



本章概要
1.分类决策树模型是表示基于特征对实例进行分类的树形结构。决策树可以转换成一个if-then规则的集合,也可以看作是定义在特征空间划分上的类的条件概率分布。
2.决策树学习旨在构建一个与训练数据拟合很好,并且复杂度小的决策树。因为从可能的决策树中直接选取最优决策树是NP完全问题。现实中采用启发式方法学习次优的决策树。
决策树学习算法包括3部分:特征选择、树的生成和树的剪枝。常用的算法有ID3、C4.5和CART。
3.特征选择的目的在于选取对训练数据能够分类的特征。特征选择的关键是其准则。常用的准则如下:
(1)样本集合 D 对特征 A 的信息增益(ID3)
其中, H ( D )是数据集 D 的熵, H ( D i )是数据集 D i 的熵, H ( D | A )是数据集 D 对特征 A 的条件熵。 D i 是 D 中特征 A 取第 i 个值的样本子集, C k 是 D 中属于第 k 类的样本子集。 n 是特征 A 取值的个数, K 是类的个数。
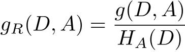
(2)样本集合 D 对特征 A 的信息增益比(C4.5)
其中, g ( D , A )是信息增益, H A ( D )是 D 关于特征 A 的值的熵。
(3)样本集合 D 的基尼指数(CART)
特征 A 条件下集合 D 的基尼指数:
4.决策树的生成。通常使用信息增益最大、信息增益比最大或基尼指数最小作为特征选择的准则。决策树的生成往往通过计算信息增益或其他指标,从根结点开始,递归地产生决策树。这相当于用信息增益或其他准则不断地选取局部最优的特征,或将训练集分割为能够基本正确分类的子集。
5.决策树的剪枝。由于生成的决策树存在过拟合问题,需要对它进行剪枝,以简化学到的决策树。决策树的剪枝,往往从已生成的树上剪掉一些叶结点或叶结点以上的子树,并将其父结点或根结点作为新的叶结点,从而简化生成的决策树。