



几何布朗运动 (Geometric Brownian Motion, GBM)是一种连续时间情况下的随机过程,因为其中随机变量的对数遵循维纳过程(布朗运动),所以也被称为 指数布朗运动 (exponential Brownian motion)。
前面在介绍维纳过程时,讨论过用维纳过程对股票价格进行建模。而几何布朗运动被认为可以更精确地预测股价,因此是最为常用的描述股票价格的模型。著名的布莱克-舒尔斯(Black-Scholes)期权定价模型就是基于几何布朗运动进行推导的。
之所以几何布朗运动是描述股票价格变化的一种理想的模型,主要基于其下面几个特点。
但是,也需要注意几何布朗运动存在以下缺陷。
几何布朗运动的数学表达式非常简洁。如果一个随机过程 S t 满足如式(2-36)所示的 随机偏微分方程 (Stochastic Differential Equation, SDE),那么 S t 遵循几何布朗运动。
其中, W t 为维纳过程(布朗运动),等号右边第一项包含为常数的漂移率 µ ,反映了模型的确定性的走势;后面一项包含亦为常数的波动率 σ ,反映了模型中随机不确定性的部分。
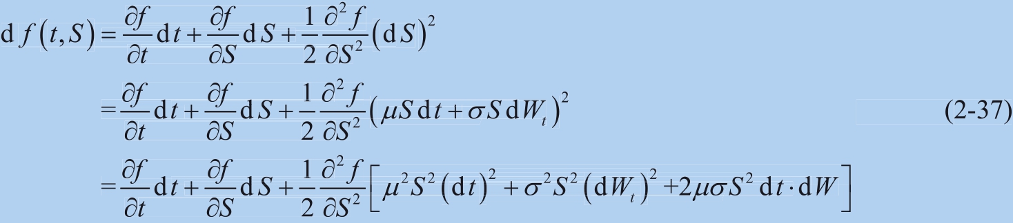
下面将详细介绍几何布朗运动 S 的求解。根据前面介绍过的伊藤引理,对于一个关于时间 t 和维纳过程 S 的函数 f ( t , S )进行微分,数学表达式为:
结合伊藤乘法表,可以获得下式。
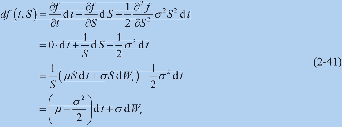
如果把 f ( t , S )用下式替换:
则有以下结论:
结合以上各项,可以推导如下:
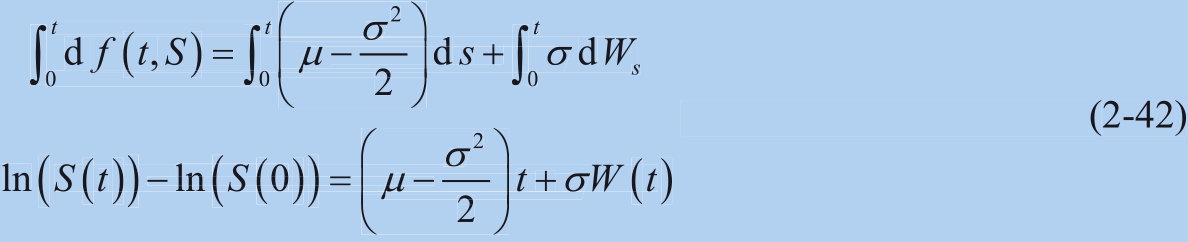
对式(2-41)左右两边从0到 t 积分可以得到:
其中, S (0)和 S ( t )为在时刻0和 t 时函数的值。因此,求解 S ( t )的值可以用下式表示。
可以进一步求解 S ( t )的期望和方差,其结果分别为:
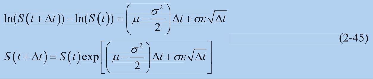
在实际的模拟中,往往需要用到 S ( t )的离散表达式,其形式如下式所示。
前面的推导用到了一些数学上的公式,在接下来的介绍中,会结合具体的例子,对几何布朗运动预测股票价格进行详细的讲解。
下面的代码首先从雅虎数据库中提取了从2010年9月1日到2020年9月30日十年之间苹果公司股票的收盘价格,然后对其进行了可视化,如图2-17所示。
图2-17 苹果公司股票历史数据(2010-09-01~2020-09-30)
从图2-17可以看到,苹果公司股票价格遵循一个“蜿蜒曲折”的路径,但是其整体趋势是在不断升高的,这反映了股票价格的长期走势,但是在短期上价格频繁地上下变化,反映了股票价格随机的波动性。
利用前面推导出的几何布朗运动的公式,建立模型,可以对股票价格进行预测。模型需要的参数如下所示。
在使用模型进行预测之前,首先要进行 模型校准 (model calibration),即从历史数据中分析得到模型的参数。这个模型中需要漂移常数和波动率两个参数。通过下面的代码,分析2010年9月1日到2020年9月30日苹果公司股票的历史数据,可以校准得到这两个参数的数值。
模型漂移常数和波动率。
在校准得到模型参数之后,利用刚才推导的公式,以漂移常数0.001,波动率0.018模拟了股票在一个月内的价格走势,并绘制了股价走势图2-18。
图2-18 几何布朗运动预测2020年10月苹果股票价格变化
如图2-18所示仅为一次模拟的结果,感兴趣的读者可以多次运行代码,可以发现,每次模拟结果都互不相同,这是由于模型中随机项的影响。因此在实际应用中,一般会利用蒙特卡罗方法进行模拟,本书第3章蒙特卡罗模拟会对此有详细介绍。
本章从随机变量谈起,首先引入随机过程的概念。接着,依次介绍了几个重要的随机过程—马尔可夫过程、马丁格尔、维纳过程、随机漫步以及几何布朗运动。这几个随机过程的重要性,体现在了它们在金融分析建模中的广泛应用。并且,这几个过程并不是孤立的,它们互相之间有着紧密的内在联系,比如维纳过程是具有连续时间和连续空间状态的马尔可夫过程,以及一维随机漫步也可以看作一个状态空间是整数的马尔可夫链等。另外,本章还介绍了著名的伊藤引理。伊藤引理以及伊藤微积分解决了随机过程进行微分和积分的难题,大大促进了现代金融数学的发展。本章最后,通过代码详细解释了一个用几何布朗运动模型预测股票价格的例子,这个示例秉承简洁明了的原则,主要目的是力求使读者对随机过程应用于实际有更加感性的认识。