



健康现状为主动健康一级指标下的二级指标,其下又分为健康自评、BMI指数、慢病状况、活动受限、心理健康和人际信任六个三级指标,其中BMI指数因未采集到对应数据,不做研究。健康现状对应的三级指标和测度指标具体见表1-8。
分别计算全国31个省区市健康现状指数得分,见图2-1。由图2-1可知,健康现状指标得分高于81.4分的有天津、山西、江苏、浙江、福建、山东、重庆七个省份,甘肃得分最低(72.3分)。
图2-1 各省份健康现状指数得分
东中西部地区
各省份健康现状指数得分见图2-2。东部地区健康现状指数得分均值为82.1分,明显高于中部地区(80.0分)和西部地区(78.9分),因此中部和西部地区老年人的健康状况有待改善。东部地区健康现状指数得分最高的为山东(86.8分),最低为海南(76.1分);中部地区健康现状指数得分最高的为山西(82.3分),最低为安徽(77.7分);西部地区健康现状指数得分最高的为重庆(83.4分),最低为甘肃(72.3分)。
图2-2 东中西部地区各省份健康现状指数得分
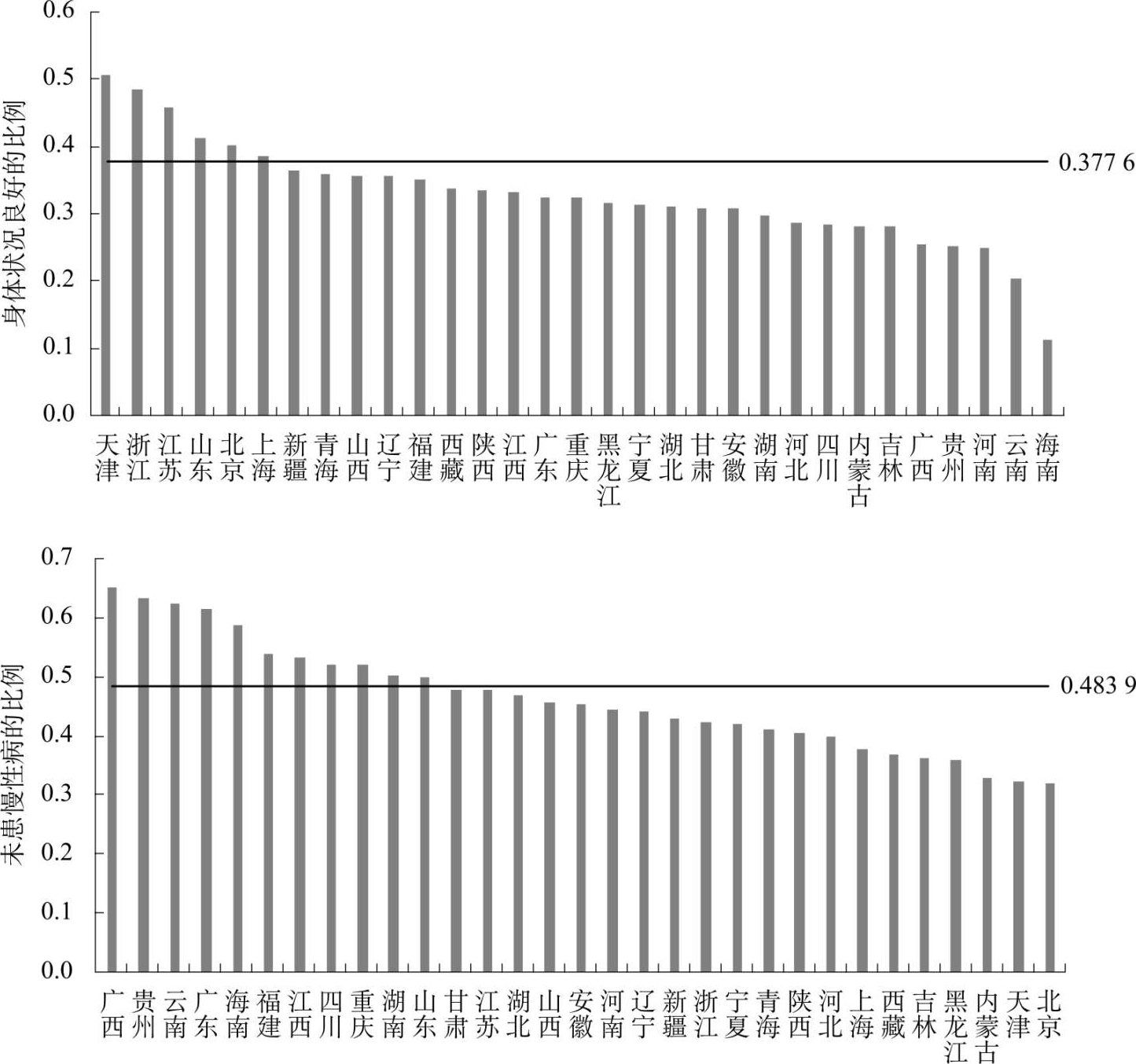
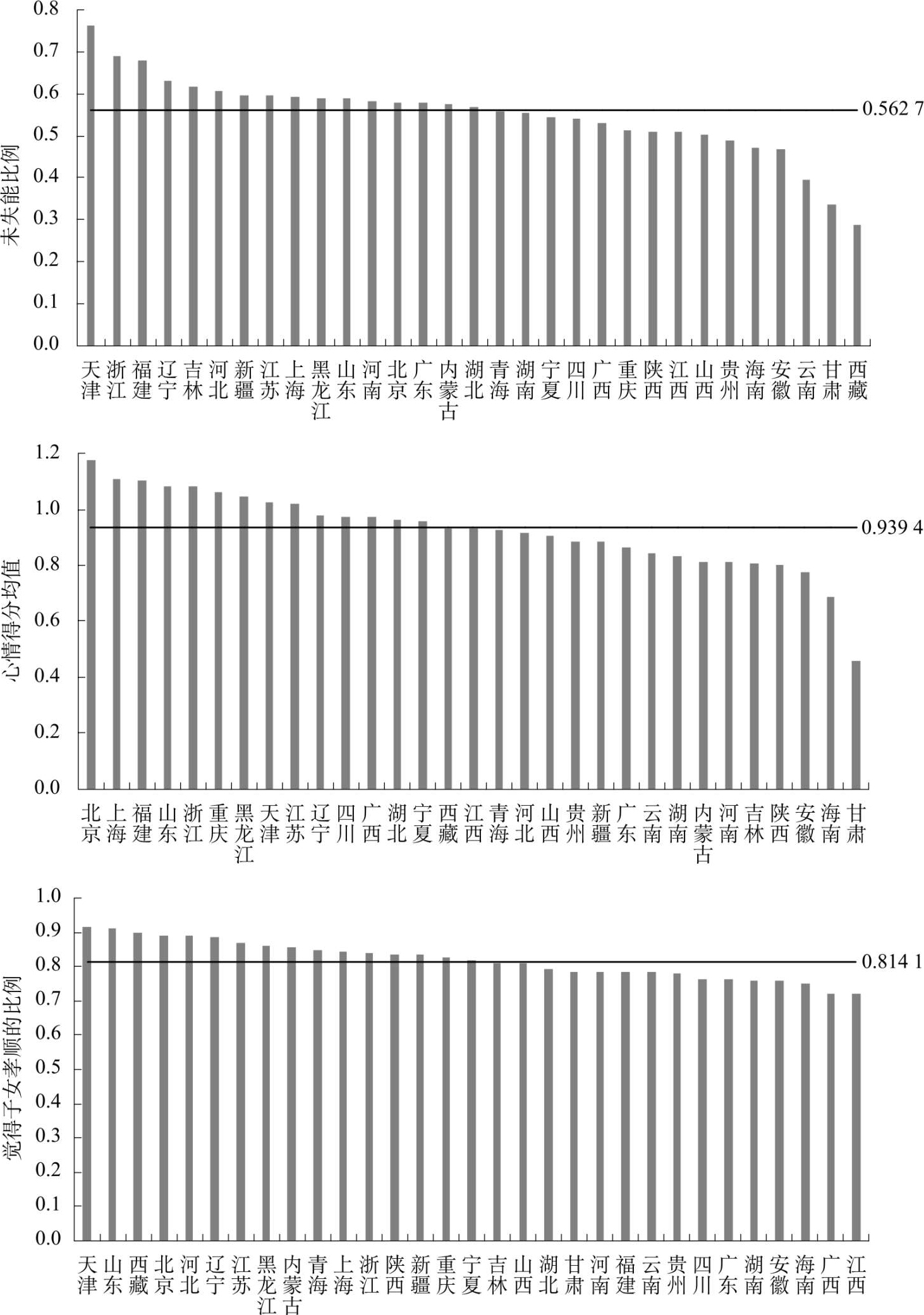
31个省份各个三级指标的具体情况见图2-3。可以看出,在健康自评方面,天津和浙江老年人身体状况良好的比例远高于其他省份,海南则最低。在慢病状况方面,广西、贵州、云南、广东四个省份老年人未患慢性病比例远高于全国平均水平,内蒙古、北京及天津则远低于全国平均水平。在活动受限方面,天津老年人未失能比例最大,甘肃和西藏则处于相对较低水平。