



4.4.1 导线测量的主要技术要求,应符合表4.4.1的规定。
表4.4.1 导线测量的主要技术要求
续表4.4.1
注:1 n为导线折角数。
2 当附合导线长度小于总长度的1/3时,其绝对闭合差不应大于13cm。
3 当平均边长超过本表规定时,宜适当增加角度观测的测回数。
直伸等边支导线的纵向误差(m t )和横向误差(m μ )为:
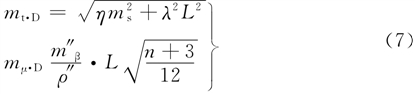
直伸等边附合导线,当观测角经过方位角闭合差调整后,端点的纵向误差(m t·D )、横向误差(m μ·D )为:
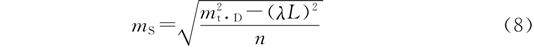
则:
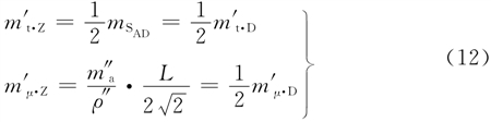
导线经过平差之后,其最弱点为导线的中点(Z)。中点的纵向误差(m t·z )和横向误差(m μ·Z )公式为:
起始边边长误差(m SAD )和起始方向角误差(m″ a )产生的导线端点纵向误差(m′ t·D )和横向误差(m′ μ·D )为:
起始数据误差形成导线中点的纵、横向误差为:
导线的误差应由测量误差和起始数据误差所组成。根据上述,则导线端点和中点的点位总误差分别为:
对于冶金厂矿测量,控制点的精度和密度必须满足工程施工放样和大比例尺测图的需要,其最弱点的点位中误差(M Z ),不应大于5cm。因此,当顾及起始数据误差影响,且起始数据误差与观测误差相等时,按纵、横向误差等影响的原则,其中点应满足:
导线全长最大相对闭合差的公式为:
式中:L——导线总长(km);
n——导线边数;
λ——系统误差系数,取λ=2×10 -6 ;
m β ——测角中误差;
M D ——导线终点点位误差;
m S ——测边中误差;
ρ ″ ——206265;
W X ——导线X坐标分量闭合差;
W Y ——导线Y坐标分量闭合差。
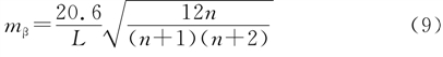
将式(14)的数值代入式(8)、式(9)(15)和(16),得到规范表4.4.1之精度系列。
4.4.2 导线网宜布设成直伸形状,相邻边的边长之比不宜大于1∶3。
当相邻边长之比大于1∶3时,望远镜必须调焦才能看清目标,使视准轴误差对水平角观测的影响增大。
4.4.3 导线网作为首级控制时应布设成环形网,作为加密时可布设成附合导线。当导线长度大于本规范表4.4.1的规定时,应布设成结点网。高级点与结点、结点与结点间的路线长度不应大于相应等级规定长度的0.7倍。
直伸形状的导线,测边误差不会影响横向误差,测角误差不会影响纵向误差,可使导线的纵横向误差最小,长度最短,测边和测角的工作量最少。这是布网的原则。
4.4.4 导线水平角采用全站仪观测时,应符合下列规定:
1 气泡置平时,应使仪器位于补偿器的有效补偿范围。
2 水平轴不垂直于垂直轴之差:DQ1级全站仪不应大于10″,DQ2级仪器不应大于15″,DQ6级仪器不应大于20″。
3 仪器的基座在照准部旋转的位移:DQ1级全站仪不应大于0.3″,DQ2级全站仪不应大于1″,DQ6级全站仪不应大于1.5″。
4 光学或激光对中器的对中精度应优于1mm。
4.4.5 导线水平角观测的主要技术要求应符合表4.4.5的规定。
表4.4.5 导线的水平角观测的主要技术要求
导线水平角观测的技术要求参照以往测量实践经验和国内现行同类规范制订。
4.4.6 水平角宜采用全圆方向法观测,观测限差应符合表4.4.6的规定。
表4.4.6 全圆方向法观测的限差
注:当观测方向的垂直角大于3°时,该方向的2C较差可按相邻测回间进行比较。
