



前面大部分内容已分析声波的基本性质,对于两列以至多列声波同时存在时的合成声场具有些什么性质,还尚未涉及,本节就来讨论这个问题。这里暂不涉及声源情况,而假定各声源同时存在时各自辐射的声波声压分别为 p 1 , p 2 ,…, p n ,讨论由这些声波合成的声场所具有的性质。
描述小振幅声波传播规律的波动方程式(3-3)及式(3-14),从数学上讲是线性方程,这就反映了小振幅声波满足叠加原理。我们先以两列波的叠加为例,然后再推广到多列波的情况。设有两列声波,它们的声压分别为 p 1 和 p 2 ,其合成声场的声压设为 p 。因为在导出声波方程式(3-3)时只是应用了介质的基本特性,所以现在的两列波合成声场也一定满足波动方程,即
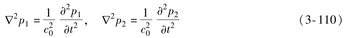
另一方面,声压 p 1 及 p 2 应分别满足波动方程,即
将式(3-110)中两式相加,由于每个方程都是线性的,所以得到
比较式(3-109)及式(3-111),并考虑声学边界条件也是线性的,所以得到
这就是说,两列声波合成声场的声压等于每列声波的声压之和,这就是声波的叠加原理。显然,此结论可以推广到多列声波同时存在的情况。
先讨论一个特殊情况,即由两列同频率但以相反方向行进的平面波叠加的合成声场。我们知道,两列沿相反方向行进的平面波可分别表示为
根据叠加原理,合成声场的声压为
可见合成声场由两部分组成:第一项代表一种驻波场,各位置的质点都做同相位振动,但振动幅度大小却随位置而异,当
kx
=
n
π,即
x
=
(
n
=1,2,…)时,声压振幅最大,称为声压波腹,而当
kx
=(2
n
-1)
,即
x
=(2
n
-1)
(
n
=1,2,…)时,声压振幅为零,称为声压波节;第二项代表向
x
方向行进的平面行波,其振幅为原先两列波的振幅之差。
从上面简单的分析得出一个重要的规律:如果存在沿相反方向行进的波的叠加,例如在房间中入射波与墙壁产生的反射波相叠加,则空间中合成声压的振幅将随位置出现极大和极小的变化,这样就破坏了平面自由声场的性质。如果反射波越强, p rA 越大,则第一项比第二项的作用更大,即自由声场的条件越不成立。特别是如果反射波的振幅等于入射波的振幅(全反射), p rA = p iA ,则式(3-114)第二项为零,只剩下第一项,这时的合成声场就是一个纯粹的“驻波”,亦称定波。
现在讨论两列具有相同频率、固定相位的声波的叠加,这时会发生干涉现象。
设到达空间某位置的两列波分别为
并设两列声波到达该位置时的相位差 Ψ = φ 2 -φ 1 不随时间变化,也就是说两列声波始终以一定的相位差到达该处。由叠加原理,合成声场的声压为
式中
式(3-116)及式(3-117)说明,该位置上合成声压仍是一个相同频率的声振动,但合成声压的振幅并不等于两列声波声压的振幅之和,而是与两列声波之间的相位差 Ψ 有关。
我们知道,声压振幅的二次方反映了声场中平均能量密度的大小,而它们的关系可由式(3-58)描述。因此将式(3-117)两边对时间取平均可得合成声压的平均声能密度为
式中,
及
分别为
p
1
及
p
1
的平均声能密度。
式(3-118)说明声场中各位置的平均声能密度与两列声波到达该位置时的相位差 Ψ 有关。
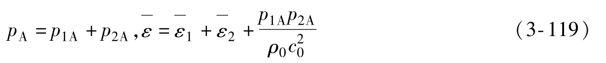
如果在某些位置上有 Ψ =0,±2π,±4π,…,则意味着两列声波始终以相同的相位到达,则
如果在另一些位置上有 Ψ =±π,±3π,…,这意味着两列声波始终以相反相位到达,则
式(3-119)及式(3-120)说明,在两列同频率、具有固定相位差的声波叠加后的合成声场中,任一位置上的平均能量密度并不简单等于两列声波的平均声能密度之和,而是与两列声波到达该位置时的相位差有关。特别在某些位置上,声波加强,合成声压幅值为两列声波幅值之和,平均声能密度为两列声波平均声能密度之和还要加上一个增量
。如果
p
1A
=
p
2A
,那么在这些位置上,合成声压幅值为每列声压幅值的2倍,平均声能密度为每列声波平均声能密度的4倍;而在另一些位置上,声波互相抵消,合成声压幅值为两列声波幅值之差,平均能量密度比两列声波平均能量密度之和要差一个数值
,如果
p
1A
=
p
2A
,那么在这些位置上,其平均声能密度为零,这就是声波的干涉现象。这种具有相同频率、固定相位差的声波称为相干涉。
如果两列声波的频率不同,那么即使具有固定的相位差,也不会发生干涉现象。例如,设到达声场中某位置的两列声波分别为
从式(3-121)可得合成声场的平均声能密度为
式中,第三项横线代表对时间取平均。可以证明,对于足够长的时间,该项结果为零。所以式(3-122)为
可见,具有不同频率的声波是不相干的波。


