



如前所述,随机过程是一系列随机变量的集合,而从函数角度看,它也是一个不可微分的函数。
比如2.5节中介绍的维纳过程,虽然它是连续的函数,然而却处处不可微分。如图2-14所示,每一条轨迹都呈现出随机的上下波动,与一般的连续函数平滑的轨迹完全不同。因此, 经典微积分 (classical calculus)对于这个问题束手无策,遇到了严重的瓶颈。直到日本数学家 伊藤清 (Itô Kiyoshi)提出了后来以其名字命名的 伊藤微积分 (Itô calculus),这个难题才最终得以解决,伊藤微积分大大促进了随机分析的进一步发展,奠定了现代金融数学的基础。
Kiyosi Itô(1915—2008)is one of the pioneers of probability theory, and the originator of Ito Calculus. First published in 1942 in Japanese, this epoch-making theory of stochastic differential equations describes nondeterministic and random evolutions.The so-called Ito formula has found applications in other branches of mathematics as well as in various other fields including, e.g., conformal field theory in physics,stochastic control theory in engineering, population genetics in biology, and most recently, mathematical finance in economics..(Sources: http://www.kurims.kyoto-u.ac.jp/~kenkyubu/past-director/ito/ito-kiyosi.html)
伊藤引理 (Itô's Lemma)是伊藤微积分对于一个随机过程的函数作微分的规则。下式是著名的 伊藤规则 (Itô rules)。
在几乎所有涉及随机微积分的计算当中,几乎都要用到伊藤规则。鉴于其重要性,下面在数学上对其进行推导。
对于(d t ) 2 =0的推导,其过程为:
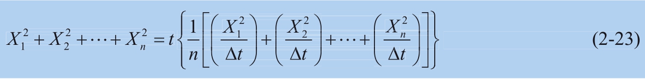
接下来,推导(d W t ) 2 =d t 。在推导过程中,把时间 t 分成长度为Δ t 的 n 份,因此有 t = n ∆ t ,其中 t 为固定值。
如果作如下定义。
则式(2-20)可以写为如下形式。
对式(2-22)括号中的部分做如下变换。
因为 t = n ∆ t 是固定的,所以当∆ t →0时, n →∞。所以式(2-23)大括号中的部分:
可看作 n 个独立的伽玛分布χ 2 (1)变量的平均。根据大数定理,可知随着 n 的增大,最终这个均值会收敛于数值1,如式(2-25)所示。
进一步,整理得到下面的表示式。
可以得到下面两式。
通过对照这两个式子,最终得到:
而对于d W t d t =0,同样可以借助与前面类似的极限方法,很容易地推导得到。
对于伊藤引理,也可以换一个角度来理解,它实际上是把 泰勒展开 (Taylor expansion)应用于随机过程。这其中的核心就是伊藤乘法表,如图2-15所示。归纳伊藤乘法表,可以简单记忆为:d t 、d t 的平方和d t d W ( t )均为零,可忽略不计,只有d W ( t )的平方为d t 。
图2-15 伊藤乘法表
接下来,以维纳函数 W t 为例讲述泰勒展开应用于随机过程。假设 f 为 W t 的连续平滑函数。式(2-29)为对其微分的表达式。
但是,由于
W
t
不可微分,即无法直接求解
,所以无法对式(2-29)进一步求解。但是,经过变换,抵消掉d
t
,可以把式(2-29)转换为下面的形式。
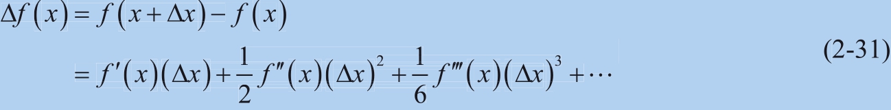
对于一般的函数,泰勒展开如式(2-31)所示。
式(2-31)第二行等号右侧的表达式中,除了第一项 f ′( x )(∆ x )以外,其他的所有各项相对于第一项都是高阶小量,可以被忽略,所以式(2-32)成立。
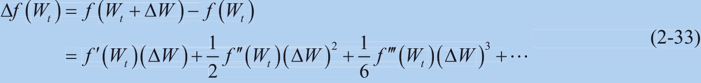
对于维纳过程,同样套用泰勒展开,得到式(2-33)。
在式(2-33)中,除了一阶项
f
′(
W
t
)(∆
W
)以外,二阶项
却不能被忽略,这与一般函数的泰勒展开是不同的,其原因为维纳过程的二次微分不为零,相对于一阶项不是更高阶的小量,实质上是同阶的,因此不能被忽略,而从第三项之后,相对于前两项,则是可以被忽略的高阶小量。利用式(2-34),对上述泰勒展示式进行变换。
得到伊藤引理的最基本形式。
如图2-16(a)和(b)对比了经典微积分对于一个普通的关于时间 t 和标量 x 的函数 f ( t , x )的微分,以及另外一个伊藤微积分对于关于时间 t 和维纳过程 W t 的函数的微分。可见,由于伊藤引理中,对于二次微分不可忽略,因此,伊藤微积分对比经典微积分,要多一个额外的二次项。伊藤微积分也正是基于此变化,从而将微积分成功地运用到了随机过程的运算当中。
图2-16 经典微积分与伊藤微积分对照图