全圆方向法观测时,各项限差估算:
(1)测微器两次读数差的限差:
Δ 读数 (取控制测量的经验值)(17)
(2)半测回归零差的限差:Δ 归零 =4m r (18)
(3)同一方向一测回2C较差的限差:
(4)同一方向各测回差的限差:
Δ 测回 =4m r (20)式中:V——望远镜放大率;
m r ——方向照准误差(″);
各项限差估算结果见表2。
表2 方向观测法的各项限差
注:DQ6全站仪在上表基础上适当放宽确定。
4.4.7 全圆方向观测法应符合下列规定:
1 全站仪对中误差不应大于2mm,气泡中心偏离理论中心不应大于1格。
2 当观测方向数多于3个时应归零,等于和少于3个时可不归零。
3 各测回间度盘应变换位置。第i测回的度盘位置应按下列公式计算:
式中:j——第i测回的度盘配置(°′);
δ——测回间的度盘配置间隔值(°′);
n——总测回数。
关于全圆方向法观测的规定:
(1)仪器安置误差包括对点误差和整平误差。仪器对点误差对水平角的影响,与测站至目标间的距离成反比,因此,在短边上测角时更应注意仪器的对中。依据全站仪光学(或激光)对中器的视轴(或射线)与竖轴重合度指标,在仪器高度设置为0.8m~1.5m范围内时,对点误差检验校正值和测量水平角的精度要求,规定对点误差应小于2mm。整平误差不能用观测方法消除,对水平角观测的影响与观测目标的倾角大小有关,倾角越大,影响越大。因此观测中气泡中心偏离理论中心不应大于1格。
(2)在各测回间均匀配置水平度盘位置,可有效减弱度盘分划的周期误差对角度的影响。
(3)生产实践表明,方向数少于3个时,观测时间短,全站仪水平方向扭动很小,不归零对观测精度影响可不计,还可提高观测效率。
4.4.8 水平角方向观测限差不符合本规范表4.4.6的规定时,应在原度盘位置重测,并应符合下列规定:
1 2C较差、同一方向各测回较差超限时,应重测超限方向,并应联测零方向。
2 归零差或零方向的2C较差超限时,该测回应重测。
3 一测回中重测方向数超过方向总数的1/3时,该测回应重测。
4 每测站重测的方向测回数超过该站方向测回总数的1/3时,该站应重测。每测站的方向测回总数按m(n-1)计算(m为测回数,n为方向数)。方向测回数的计算方法:重测一个方向时,重测的方向测回数应为1;因零方向超限而重测的测回,重测的方向测回数应为(n-1)。
4.4.9 导线边测距的主要技术要求应符合表4.4.9的规定。
表4.4.9 测距的主要技术要求
注:1 一测回是照准反光镜一次,读数2次~4次;
2 往返测可采用同方向不同时间段观测代替;
3 当边长两端高差较大时,往返测边长应投影到边长两端点的平均高程面
上,比较往返测较差。
导线边长应使用全站仪测量,也可使用电磁波测距仪测量。导线测量边长测量技术要求按下列原则确定:
(1)仪器的级别、测回数是根据测距精度规定的。
(2)读数较差是根据各级仪器的标称精度规定的。
(3)测回较差为读数较差m
γ
乘以2
后取整。(4)往返测距较差的限差,取导线测距中误差
倍。
4.4.10 全站仪测距作业应符合下列规定:
1 全站仪和反光镜的对中误差不应大于2mm。
2 四等导线测距时,应按站记录温度和气压,并应进行距离改正。一二三级导线测距可按时间段记录平均温度和气压,并应进行距离改正,也可在现场将实时温度和气压置入全站仪,自动进行距离改正。
全站仪测量边长的气象改正,应采用厂家提供的公式计算。
4.4.11 当采用垂直角进行边长倾斜改正时,垂直角测量可按本规范全站仪五等三角高程测量的技术要求施测。