在心理健康方面,北京、上海和福建的老年人的心情得分居前三位,而甘肃老年人的心情得分均值远小于其他省份。在人际信任方面,天津、山东和西藏三个省份老年人觉得子女孝顺的比例最大,广西和江西则相对较小;江西、湖南和重庆经常来往的亲属朋友均值最大,而甘肃最小;北京和上海邻居关系好的比例远低于其他省份。
图2-3 健康现状三级指标基本情况
图2-3 健康现状三级指标基本情况(续)
图2-3 健康现状三级指标基本情况(续)
表2-1对31个省份的健康现状指数得分进行了城乡比较。总体来看,城市老年人的健康现状得分要高于农村老年人,说明各省份在推动积极老龄化、提升健康现状方面仍有较大的城乡差距,农村应进一步改善老龄人口的健康状况。甘肃城市和农村健康现状得分在31个省份中排在最后,说明甘肃在积极老龄化的健康现状方面发展得不好,需要进一步改善。
表2-1 健康现状指数得分的城乡比较
进一步观察31个省份健康现状指数的城乡得分及排名(见表2-2)可以看出,某些省区市农村地区的健康现状反而要优于城市地区,例如北京和上海。北京农村健康现状得分为82.2分,全国排名第7名,而北京城市健康现状得分为78.6分,全国排名第26名;上海城市和农村健康现状得分和排名分别为76.9分(第29名)和84.7分(第4名)。另外一些省份的城市老龄居民健康现状的发展要远好于农村地区,比如贵州和青海,城市地区健康现状排名均在前十,而农村地区的排名均在后15名。因此,在提升居民健康现状时要考虑城乡协同发展,互相借鉴,互相促进。
表2-2 各省份健康现状指数的城乡得分及排名情况
