



5.2 特征选择
特征选择在于选取对训练数据具有分类能力的特征。这样可以提高决策树学习的效率。如果利用一个特征进行分类的结果与随机分类的结果没有很大差别,则称这个特征是没有分类能力的。经验上扔掉这样的特征对决策树学习的精度影响不大。通常特征选择的准则是信息增益或信息增益比。
首先通过一个例子来说明特征选择问题。
例5.1
表5.1是一个由15个样本组成的贷款申请训练数据。数据包括贷款申请人的4个特征(属性):第1个特征是年龄,有3个可能值:青年,中年,老年;第2个特征是有工作,有2个可能值:是,否;第3个特征是有自己的房子,有2个可能值:是,否;第4个特征是信贷情况,有3个可能值:非常好,好,一般。表的最后一列是类别,是否同意贷款,取2个值:是,否。
表5.1 贷款申请样本数据表
希望通过所给的训练数据学习一个贷款申请的决策树,用以对未来的贷款申请进行分类,即当新的客户提出贷款申请时,根据申请人的特征利用决策树决定是否批准贷款申请。
特征选择是决定用哪个特征来划分特征空间。
图5.3表示从表5.1数据学习到的两个可能的决策树,分别由两个不同特征的根结点构成。图5.3(a)所示的根结点的特征是年龄,有3个取值,对应于不同的取值有不同的子结点。图5.3(b)所示的根结点的特征是有工作,有2个取值,对应于不同的取值有不同的子结点。两个决策树都可以从此延续下去。问题是:究竟选择哪个特征更好些?这就要求确定选择特征的准则。直观上,如果一个特征具有更好的分类能力,或者说,按照这一特征将训练数据集分割成子集,使得各个子集在当前条件下有最好的分类,那么就更应该选择这个特征。信息增益(information gain)就能够很好地表示这一直观的准则。
图5.3 不同特征决定的不同决策树
为了便于说明,先给出熵与条件熵的定义。
在信息论与概率统计中,熵(entropy)是表示随机变量不确定性的度量。设 X 是一个取有限个值的离散随机变量,其概率分布为
则随机变量 X 的熵定义为
在式(5.1)中,若 p i =0,则定义0log0=0。通常,式(5.1)中的对数以2为底或以e为底(自然对数),这时熵的单位分别称作比特(bit)或纳特(nat)。由定义可知,熵只依赖于 X 的分布,而与 X 的取值无关,所以也可将 X 的熵记作 H ( p ),即
熵越大,随机变量的不确定性就越大。从定义可验证
当随机变量只取两个值,例如1,0时,即 X 的分布为
熵为
这时,熵 H ( p )随概率 p 变化的曲线如图5.4所示(单位为比特)。
图5.4 分布为伯努利分布时熵与概率的关系
当 p =0或 p =1时 H ( p )=0,随机变量完全没有不确定性。当 p =0.5时, H ( p )=1,熵取值最大,随机变量不确定性最大。
设有随机变量( X , Y ),其联合概率分布为
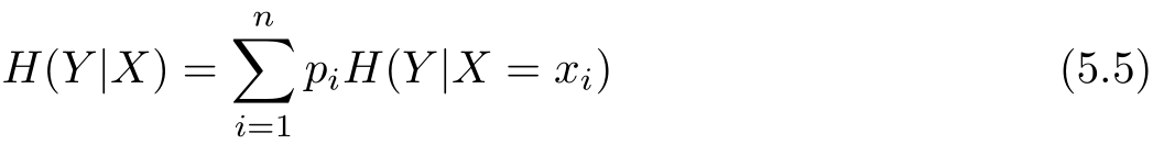
条件熵 H ( Y | X )表示在已知随机变量 X 的条件下随机变量 Y 的不确定性。随机变量 X 给定的条件下随机变量 Y 的条件熵(conditional entropy) H ( Y | X ),定义为 X 给定条件下 Y 的条件概率分布的熵对 X 的数学期望
这里, p i = P ( X = x i ), i =1,2,…, n 。
当熵和条件熵中的概率由数据估计(特别是极大似然估计)得到时,所对应的熵与条件熵分别称为经验熵(empirical entropy)和经验条件熵(empirical conditional entropy)。此时,如果有0概率,令0log0=0。
信息增益(information gain)表示得知特征 X 的信息而使得类 Y 的信息的不确定性减少的程度。
定义5.2(信息增益) 特征 A 对训练数据集 D 的信息增益 g ( D , A ),定义为集合 D 的经验熵 H ( D )与特征 A 给定条件下 D 的经验条件熵 H ( D | A )之差,即
一般地,熵 H ( Y )与条件熵 H ( Y | X )之差称为互信息(mutual information)。决策树学习中的信息增益等价于训练数据集中类与特征的互信息。
决策树学习应用信息增益准则选择特征。给定训练数据集 D 和特征 A ,经验熵 H ( D )表示对数据集 D 进行分类的不确定性。而经验条件熵 H ( D | A )表示在特征 A 给定的条件下对数据集 D 进行分类的不确定性。那么它们的差,即信息增益,就表示由于特征 A 而使得对数据集 D 的分类的不确定性减少的程度。显然,对于数据集 D 而言,信息增益依赖于特征,不同的特征往往具有不同的信息增益。信息增益大的特征具有更强的分类能力。
根据信息增益准则的特征选择方法是:对训练数据集(或子集) D ,计算其每个特征的信息增益,并比较它们的大小,选择信息增益最大的特征。
设训练数据集为
D
,|
D
|表示其样本容量,即样本个数。设有
K
个类
C
k
,
k
=
1,2,…,
K
,|
C
k
|为属于类
C
k
的样本个数。设特征
A
有
n
个不同的取值{
a
1
,
a
2
,…,
a
n
}
,根据特征
A
的取值将
D
划分为
n
个子集
D
1
,
D
2
,…,
D
n
,|
D
i
|为
D
i
的样本个数。记子集
D
i
中属于类
C
k
的样本的集合为
D
ik
,即
D
ik
=
D
i
∩
C
k
,|
D
ik
|为
D
ik
的样本个数。于是信息增益的算法如下。
算法5.1(信息增益的算法)
输入:训练数据集 D 和特征 A ;
输出:特征 A 对训练数据集 D 的信息增益 g ( D , A )。
(1)计算数据集 D 的经验熵 H ( D )
(2)计算特征 A 对数据集 D 的经验条件熵 H ( D | A )
(3)计算信息增益
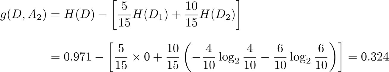
例5.2 对表5.1所给的训练数据集 D ,根据信息增益准则选择最优特征。
解 首先计算经验熵 H ( D )。
然后计算各特征对数据集 D 的信息增益。分别以 A 1 , A 2 , A 3 , A 4 表示年龄、有工作、有自己的房子和信贷情况4个特征,则
(1)
这里 D 1 , D 2 , D 3 分别是 D 中 A 1 (年龄)取值为青年、中年和老年的样本子集。类似地,
(2)
(3)
(4)
最后,比较各特征的信息增益值。由于特征 A 3 (有自己的房子)的信息增益值最大,所以选择特征 A 3 作为最优特征。
以信息增益作为划分训练数据集的特征,存在偏向于选择取值较多的特征的问题。使用信息增益比(information gain ratio)可以对这一问题进行校正。这是特征选择的另一准则。
定义5.3(信息增益比) 特征 A 对训练数据集 D 的信息增益比 g R ( D , A )定义为其信息增益 g ( D , A )与训练数据集 D 关于特征 A 的值的熵 H A ( D )之比,即
其中,
,
n
是特征
A
取值的个数。