



MOS结构形成电容器。栅极和衬底充当电容器的极板。氧化层充当电容器的电介质。如图2.9所示。可以通过施加到栅极和衬底的外部电压来控制半导体载流子浓度及其局部分布。质量作用定律为
其中n和p表示可动载流子浓度,n i 表示硅的本征载流子浓度。质量作用定律提供了半导体中可动载流子的平衡浓度。假设衬底均匀掺杂,受主浓度为N A ,通常N A 远大于n i 。在室温下,n i 大约等于1.45×10 10 cm -3 。N A 通常为10 15 ~10 16 cm -3 。所以,可以得到
图2.9 两端MOS结构
带隙内的平衡费米能级(E F )由掺杂类型和掺杂浓度决定。公式2.3给出的费米势φ F 是温度和掺杂的函数。
硅的电子亲和势(qx)是导带能级和真空能级之间的电势差(见图2.10)。功函数(qφ s )是电子从费米能级移动到真空所需的最小能量,如下所示:
qφ s =qx+(E C -E F )
(2.6)
图2.10 P型硅衬底能带图
MOSFET系统的三个独立组件具有不同的能带图(见图2.11)。由于金属和半导体之间的功函数不同,因此会有一个内建电势差。内建电势差会出现在绝缘氧化层和半导体表面之间。
图2.11 复合CMOS能带图
如果我们假设MOS管的衬底设置为0V接地(GND),根据栅极电压的极性和大小(V G ),MOS管将在三个不同的区域中工作:积累层、耗尽层和反型层。
1. 积累层
如果向栅极施加负电压,P型衬底上的空穴将被吸引到半导体-氧化物界面积累(见图2.12):
图2.12 MOS结构处于积累层的截面图和能带图
2. 耗尽层
如果对栅极施加一个小的正电压,则氧化物中电场由栅极指向衬底(见图2.13):
图2.13 在小的正电压下,MOS结构处于耗尽层的截面图和能带图
表面处的耗尽层厚度X d 是表面势φ s 的函数。
dQ=-q·N A ·dx
(2.7)
3. 反型层
如果我们增加栅极偏压,禁带中线能级E i 将变得比费米能级E Fp 更小。然后该区域的半导体变成N型(见图2.14):
图2.14 在大的正电压下,MOS结构处于反型层的截面图和能带图
一旦出现反型,即使进一步增加电压,表面耗尽层厚度也不会再增加。
可以通过反型条件φ s =-φ F 求出耗尽层厚度最大值x dm 。
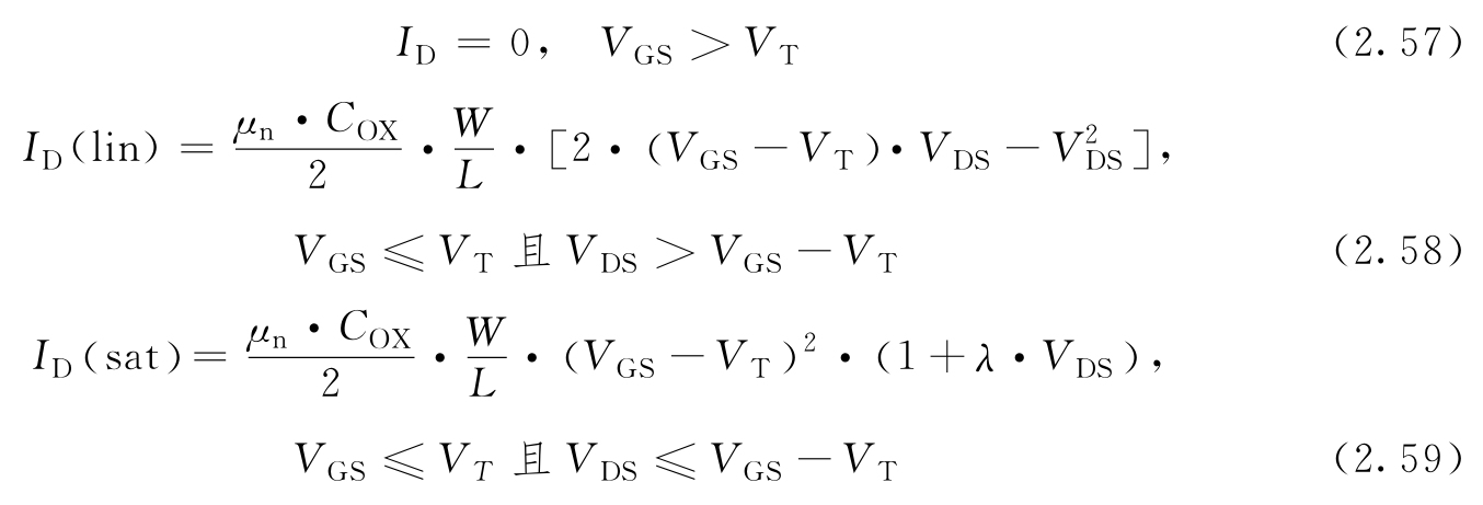
MOSFET是一个四端器件(见图2.15):
图2.15 N沟道增强型MOSFET物理结构
MOSFET的类型:
MOSFET的电路符号(见图2.16):
图2.16 N沟道和P沟道增强型MOSFET的电路符号
沟道电流由四端所接外部偏置控制。必须形成导电沟道,源极和漏极区域之间才有电流流动。
在图2.17中,随着栅源电压的增加,多子(空穴)被排斥回衬底中,P型衬底耗尽。当沟道区中的表面势达到-φ FP 时,在源极和漏极之间形成导电N型层,参见图2.18。导电沟道提供两个N+区之间的电连接:允许电流流动,见图2.19。阈值电压V T0 表示形成导电沟道所需的栅源电压值。