健康现状指标下各个三级指标的城乡差异分析如表2-3所示。除经常来往的亲属朋友均值外,城市老年人和农村老年人身体状况良好的比例、未患慢性病的比例、未失能比例、心情得分均值、觉得子女孝顺的比例、邻居关系好的比例均有差异。其中,城市老年人身体状况良好的比例、未失能比例、心情得分均值、觉得子女孝顺的比例、经常来往的亲属朋友比例,均高于农村老年人;而农村老年人未患慢性病的比例和邻居关系好的比例则高于城市老年人。
表2-3 健康现状指标下三级指标的城乡差异分析
相较于城市,农村地区经济基础较差,基础设施不完善,医疗资源相对较差,这是影响农村老龄人口健康现状的外部原因。本书所研究的31个省份中,城市老年人健康自评均好于农村老年人,这可能与城市地区医疗资源较好、城市老龄人口对于自身健康状况更加关注有关。这与以往的研究结论一致,如郭磊运用欧洲五维健康量表法(EQ-5D-5L)和集中指数法对山东省城乡居民的健康状况及其公平性进行分析,研究发现在健康自评方面,城市居民的健康水平要高于农村居民(郭磊等,2020)。
另外有研究发现,农村地区慢病状况显著好于城市地区,农村地区样本未患慢性病的比例是49.8%,城市地区为43.3%。王丽敏等(2019)对2013年中国慢性病及其危险因素监测数据分析发现,我国60岁及以上居民至少患有一种慢性病的比例为76.3%,其中城市(79.6%)高于农村(73.8%)。这主要是因为城市居民的经济状况相对更好,不健康的行为和生活方式(吸烟、饮酒、身体活动不足、高盐高脂饮食、蔬菜水果摄入不足)普遍存在,因此慢性病的发病风险相对更高。慢性病严重影响老年人的日常生活能力和生活质量,同时罹患多种疾病使老年人门诊和住院次数增加,导致医疗费用剧增,消耗大量医疗资源。本书还发现城市地区老龄人口慢性病患病率虽然高于农村地区,但是活动受限情况要好于农村地区,可能与城市地区医疗资源较好、基础设施到位有关。我国人口老龄化不仅给医疗卫生工作带来了重大挑战,对其他相应配套的老年设施建设、老年服务的提供也提出了更高的要求。
