
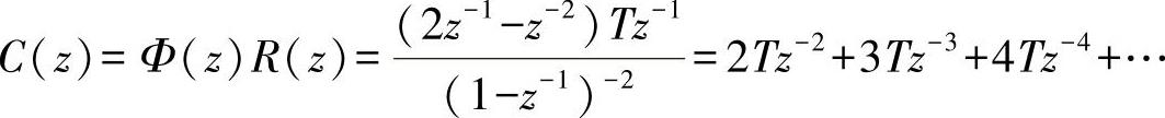
由式(8-67)可知, N =2, A ( z )= Tz -1 ,故由式(8-69)和式(8-66)可得
根据式(8-65)求出
于是,有
上述结果表明, c (0)= c ( T )=0, c (2 T )=2 T , c (3 T )=3 T ,…; e (0)=0, e ( T )= T , e (2 T )= e (3 T )=…=0。可见,最少拍系统经过二拍就可以完全跟踪给定输入信号 r ( t )= t ,二拍之后稳态误差为零,如图8-37所示。这样的离散系统称为二拍系统,其调节时间 t s =2 T 。
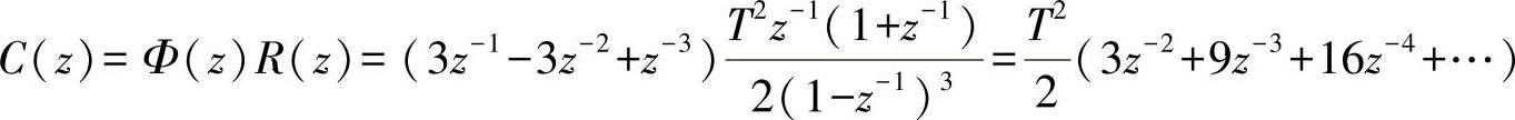
(3)单位加速度输入
由式(8-67)可知, N =3, A ( z )= T 2 ( z -1 + z -2 )/2,故由式(8-69)和式(8-66)可得
根据式(8-65)求出
于是,有
图8-37 最少拍系统的单位斜坡响应
上述结果表明, c (0)= c ( T )=0, c (2 T )=1.5 T 2 , c (3 T )=4.5 T 2 , c (4 T )=8 T 2 ,…; e (0)=0, e ( T )= e (2 T )=0.5 T 2 , e (3 T )= e (4 T )=…=0。可见,最少拍系统经过三拍就可以完全跟踪给定输入信号 r ( t )= t 2 /2,三拍之后稳态误差为零,如图8-38所示。这样的离散系统称为三拍系统,其调节时间 t s =3 T 。
各种典型输入作用下最少拍系统的 Φ ( z )、 Φ e ( z )及 t s 列于表8-7中。
例8-26
设离散控制系统如图8-35所示,采样周期
T
=1s。被控对象和零阶保持器的传递函数分别为
,
当输入信号 r ( t )= t 时,试求数字控制器的脉冲传递函数 D ( z ),使系统为最少拍控制系统。
图8-38 最少拍系统的单位加速度响应
表8-7 最少拍控制系统的 Φ ( z )、 Φ e ( z )及 t s
解: 系统广义对象的脉冲传递函数为
代入 T =1s,则得
由表8-7查出 r ( t )= t 时最少拍系统应具有的闭环脉冲传递函数和误差脉冲传递函数为
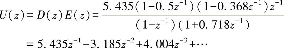
由式(8-65)可知, Φ e ( z )的零点 z =1正好可以补偿 G ( z )在单位圆上的极点 z =1;而 Φ ( z )已包含 G ( z )的传递函数延迟 z -1 。因此,上述 Φ ( z )和 Φ e ( z )满足对消 G ( z )中的传递延迟 z -1 及补偿 G ( z )在单位圆上极点 z =1的限制性要求,故按式(8-65)算出的 D ( z ),可以确保设计出的系统成为在 r ( t )= t 作用下为最少拍系统。根据给定的 G ( z )和查表选取的 Φ e ( z ),求得数字控制器的脉冲传递函数为
当系统的给定输入信号分别为 r ( t )=1( t )、 r ( t )= t 和 r ( t )= t 2 /2时,系统输出信号的 z 变换依次为
对应的输出响应如图8-39的虚线所示,图中的虚线表示输入函数的曲线。
图8-39 例8-26最少拍系统的单位斜坡响应
比较各种典型输入下的给定输入信号与输出响应可以发现,它们都是仅在前二拍出现差异,从第三拍起实现完全跟踪,因此均为二拍系统,其调节时间 t s =2 T 。可以说,最少拍控制系统的调节时间,只与所选择的闭环脉冲传递函数 Φ ( z )的形式有关,而与典型输入信号的形式无关。
由本例可以看出,以下几点结论成立。
1)从快速性而言,按单位斜坡给定输入设计的最少拍系统,在各种典型给定输入作用下,其动态过程均为二拍。
2)从准确性而言,系统对单位阶跃输入和单位斜坡输入,在采样时刻均无稳态误差,但对单位加速度输入,在采样时刻的稳态误差为常量 T 2 。