边长倾斜改正可选择采用垂直角进行平距改正,也可选择采用两端高差进行平距改正。当选择采用垂直角进行边长倾斜改正时,垂直角的观测误差将对水平距离的精度产生影响。由于高差测定误差(m h )而引起水平距离改正数的中误差m D 为:
式中h之值远比S之值小得多,说明高程误差对水平距离改正的误差影响很小。因此,垂直角按五等全站仪三角高程技术要求施测,完全能保证测距边的精度。
4.4.12 当采用高差进行边长倾斜改正时,往返测高差较差Δh应符合下式的规定。
式中:Δh——往返测高差较差(m);
S——测距边长(m);
T——测距相对中误差的分母;
h——测距边两端点的高差(m)。
当h小于
时,应按
计算。
当选择采用高差进行平距改正时,往返测高差较差满足本规范式4.4.12的规定即可。
4.4.13 导线网应按下列两种情况分别计算测角中误差。
1 导线按左、右角观测时,应按下式计算测角中误差。
式中:Δ c ——测站圆周角闭合差(″);
n Δ ——圆周角闭合差个数。
2 附合或闭合导线,应按下式计算测角中误差。
式中:f β ——附合或闭合路线的方位角闭合差(″);
n——附合或闭合路线中,计算f β 时相应的测站数;
N——附合路线和闭合路线总数。
式4.4.13-1是根据双观测列计算中误差的公式推导出来的,式4.4.13-2是根据真误差计算中误差的公式推导出来的。
4.4.14 边长应进行加常数、乘常数和气象改正。
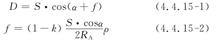
4.4.15 水平距离计算应符合下列要求:
1 水平距离D用高度角应按下列公式计算:
2 水平距离D用高差应按下式计算:
式中:D——测站和棱镜站平均高程面上的水平距离(m);
S——经气象和加乘常数改正后的斜距(m);
α——斜距的垂直角,仰角为正,俯角为负;
f——地球曲率和大气折光引起的垂直角改正数(″),恒为正值;
k——测区大气折光系数,宜通过测区观测数据反求,经验值可取0.11~0.14;
R A ——参考椭球在测距边方向的法截弧曲率半径(m);
h——测站与镜站的高差(m)。
用式4.4.15-1和式4.4.15-2计算的水平距离,均在全站仪测站和掕镜站的平均高程面上。
4.4.16 水平距离从测量高程面归算到测区平均高程面上的改正ΔD 1 ,应按下式计算:
式中:D——测距边所在高程面的水平距离(m);
H m ——测距边两端点的平均高程(m);
H p ——测区平均高程面的高程(m);
R A ——参考椭球体在测距边方向的法截弧曲率半径,可用平
均曲率半径代替(m)。
冶金工程测量对边长要求精度高,并要求测量长度与施工现场所在高程面的长度一致。因此,应将位于不同高程面上测量边长,统一归化测区平均高程面上。
4.4.17 水平距离从测量高程面归算到参考椭球体面上的改正数ΔD 2 ,应按下列公式计算:
式中:D——测距边在测量高程面的水平距离(m);
h m ——测区大地水平面到参考椭球面的高差(m)。
当边长要进行高斯投影距离改正时,应先将边长归化到参考椭球面上。
4.4.18 参考椭球体面上的距离投影到高斯平面的距离改化ΔS,应按下式计算:
式中:D 0 ——高斯平面上的长度(m);
R m ——测距边中点的参考椭球平均曲率半径(km);
y m ——测距边两端点横坐标的平均值(km);
Δy——测距边两端点横坐标的差(km)。
参考椭球体面上的边长应进行高斯投影改化,才能在高斯平面上进行控制网的计算。
4.4.19 导线计算时,数字取位应符合表4.4.19的规定。
表4.4.19 导线计算的数字取位
表4.4.19是根据数字有效位数和运算凑整规则确定的。