



研究质点的运动,不仅要知道质点的位移,还必须知道质点在多长一段时间内通过这段位移,即要知道质点运动的快慢程度.
位移Δ
r
和发生这段位移所经历的时间之比叫作质点在这一段时间内的
平均速度
,记为
,有
平均速度也是矢量,它的方向就是位移的方向.平均速度依赖于过程,图1.3中绘出了多个过程.
平均速度粗略地描写了Δ t 这段时间内物体的运动快慢和运动方向,这种描写是不细致的.要得到细致描写,必须采用极限方式.图1-3中,当质点从 a 点趋向 b 点的过程中,对于不同的位置可以得到不同的平均速度:
图1-3 平均速度的极限
虽然Δ t 在不断减小,但同时|Δ r |也在不断减小,所以比值通常不会浮动很大.而且,质点越接近 b 点(Δ t 越小)时,平均速度越能反映质点在 b 点的运动情况.于是,Δ t 趋于零时比值Δ r /Δ t 的极限就应该准确反映质点在 b 点的运动情况.(1.8)式的极限,即质点位矢对时间的变化率,叫作质点在时刻 t 的 瞬时速度 ,简称 速度 ,记为 v .于是,
速度的方向,就是当Δ t 趋于零时,位移Δ r 的方向.由图1.3可以看出,当Δ t 趋于零时, a 点向 b 点趋近,位移Δ r 的方向就趋于运动轨道在 a 点的切线方向.所以,质点在某时刻的 速度方向就是质点所在处轨道的切线方向 .
在实际运用中,有时仅需要考虑速度的大小,这时人们也常采用 速率 这个物理量.速率是速度的大小,是一个标量,它不考虑质点运动的方向.故有
需要注意的是,由于位矢改变的大小|Δ r |与位矢大小的改变Δ r 一般不相等(见(1.5)式),因此,
在直角坐标系中,将(1.1)式代入(1.9)式,并考虑到三个坐标轴的单位矢量为常矢量,不随时间改变,因此有
也就是说,速度
v
=
v
x
i
+
v
y
j
+
v
z
k
的三个分量分别为
速度的模(大小)可以计算为
速度的SI单位是m/s.
阅读 一些实际的速率与加速度数值
当质点的运动速度随时间改变时,常常需要了解速度矢量变化的情况.这个变化可以是运动快慢的变化,也可以是运动方向的变化.一般情况下,速度的方向和大小都可以变化.速度矢量变化的快慢用 加速度 表示.如图1-4所示,在时刻 t ,质点位于 a 点,速度为 v a ,在时刻 t +Δ t ,质点位于 b 点,速度为 v b ,则在时间Δ t 内,质点速度的增量为
图1-4 速度的增量
类似平均速度的定义,可以定义时间Δ t 内的平均加速度为
平均加速度只是反映在时间Δ t 内速度的平均变化率.为了准确描述质点在某一时刻的速度变化快慢,必须引入瞬时加速度的概念.当时间间隔Δ t 趋于零时,(1.16)式表示的平均加速度的极限,即速度对时间的变化率,称为质点在时刻 t 的 瞬时加速度 ,简称 加速度 :
加速度也是矢量.质点运动速度的大小和方向的改变,都会引起加速度.在直角坐标系中,将速度的表示式(1.12)代入上式,有
也就是说,加速度的三个分量分别为
加速度的大小可用下式计算:
加速度的SI单位是m/s 2 .
例1.1 如图1-5所示,人造地球卫星在绕地球的平面轨道内做匀速圆周运动,角速度为 ω ,卫星距地球球心的距离为 r ,试求:(1)在平面直角坐标系中,卫星任一时刻的位矢、速度和加速度;(2)当 r =5×10 7 m, ω =7.3×10 -5 rad/s,卫星的速率和加速度的大小.
解:
(1)如图,选择以球心为坐标原点的平面直角坐标系,卫星在任意一点的坐标为
x
=
r
cos
ω
t
,
y
=
r
sin
ω
t
.任意时刻
t
的位矢为
r
=
r
cos
ω
t
i
+
r
sin
ω
t
j
,任意时刻
t
的速度为
v
=
,速度的大小(即速率)为
,任意时刻
t
的加速度为
图1-5 例1.1题图
将位矢代入上式有
由这一结果可知,卫星加速度的方向总和位矢的方向相反,且沿着半径指向圆心.这一结果是所有匀速圆周运动所满足的关系.加速度的大小为
(2)将具体的数字代入,则卫星的速率为 v = r ω =5×10 7 ×7.3×10 -5 m/s=3.65×10 3 m/s,其加速度的大小为 a = r ω 2 =5×10 7 ×(7.3×10 -5) 2 m/s 2 =2.66×10 -1 m/s 2 .
例1.2 已知质点的运动方程为 x =3 t -3 t 2 , y = t -4 t 3 /3(SI),求 t =1s时质点的速率与加速度的大小.
解: 对质点的运动方程求一阶时间导数,得到质点的运动速度为
v x =3-6 t , v y =1-4 t 2 .
对质点的运动速度再求一阶时间导数,得到质点运动的加速度为
a x =-6, a y =-8 t .
由质点运动的速度和加速度分量,可以得到速率和加速度的大小为
将 t =1s代入上式,得到
v
=3
m/s,
a
=10m/s
2
.
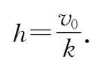
例1.3 跳水运动员以 v 0 的速度入水后受阻力而减速,加速度与速度成正比,比例系数为 k .则其入水深度是多少?
解: 以水面为原点,竖直向下为 x 轴正方向.依题意,有
由于
,代入上式得
两边积分,得
故深度为