3)从动态响应而言,系统对单位斜坡输入下的响应性能较好,这是因为系统本身就是针对单位斜坡输入设计的。但系统对单位阶跃输入响应性能较差,有100%的超调量。故按某种典型输入设计的最少拍系统,适应性较差。
4)从平稳性而言,在各种典型输入作用下系统进入稳态以后,在非采样时刻一般均存在纹波,从而增加系统的机械磨损,故上述最少拍系统的设计方法,只有理论意义,并不实用。
3.最少拍无波纹系统的设计
按最少拍控制系统设计出来的闭环系统,在有限拍后进入稳定状态。此时闭环系统的输出在采样时刻精确地跟踪给定输入信号。但是,在两个采样时刻之间,系统的输出可能存在振荡或波纹。这种波纹不仅影响系统的控制性能,产生过大的超调量和持续振荡,而且还增加了系统的功率损耗和机械磨损,这在工程上是不容许的,故希望设计无纹波最少拍系统。
分析最少拍控制系统在采样时刻之间存在波纹的原因可知,系统在给定输入作用下经过有限个采样周期之后,数字控制器的输入信号即误差信号e * ( t )在采样时刻为零,但是数字控制器的输出信号 u * ( t )并未达到稳态,仍然围绕平均值上下波动,从而导致系统的输出在采样时刻之间产生波纹。
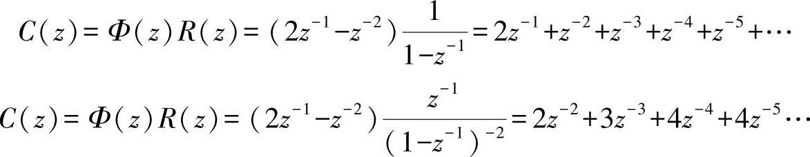
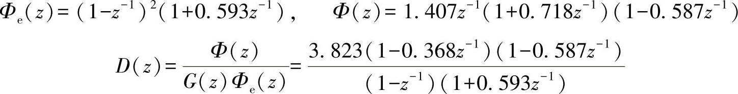
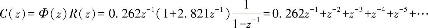
在例8-26中,当单位斜坡输入信号作用于已设计好的最少拍控制系统时,根据已确定的 Φ e ( z ),可以求得误差信号的 z 变换为
数字控制器输出信号 u * ( t )的 z 变换为
误差信号e * ( t )、数字控制器输出信号对应的脉冲序列和系统的输出信号如图8-4O所示O图8-4Oa表明,e * ( t )只在第一拍上存在一个误差脉冲,第二拍之后在采样时刻的稳态误差为零。由图8-4Ob可见, u * ( t )一直在波动。 u * ( t )的波动引起零阶保持器的输出产生波动,导致系统的输出在采样时刻之间产生波纹,如图8-4Oc所示。
图8-4O 例8-26最少拍系统的各点波形
a)误差信号 b)控制信号 c)输出信号
无纹波最少拍控制系统的设计要求是:在某一种典型给定输入作用下设计的系统,其输出响应经过尽可能少的采样周期之后,不仅能够在采样时刻上输出可以完全跟踪输入,实现无稳态误差,而且在采样时刻之间不存在纹波。
为了使系统无稳态误差无纹波地跟踪给定输入信号,被控对象 G p ( s )必须有能力实现无稳态误差地跟踪,这就要求系统在型别上满足跟踪的要求。若针对单位斜坡输入 r ( t )= t 设计最少拍系统,则 G p ( s )必须至少有一个积分环节,使得在零阶保持器的常值输出信号作用下, G p ( s )的稳态输出等速变化;同理,若针对单位加速度输入 r ( t )= t 2 /2设计最少拍系统,则 G p ( s )至少应包含两个积分环节。在以下的讨论中,我们总是假定这一最少拍无波纹系统设计的必要条件是成立的。
根据最少拍控制系统产生波纹的原因,欲使最少拍控制系统的输出无波纹,需要使数字控制器的输出信号 u * ( t )在给定输入作用下,经过有限个采样周期后达到稳态。因此,最少拍无波纹控制系统不仅要求闭环脉冲传递函数 Φ ( z )是 z -1 的有限项多项式,而且要求数字控制器输出信号 u * ( t )的 z 变换 U ( z )也为 z -1 的有限项多项式。由图8-35可知,
由式(8-65)和式(8-66)有