研究发现农村地区老龄人口心情得分均值低于城市地区,这可能与农村地区物质生活和文化生活相对匮乏有关系,因此农村地区应加强老龄人口的社会参与,丰富老年人的物质生活与精神生活。在衡量人际信任的三个指标中,城市人口觉得子女孝顺的比例和经常来往的亲属朋友均值均高于农村地区,邻居关系好的比例则是农村地区较高。由于农村地区物质文化生活相对匮乏,因此子女的经济支持和精神慰藉对于农村老龄人口尤为重要。农村地区可以通过道德引领、村规民俗约束等方式推进“子女尽责、集体担责、社会分责、政府负责”的养老保障格局,提高农村地区老龄人口的人际信任感。
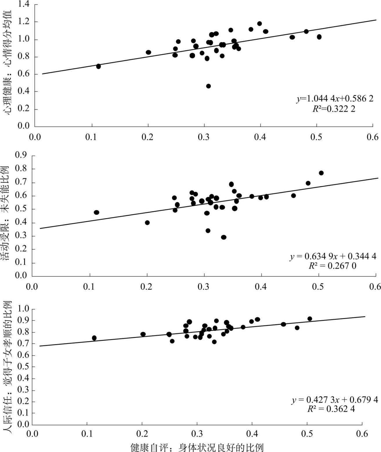
图2-4分别对心理健康、活动受限及人际信任与健康自评的相关性进行了分析。
图2-4 心理健康、活动受限、人际信任与健康自评散点图
心理健康、活动受限及人际信任与健康自评均存在正相关关系,说明健康自评与心理健康、活动受限、人际信任之间可以相互促进、相互联系。因此,可以通过改善老年人活动受限情况、通过道德引领等加强子女对老年人的经济支持和精神慰藉来提高老年人的健康自评,从而改善老年人的健康现状。
心理健康与活动受限呈显著的正相关关系(见图2-5),未失能比例越高,心理健康得分也越高。有研究发现,慢性病患者同时患抑郁症等心理疾病的比例相对较高(阎红,2019),这主要是因为长期的疾病状况、活动受限等导致心理疾病的发生(伏干,2018)。因此通过改善老年人活动受限情况也可以进一步促进老年人的心理健康发展。
图2-5 心理健康与活动受限散点图