



本章概要
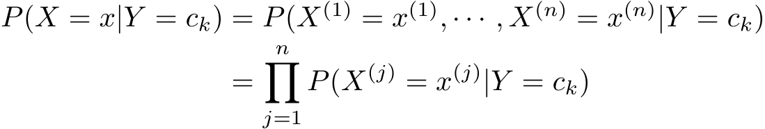
1.朴素贝叶斯法是典型的生成学习方法。生成方法由训练数据学习联合概率分布 P ( X , Y ),然后求得后验概率分布 P ( Y | X )。具体来说,利用训练数据学习 P ( X | Y )和 P ( Y )的估计,得到联合概率分布:
概率估计方法可以是极大似然估计或贝叶斯估计。
2.朴素贝叶斯法的基本假设是条件独立性,
这是一个较强的假设。由于这一假设,模型包含的条件概率的数量大为减少,朴素贝叶斯法的学习与预测大为简化。因而朴素贝叶斯法高效,且易于实现。其缺点是分类的性能不一定很高。
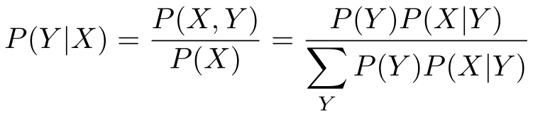
3.朴素贝叶斯法利用贝叶斯定理与学到的联合概率模型进行分类预测。
将输入 x 分到后验概率最大的类 y 。
后验概率最大等价于0-1损失函数时的期望风险最小化。