其中, P ( z )为 G ( z )的分子多项式; Q ( z )为 G ( z )的分母多项式。表8-7表明,进行最少拍系统设计时, Φ e ( z )的零点可以完全对消 R ( z )的极点。因此,式(8-70)表明,只要 D ( z ) Φ e ( z )为 z -1 的有限项多项式, U ( z )就是 z -1 的有限项多项式。在式(8-71)中, Q ( z )为 z -1 的有限项多项式,所以 D ( z ) Φ e ( z )成为 z -1 的有限项多项式的条件就是 Φ ( z ) /P ( z )为 z -1 的有限项多项式,也就是说,所设计的最少拍无波纹控制系统闭环脉冲传递函数 Φ ( z )的零点应包含系统广义对象脉冲传递函数 G ( z )的全部零点,即应有
式中, M ( z )为待定的 z -1 多项式,可根据其他条件确定。
因此,最少拍无波纹控制系统的设计方法,除应增加式(8-72)的附加条件外,其余和最少拍系统设计方法相同,也是针对具体典型输入形式设计的。
例8-27 在例8-26的离散控制系统中,如果要求在单位斜坡给定输入作用下设计最少拍无波纹控制系统,试求数字控制器的脉冲传递函数 D ( z )。
解: 在例8-26中,已经求出系统广义对象的脉冲传递函数为
当 r ( t )= t 时,由表8-7查出最少拍系统应具有的闭环脉冲传递函数和误差脉冲传递函数为
进行最少拍系统设计时,要求 Φ e ( z )的零点可以完全对消 R ( z )= z -1 /(1- z -1 )-2的极点,且 Φ e ( z )的零点 z =1正好可以补偿 G ( z )在单位圆上的极点 z =1,而 Φ ( z )已包含 G ( z )的传递函数延迟 z -1 ,满足最少拍系统设计的限制性要求。为使系统的输出无波纹,要求 Φ ( z )的零点应包含 G ( z )的全部零点,故选取
根据 Φ e ( z )=1- Φ ( z ),可得
解得
于是,可以求得
数字控制器输出信号 u * ( t )的 z 变换为
因此, u * ( t )的脉冲序列为 u (0)=0, u (1)=3.823, u (2)=0.172, u (3)= u (4)=…=0.998。数字控制器的输出信号 u * ( t )从第三拍起达到稳态,系统的输出无波纹。可以画出误差信号 e * ( t )、控制信号 u * ( t )和系统输出信号 c * ( t )的响应如图8-41所示。
图8-41 例8-27最少拍无波纹系统的各点波形
a)误差信号 b)控制信号 c)输出信号
图8-41的计算及绘制程序:prog82.m
clear;clc
sim('fig841',5)
numv=[2-1];denv=[100];numv1=[1];denv1=[1-1];
numv=conv(numv,numv1);denv=conv(denv,dens1);
y=dstep(numv,denv,6);t=0:length(y)-1;
subplot(1,3,1);plot(yv1(:,3),yv1(:,1),'bo');
subplot(1,3,2);plot(yv1(:,3),yv1(:,2),'bo');
hold on;plot(yv2(:,1),yv2(:,2),'r-');hold off
subplot(1,3,3);plot(t,y,'bo');hold on;plot(tout,yv(:,1),tout,yv(:,2));hold off
SIMULINK仿真模型fig841.mdl如图8-42所示。在仿真模型中,设置离散零极点模型、零阶保持器以及变量yv1的采样时间为1s,其他模块的采样时间和仿真时间相同。
图8-42 例8-27最少拍无波纹系统的SIMULINK仿真模型
4.可物理实现的数字控制器设计
在上面的讨论中,没有讨论系统广义被控对象 G ( z )的稳定性。实际上,若 G ( z )的零极点均在 z 平面的单位圆内部,则由式(8-64)或式(8-65)确定的数字控制器 D ( z )就一定是稳定的。若 G ( z )含有 z 平面不在单位圆内部的零极点,则所确定的 D ( z )就含有这些零极点。从理论上说可以相互抵消,但实际上 G ( z )的不稳定零极点靠数字控制器来抵消是不允许的,这是由于不可避免的参数变化等原因而可能出现不能完全抵消的情况,况且 D ( z )中的不稳定极点会引起控制器的不稳定。因此,当 G ( z )含有不稳定的零极点时,由式(8-65)