图2.17 N沟道增强型MOSFET中耗尽层的形成
图2.18 表面反型时MOS结构的能带图
图2.19 N沟道增强型MOSFET中反型层(沟道)的形成
1. 阈值电压
MOS结构阈值电压的物理分量包括:
栅极与沟道之间的功函数差φ GC 决定了MOS系统的内建势。
φ GC =φ F (衬底)-φ M
(2.14)
φ GC =φ F (衬底)-φ F (栅极)
(2.15)
由于固定的受主离子位于靠近表面的耗尽层,因此存在耗尽电荷。
抵消耗尽区电荷的分量等于
。
在栅极氧化层和硅衬底之间的界面上总是存在一个固定的正电荷密度Q OX 。
在界面上抵消该正电荷所需的栅极电压分量为
。
我们可以得到阈值电压的一般形式:
我们可以对N沟道器件和P沟道器件使用公式2.23。
然而,公式2.23中的某些项和系数对于N沟道和P沟道具有不同的极性:
2. 体效应和偏置
体效应指的是晶体管V
T
因晶体管源和衬底之间的电压差而发生的变化。由于源和衬底之间的电压差影响V
T
,因此衬底可被视为帮助确定晶体管如何开启和关闭的第二个栅极。它由伽马表示,单位为
。
在几个数字电路应用中,不能保证所有晶体管的V SB =0。在这个例子中,我们将检验非零源极-衬底电压V SB 如何影响MOS晶体管的阈值电压。假设MOS晶体管具有长沟道:
图2.20显示了阈值电压与V SB 的关系。
图2.20 阈值电压与V SB 的关系
体偏压包括将晶体管体连接到电路布局中的偏置网络,而不是连接到电源或地。体偏压可以由外部(片外)源或内部(片上)源提供。体偏压通过在衬底和源极之间产生电位差来帮助调整晶体管的V T 。
图2.21显示了工作在线性区、饱和区边缘和饱和区以外的NMOS的剖面图。
图2.21 N沟道(NMOS)晶体管的截面图
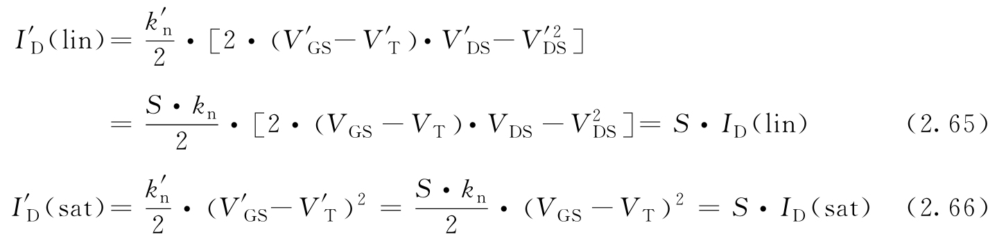
当V GS >V T0 ,V DS =0时:
当V GS >V T0 ,0<V DS <V DSAT 时:
当V GS >V T0 ,V DS =V DSAT 时:
当V GS >V T0 ,V DSAT <V DS 时:
对实际三维MOS系统的分析是非常复杂的。我们将使用缓变沟道近似来分析MOSFET的电流流动问题以及电流-电压特性。
沟道电压V C 的边界条件为
V C (y=0)=V S =0
V C (y=L)=V DS
(2.25)
假设源极和漏极之间的整个沟道区是反型的:
V GS ≥V T0
V GD =V GS -V DS ≥V T0
(2.26)
令Q I (y)为表面反型层中的总移动电荷,可表示为
Q I (y)=-C OX ·[V GS -V C (y)-V T0 ]
(2.27)
图2.22显示了工作在线性区的N沟道晶体管的横截面图。图2.23描绘了表面反型层(沟道区)的简化几何形状。
图2.22 工作在线性区的N沟道晶体管的横截面图
图2.23 表面反型层(沟道区)的简化几何形状
假设反型层中的所有可移动电子都具有恒定的表面迁移率μ n ,并且此段上的沟道电流密度是均匀的,那么增量电阻如下所示:
对此应用欧姆定律,dy沿y方向的压降如下:
沿沟道进行积分。
我们可以简化公式2.30的左侧,并将Q I (y)替换为公式2.27。
假设沟道电压V C 是可变的,它取决于位置y:
我们可以发现,漏极电流公式2.32在线性区和饱和区之间的边界之外是无效的,即对于
V DS ≥V DSAT =V GS -V T0
(2.37)
是无效的。并且我们可以看到,漏极电流在超出饱和边界的峰值附近保持近似恒定。饱和电流如下所示:
因此,超过饱和边界的漏极电流仅是V GS 的函数。图2.24和图2.25显示了基本的电流-电压特性。
图2.24 N沟道MOS晶体管的基本电流-电压特性
图2.25 N沟道MOS晶体管的漏极电流与栅源电压V GS (V DS >V DSAT )的函数关系
1. 沟道长度调制
在饱和边界之外,有效沟道长度(沟道缓变近似仍然有效的反型层长度)与沟道长度L不同。因此,我们必须研究饱和模式下沟道夹断和电流流动的机制,以获得更准确的漏极电流。
沟道源端反型层电荷为
Q I (y=0)=-C OX ·(V GS -V T0 )
(2.39)
沟道漏端反型层电荷为
Q I (y=L)=-C OX ·(V GS -V T0 -V DS )
(2.40)
在饱和区边界,有
V DS =V DSAT =V GS -V T0
(2.41)
Q I (y=L)≈0
(2.42)
我们可以说沟道在漏端被夹断:如果V DS 增加到超过饱和边缘,沟道的更多区域将被夹断(见图2.26),则有效沟道长度减少到
L′=L-ΔL
(2.43)
其中ΔL是Q I =0的沟道段的长度。
图2.26 夹断条件
随着漏源电压的增加,夹断点从沟道的漏极端移动到源极。夹断点的沟道电压保持在V值,因为对于L′<y<L,反型层电荷为零。
V C (y=L′)=V DSAT
(2.44)
我们可以将表面的反型部分视为缩短的沟道。缓变沟道近似在该区域是有效的。
然后我们可以按如下方式求出漏极电流:
公式2.45对应于有效沟道长度为L′的MOSFET,其工作在饱和区。这种现象(即有效沟道的缩短)称为沟道长度调制(CLM)。当L′随着V DS 的增大而减小时,饱和电流I D (sat)会随着V DS 的增大而增大。我们可以修正公式2.45以反映这种关系:
沟道长度缩短值ΔL与V DS -V DSAT 的平方根成正比:
简单起见,我们使用以下经验关系,称λ为沟道长度调制系数:
假设λ·V DS ≪1,则公式2.45中给出的饱和电流可写为
图2.27显示了CLM的效果。饱和区的漏极电流随V DS 线性增加,而不是保持恒定。
图2.27 沟道长度调制效应
2. 衬底偏置效应
前面对线性模式和饱和模式电流-电压特性的推导是在以下条件下完成的:
V SB =0
正的源极-衬底电压影响阈值电压,从而影响漏极电流。
阈值电压的一般表达式(公式2.23)已包含衬底偏压项:
我们可以用更一般的V T (V SB )项代替阈值电压项:
最后,我们得到了完整的漏极电流函数,这是关于终端电压的非线性函数:
I D =f(V GS ,V DS ,V BS )
(2.53)
图2.28描绘了NMOS和PMOS的端电压和电流。
图2.28 NMOS和PMOS的端电压与电流
超大规模集成技术要求高封装密度和小晶体管尺寸。尺寸的减小通常称为按比例缩小(scaling)。按比例缩小有两种类型:完全按比例缩小(恒定电场下的按比例缩小)和恒定电压下的按比例缩小。图2.29中的参数表示按比例绘制的尺寸和掺杂浓度。将所有尺寸按比例缩小,会导致晶体管所占的面积减少为原来的1/S 2 。
图2.29 按比例缩小尺寸和掺杂浓度
这种按比例缩小试图使MOSFET中内部电场保持不变。为了实现这一目标,电势必须按比例缩小。电势按比例缩小会影响阈值电压。电荷密度必须增加S倍才能维持电场不变这一条件,如表2.1所示。
表2.1 完全按比例缩小MOSFET尺寸、电势和掺杂浓度
单位面积的栅极氧化电容变化如下:
按比例缩小后,MOSFET的宽长比W/L将保持不变。跨导参数也将缩小至原来的1/S。
按比例缩小的MOSFET线性区电流如下:
饱和区的漏极电流也以相同的比例因子缩小:
按比例缩小之前的MOSFET功耗如下:
P=I D ·V DS
(2.63)
完全按比例缩小将同时降低电流和电压,因此得到:
在许多情况下,按比例缩小电压(完全按比例缩小)可能不太实际。表2.2中描述了完全按比例缩小的影响。
表2.2 完全按比例缩小对关键器件特性的影响
在恒定电压按比例缩小时,MOSFET的所有尺寸都减小至原来的1/S,电源电压不变。为了保持电荷场关系,必须将掺杂浓度增加S 2 倍,如表2.3所示。
表2.3 恒定电压按比例缩小对MOSFET尺寸、电势和掺杂浓度的影响
单位面积的栅极氧化物电容C OX 增加了S倍,跨导参数也增加了S倍。恒定电压按比例缩小的漏极电流由下式给出(见表2.4):
MOSFET的功耗增加了S倍:
P′=I′ D ·V′ DS =(S·I D )·V DS =S·P
(2.67)
表2.4 恒定电压按比例缩小对关键器件特性的影响
对于在亚阈值区域中工作的NMOS晶体管,这类似于NPN双极型晶体管,其中硅衬底充当基极,而源极和漏极分别代表发射极和集电极。
亚阈值偏置的漏电流为
其中W为栅极宽度,L为栅极长度,I D0 为栅源电压等于阈值电压时的漏极电流,V GS 为栅源电压,V TH 为阈值电压,n为栅氧化层电容和耗尽层电容之和与栅极氧化层电容之比,V T 为热电压,V DS 为漏源电压。从弱反型到强反型绘制的漏极电流如图2.30所示 [4] 。
图2.30 亚阈值特性
短沟道器件的特性如下:
其中μ n0 是低电场表面电子迁移率,Θ是经验因子,公式2.69可以近似为
随着有效沟道长度的减小,横向电场E y 与沟道一起增大。在高电场下,漂移速度趋于饱和(见图2.31)。
图2.31 漂移速度
基于图2.32,可以得到:
图2.32 载流子漂移速度模型
模型3由以下公式给出:
在饱和区和线性区的边界处,MOS晶体管的漏源电压为V DSAT ,I D (lin)=I D (sat)。
饱和电流方程如下:
当V GS <V T 时:
