购买
下载掌阅APP,畅读海量书库
立即打开
畅读海量书库
扫码下载掌阅APP

截至1665年,牛顿已经发现将二项式展开(他的说法是“化简”)成级数的简单方法。对他而言,这种化简不仅是用另一种形式重建二项式的手段,同时也是通向流数术的大门。这个二项式定理是牛顿众多数学发明的起点。

正如《前信》所述,眼前的问题是化简二项式 ,而不管 m / n “是整数还是分数,或者是正数还是负数”。 1 在人们对指数还非常生疏的时代,这本身是一个非常大胆的思想,那时牛顿首次强调“用 代替 ,用 代替 ”。 2 显然,当时的读者需要适当的提示。

1 Dirk Struik (ed.), A Source Book in Mathematics ,1200-1800, Harvard Vniversity Press, 1969, p. 286。

2 Dirk Struik (ed.), A Source Book in Mathematics ,1200-1800, Harvard Vniversity Press, 1969, p. 286。

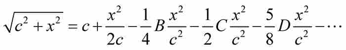
牛顿不但发现了像 这样基本的二项式的展开形式,而且发现了像 这样复杂的二项式的展开形式。正如牛顿向莱布尼茨解释的那样,这种化简服从规则

(1)

其中 A B C ,…分别代表前一项,我们将在下面举例说明。这就是著名的牛顿二项式展开式,虽然这种形式或许是新奇的。

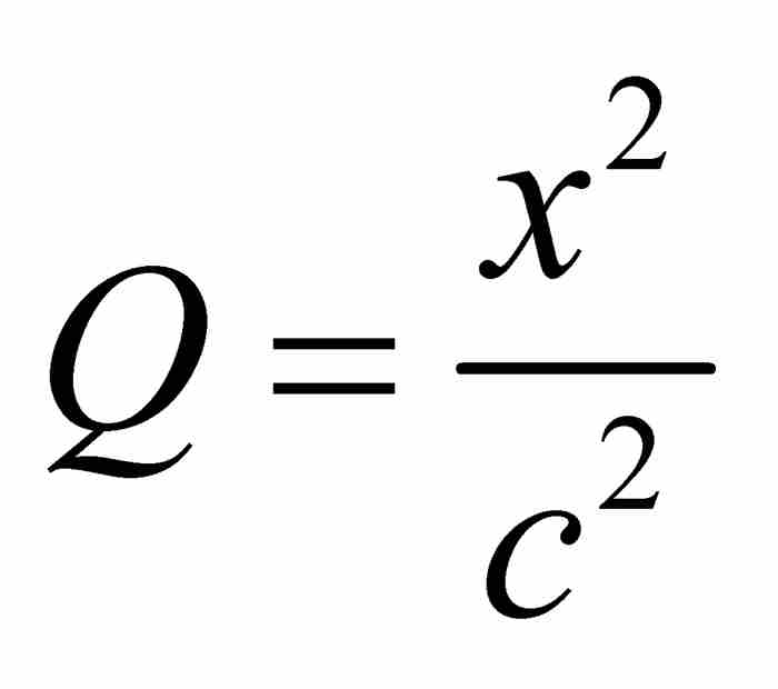
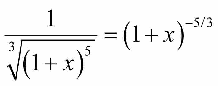
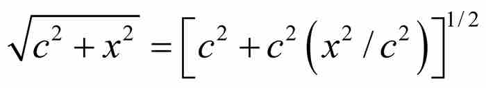
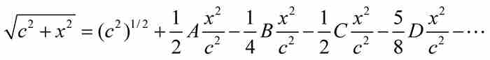
牛顿给出 的例子。在这个例子中 。因此,

