



1.5 正则化与交叉验证
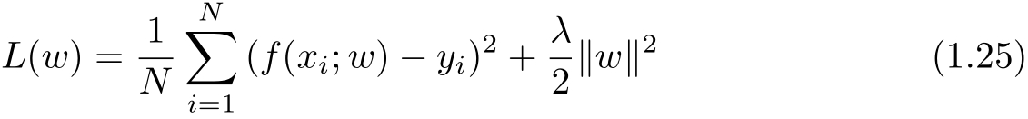
模型选择的典型方法是正则化(regularization)。正则化是结构风险最小化策略的实现,是在经验风险上加一个正则化项(regularizer)或罚项(penalty term)。正则化项一般是模型复杂度的单调递增函数,模型越复杂,正则化值就越大。比如,正则化项可以是模型参数向量的范数。
正则化一般具有如下形式:
其中,第1项是经验风险,第2项是正则化项, λ ≥0为调整两者之间关系的系数。
正则化项可以取不同的形式。例如,回归问题中,损失函数是平方损失,正则化项可以是参数向量的 L 2 范数:
这里,‖ w ‖表示参数向量 w 的 L 2 范数。
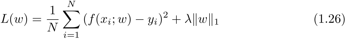
正则化项也可以是参数向量的 L 1 范数:
这里,‖ w ‖ 1 表示参数向量 w 的 L 1 范数。
第1项的经验风险较小的模型可能较复杂(有多个非零参数),这时第2项的模型复杂度会较大。正则化的作用是选择经验风险与模型复杂度同时较小的模型。
正则化符合奥卡姆剃刀(Occam’s razor)原理。奥卡姆剃刀原理应用于模型选择时变为以下想法:在所有可能选择的模型中,能够很好地解释已知数据并且十分简单才是最好的模型,也就是应该选择的模型。从贝叶斯估计的角度来看,正则化项对应于模型的先验概率。可以假设复杂的模型有较小的先验概率,简单的模型有较大的先验概率。
另一种常用的模型选择方法是交叉验证(cross validation)。
如果给定的样本数据充足,进行模型选择的一种简单方法是随机地将数据集切分成三部分,分别为训练集(training set)、验证集(validation set)和测试集(test set)。训练集用来训练模型,验证集用于模型的选择,而测试集用于最终对学习方法的评估。在学习到的不同复杂度的模型中,选择对验证集有最小预测误差的模型。由于验证集有足够多的数据,用它对模型进行选择也是有效的。
但是,在许多实际应用中数据是不充足的。为了选择好的模型,可以采用交叉验证方法。交叉验证的基本想法是重复地使用数据;把给定的数据进行切分,将切分的数据集组合为训练集与测试集,在此基础上反复地进行训练、测试以及模型选择。
简单交叉验证方法是:首先随机地将已给数据分为两部分,一部分作为训练集,另一部分作为测试集(例如,70%的数据为训练集,30%的数据为测试集);然后用训练集在各种条件下(例如,不同的参数个数)训练模型,从而得到不同的模型;在测试集上评价各个模型的测试误差,选出测试误差最小的模型。
应用最多的是 S 折交叉验证( S -fold cross validation),方法如下:首先随机地将已给数据切分为 S 个互不相交、大小相同的子集;然后利用 S −1个子集的数据训练模型,利用余下的子集测试模型;将这一过程对可能的 S 种选择重复进行;最后选出 S 次评测中平均测试误差最小的模型。
S 折交叉验证的特殊情形是 S = N ,称为留一交叉验证(leave-one-out cross validation),往往在数据缺乏的情况下使用。这里, N 是给定数据集的容量。