当V GS <V T 时:
当V
SG
≥V
T
,
时:
如图2.33所示,沟道长度由以下公式给出:
L=L M -2·L D
(2.81)
附加的P+区是为了防止在两个相邻的N+扩散区之间形成不需要的(寄生)沟道。
图2.33 NMOS视图
寄生器件电容可以分为两大类:
栅电极在边缘处与源极区和漏极区都重叠。基于这种结构布置,出现了两个重叠电容:
C GS (重叠)=C OX ·W·L D
C GD (重叠)=C OX ·W·L D
(2.82)
其中
由栅极电压和沟道电荷之间的相互作用产生的电容为C gs 、C gd 和C gb 。图2.34显示了截止区、线性区和饱和区下的MOSFET氧化物电容。
图2.34 不同区域的MOSFET氧化层电容
C gb =C OX ·W·L
(2.84)
表2.5列出了近似的氧化物电容值。我们必须将此处找到的C gs 和C gd 分布值与相关的重叠电容值结合起来,以便计算外部器件端之间的总电容。图2.35显示了(栅极-沟道)氧化物分布电容随栅源电压的变化。
表2.5 氧化层电容近似值总结
图2.35 (栅极-沟道)氧化物分布电容随栅源电压的变化
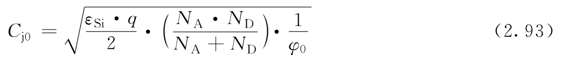
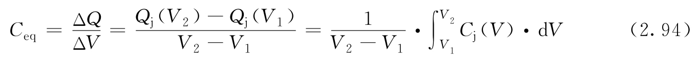
考虑与电压相关的源极-衬底结电容和漏极-衬底结电容:C sb 和C db 。C sb 和C db 是由衬底中的相应源极或漏极扩散区周围的耗尽电荷造成的,如图2.36所示。
图2.36 结电容
假设反向偏置电压为V:
其中参数m称为微分系数。
其中K eq 是电压等效因子(0<K eq <1)。
晶体管的特征频率是指电流增益为1时的频率。通常,如果C
gs
>>>C
gd
,则该频率等于
。此参数被认为是晶体管或工艺的品质因数。如果要设计带宽为100MHz的放大器,其特征频率应至少是放大器带宽的10倍,即1GHz。
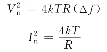
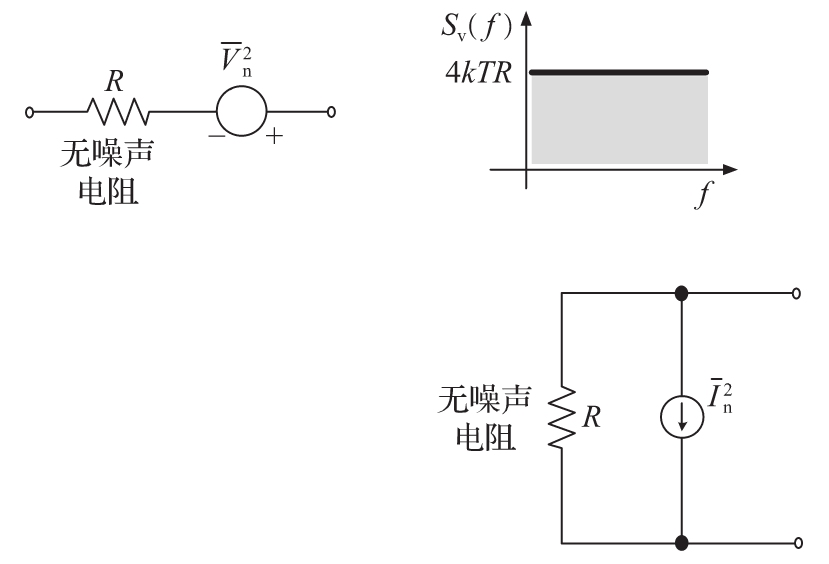
一般来说,热噪声与环境中粒子的随机运动有关。由于每个自由度的平均可用能量与温度成正比,因此产生的噪声称为热噪声。电阻的热噪声如图2.37所示,计算如下:
当R=50,T=300K时,
。
图2.37 电阻的热噪声
有关MOSFET的热噪声,请参见图2.38。对于长沟道,参数γ通常为2/3;对于亚微米器件,参数γ通常高达2.5。
图2.38 MOSFET的热噪声
图2.39显示了欧姆噪声。
图2.39 晶体管的欧姆噪声
一般来说,闪烁噪声是在许多系统中都能观察到的一种现象,在较宽的频率范围内,噪声谱密度与频率成反比。在半导体中,陷阱能态(在界面)的存在可能导致载流子的产生和复合,以及相应的闪烁噪声:
对于长沟道器件,
,所以
。图2.40显示了MOSFET界面,图2.41显示了晶体管的闪烁噪声曲线。
图2.40 氧化物和硅界面
图2.41 闪烁噪声曲线