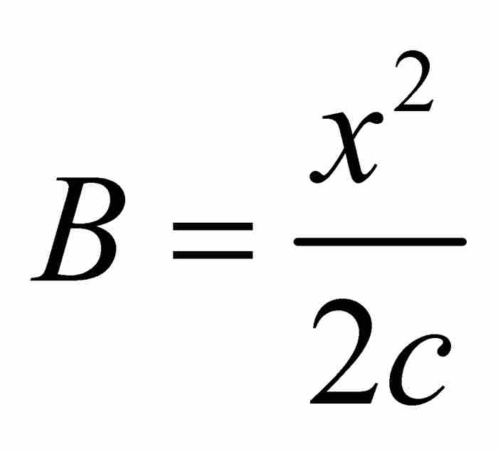
为了确定 A B C 及其他系数,我们可以利用它们都表示前一项的事实。于是, ,给出

同样, B 表示前一项,即 ,由此得到

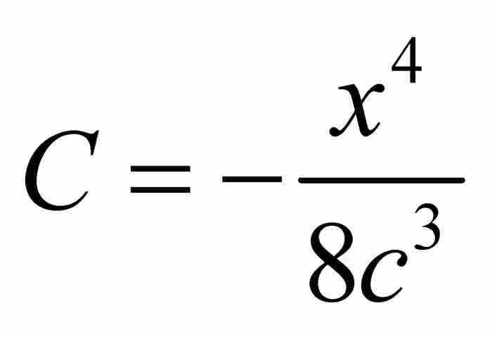
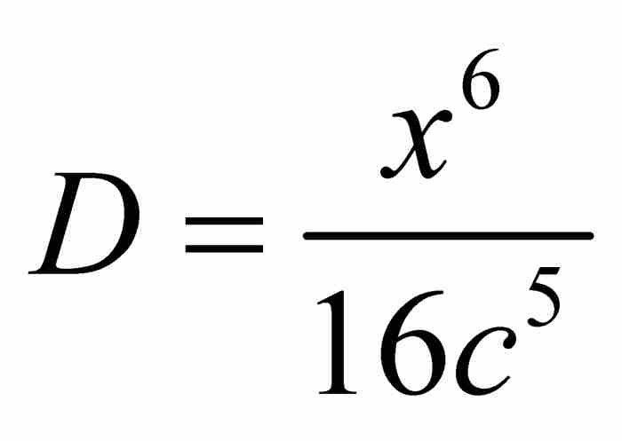
用类似的代入得到 ,然后得到 。以这种方式从左到右继续推导,牛顿得到

显然,这种方法有一点递归的味道:从 的系数求出 的系数,而欲求 的系数需要知道 的系数,依此类推。虽然现代的读者可能习惯于二项式定理的直接表述,但是牛顿的递归表示具有无可争辩的吸引力,因为当用前一项来计算后一项的数值系数时,可以使计算过程得以简化。

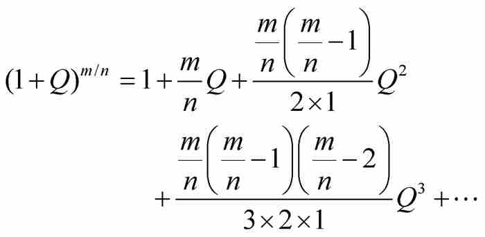
为明确起见,简单的方法是用由 P Q 表示的 A B C ,…的等价表达式代替 A B C ,…,然后约去式(1)两端的公因子 ,就获得现在的公式:

(2)

牛顿将这种简化比作是从平方根到无穷小数的转换,并且不遗余力地推崇这一运算的好处。他在1671年写道:

这是一种产生无穷级数的简便方法,所有复杂的项……都可以简化为一类简单的量,即分子和分母都是简单项的分数的无穷级数,这样将会消除那些其原始形式看起来几乎难以逾越的困难。 3