可知,对 G ( z )的不稳定零点可以由 Φ ( z )的零点去对消,对 G ( z )的不稳定极点可以由 Φ e ( z )的零点去对消,这就可以避免在 D ( z )中存在这些不稳定零极点。另外,当 G ( z )含有延迟因子 z -1 时,会使 D ( z )中出现超前因子 z ,这在物理上是无法实现的,要求 Φ ( z )也含有延迟因子 z -1 进行补偿。
设系统广义对象的脉冲传递函数为
式中, z i ( i =1,2,…, r )为单位圆上或单位圆外的零点; p j ( j =1,2,…, l )为单位圆上或单位圆外的极点; z - q 表示 G ( z )中含有的延迟因子; G 1 ( z )为只含有单位圆内零极点的 z -1 多项式的有理分式。
最少拍或最少拍无波纹控制系统的数字控制器设计步骤如下:
1)对于最少拍控制系统,选择 Φ ( z )为
对于最少拍无波纹控制系统,选择 Φ ( z )为
式中, P ( z )为 G ( z )以 z -1 形式表示的分子多项式; M ( z )= b 0 + b 1 z -1 + b 2 z -2 +…为不含 z i ( i =1,2,…, r )和延迟因子 z -1 的待定的 z -1 多项式。
2)选择 Φ e ( z )为
式中, N 为按式(8-67)确定的输入信号的阶数和 G ( z )含有 z =1的极点个数中的较大者; F ( z )=1+ a 1 z -1 + a 2 z -2 +…为不含 p j ( j =1,2,…, l )的待定的 z -1 多项式。
按照性能指标要求,合适地选取 M ( z )和 F ( z )的阶,根据式(8-66)的关系式可解得 M ( z )和 F ( z )的待定系数。按式(8-65)确定数字控制器 D ( z )的脉冲传递函数,当 D ( z )的分母多项式的阶次大于或等于其分子多项式的阶次时,所设计的数字控制器 D ( z )是可以物理实现的。
例8-28 设离散控制系统如图8-43所示,采样周期 T =0.1s。
图8-43 闭环离散系统
1)当给定输入信号为 r ( t )=1( t )时,试设计 D ( z ),使系统为最少拍控制系统。
2)当给定输入信号为 r ( t )=1( t )时,试设计 D ( z ),使系统为最少拍无波纹控制系统。
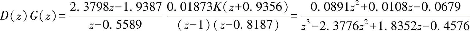
解: 系统广义对象的脉冲传递函数为
由上式可知, G ( z )中含有一个单位圆外的零点 z =-2.821,一个单位圆上的极点 z =1。
1)最少拍控制系统的设计。按式(8-74)和式(8-76)选择 Φ ( z )和 Φ e ( z ):
根据 Φ e ( z )=1- Φ ( z ),可得
解得
于是,可以求得
,
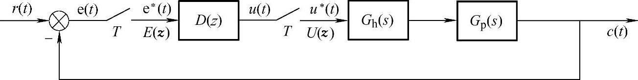
当系统的给定输入信号为 r ( t )=1( t )时,系统输出信号的 z 变换为
2)最少拍无波纹控制系统的设计。按式(8-75)和式(8-76)选择 Φ ( z )和 Φ e ( z ):
根据 Φ e ( z )=1- Φ ( z ),可得
解得
于是,可以求得
当系统的给定输入信号为 r ( t )=1( t )时,系统输出信号的 z 变换为
设计得到的最少拍控制系统和最少拍无波纹控制系统如图8-44a、b所示,图中实线表示被控对象的输出,小圆圈表示采样时刻的值。在图8-44a中,经过两个采样周期,实现在采样时刻无稳态误差,但在采样时刻之间有波纹存在。在图8-44b中,经过三个采样周期,实现了在采样时刻无稳态误差,且在采样时刻之间无波纹存在。
图8-44 例8-28系统的单位阶跃响应