3 Derek Whiteside(ed.), The Mathematical Works of Isaac Newton ,vol.1, Johnson Reprint Corp, 1964, p. 37。

的确,将数学家从不可逾越的难题中解脱出来是一件值得做的事情。

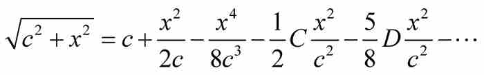
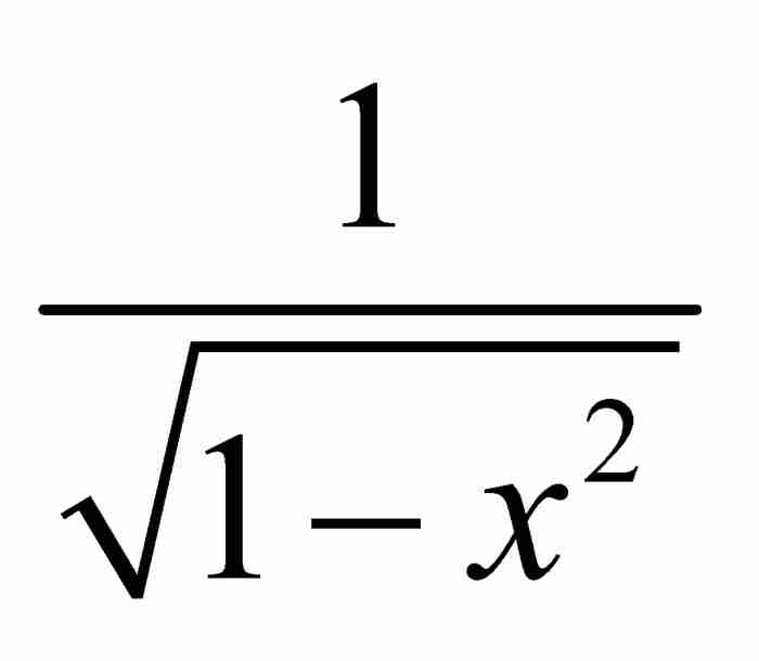
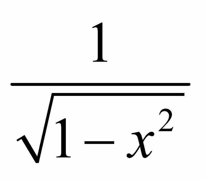
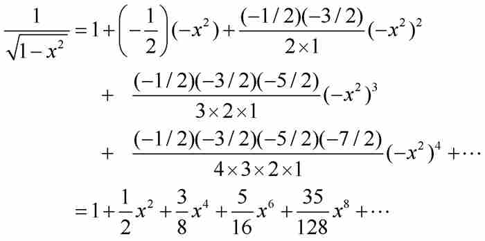
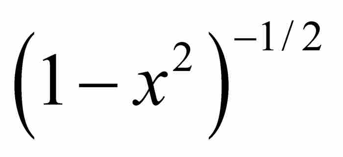
再举一个有助于理解的例子—— 的展开式,在本章后面将要讨论的一个结果中,将会展示牛顿对这个展开式的巧妙应用。我们首先将上式写成 ,确定 ,并利用式(2):

(3)

牛顿通过将级数 平方 并检查其结果来“检验”式(3)这样的展开式。如果我们也这样做,并且限制取次数不超过 的项,得到

其中全部系数奇迹般地变成了1(读者不妨试试吧!)。自然,得到的乘积是公比为 的无穷等比级数,由已有的公式可知,其和为 。但是,如果级数(3)的 平方 ,那么,我们推断级数本身必定是 妙极了

牛顿将这样的计算当作让人信服他的普遍性结论的证明。他断言“尽管我们这些凡人的推理能力非常有限,既不能表达也不能想象这些等式的所有项,就像我们无法确切知道那些量从何而来一样”,但是“可以把对有限项等式的一般分析”推广到这样的无限项表达式。 4

4 Derek Whiteside(ed.), The Mathematical Works of Isaac Newton ,vol.1, Johnson Reprint Corp, 1964, p. 22。 e6/EF3dALmsAiFdyerPo86LBzLj+/nj3+uyFlKs30ckzR0BUqdLbkUJrLkBE4isC

点击中间区域
呼出菜单
上一章
目录
下一章
×