



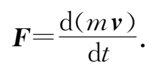
我们由牛顿第二定律推导出质点的动量定理.牛顿第二定律给出
由于质量 m 是一个常数,上式改写为
定义质量 m 和速度 v 的乘积为 动量 : p ≡ m v ,则上式可写为
这就是动量定理的微分形式(或无限小形式),其中
F
d
t
是d
t
时间内力的
元冲量
.上式两边对时间积分得
这就是动量定理的积分形式(或有限形式),其中
称为力在该过程中的
冲量
.
动量是一个矢量,它的方向与物体的运动方向一致; 冲量是力的时间积累 ,也是一个矢量.不论是微分形式还是积分形式的动量定理,它们都表明:作用于物体上的合外力的冲量等于物体动量的增量.二者不仅大小相等,方向也相同.
动量是对物体运动状态的一种描述方式.力可以改变运动状态,当然也就可以改变动量,只是这种改变是通过力的时间积累——冲量来改变的.所以,动量定理也是对力学的根本问题——力与运动的关系的定量回答.
动量定理常常用于研究物体的碰撞问题或在冲击力的作用下物体的运动问题.在这一类问题中,作用力的作用时间很短,很难得到作用力的准确表示形式.但物体之间的作用力的持续时间以及作用前后物体动量的改变都较为容易得到,这样根据动量定理,我们就可以求得作用力的平均值
:
而此时,动量定理可以用平均力表示为
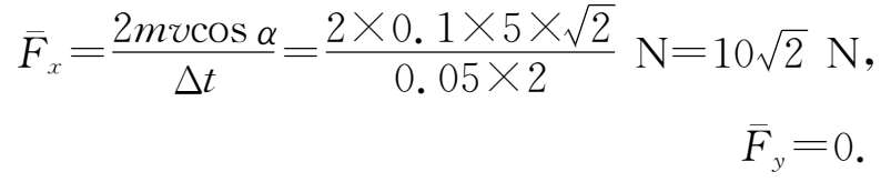
例2.3 一钢球的质量为0.1kg,以5m/s的速度与墙面相碰,速度的方向与墙面间的夹角为45°.设球与墙面的碰撞为完全弹性碰撞,且碰撞时间为0.05s.试求在碰撞时间内墙面受到的平均作用力.
图2-2 例2.3题图
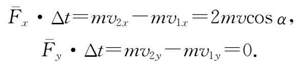
解: 如图2-2所示,选平面直角坐标系 O - xy ,则球在两坐标轴上的速度分量为
v 1 x =- v cos α , v 1 y = v sin α ,
v 2 x = v cos α , v 2 y = v sin α .
设-小球所受的平均作用力为
,由(2.7)式动量定理的分量形式,有
刚性球受到的平均作用力为
由牛顿第三定律得到,墙面受到的平均作用力为
所谓质点系是指若干个有相互作用的质点组成的系统.从理论上讲,任何一个不能简化为质点的物体都可以看成是由无数个质点组成,这些质点之间的相互作用使得这个物体不散架.当研究一个质点系的力学问题时,质点系内质点所受的力可以分为内力和外力.对于质点系内的一个质点而言,质点系内其他质点给它的作用力称为 内力 ,质点系以外的其他物体对该质点的作用力称为 外力 .
需要说明的是,内力和外力的区分不是绝对的,是由所研究或选取的具体的质点系决定的.例如,当我们研究太阳系内各个星体的运动时,行星之间以及行星与太阳之间的作用力就为内力.但我们如果仅研究地球和月亮之间的运动问题,除了地球与月亮之间的作用力外,其他星体的作用力都是外力.
由牛顿第三定律可知,质点系内质点间的相互作用内力一定是成对出现的,每对作用力的作用线一定沿着两质点连线的方向. 牛顿第三定律对研究质点系有着重要作用 .
考虑一个由 n 个质点组成的质点系.设质点系内第 j 个质点对第 i 个质点的作用力为 f ji ,且第 i 个质点受到的合外力为 F i ,则第 i 个质点受到的合力为
对该质点应用动量定理,有
其中 p i = m i v i 为第 i 个质点的动量.该质点是任取的,所以上式对所有质点都成立,即其中的 i 可以取1到 n 的所有整数.将(2.8)式对 i 求和,即对质点系内所有质点求和,有
注意上式中左边第二项,它表示将所有质点受到的所有内力矢量全部相加.根据牛顿第三定律,内力的出现总是成对的,且每对内力都是大小相等,方向相反,因此所有质点受到的所有内力的矢量和为零,即
将这一结果代入上式,有
这就是微分形式的 质点系动量定理 .将上式积分,得
这就是积分形式的质点系动量定理.该动量定理表明:质点系总动量的增量等于作用于质点系上的合外力的冲量.由上面的推导可知,质点系中 内力的作用只是在质点系内交换各质点的动量 ,而对质点系的总动量的改变没有任何贡献.
如果质点系受到的合外力为零,即
那么,根据质点系动量定理(2.9)式或(2.10)式,有
其中
为质点系的总动量.上式说明,当质点系所受的合外力为零时,尽管质点系内各质点的动量可以交换,但质点系的总动量保持不变一.这结论称为质点系的
动量守恒定律
.
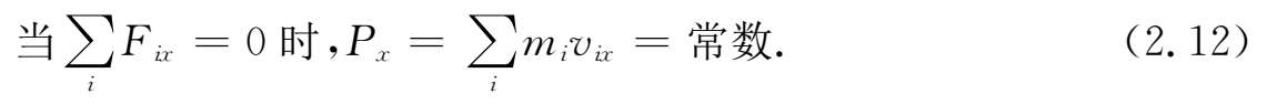
式(2.11)是严格的动量守恒.在实际问题中,可能会碰到其他情况.如果质点系受到的合外力只是在某个方向上为零,这时质点系动量守恒定律就化为在这个方向上的动量守恒定律.例如,质点系在 x 方向上所受的合外力为零,则质点系动量的 x 分量守恒:
有时质点系受到的合外力并不严格为零,但远小于内力,且过程很短,此时可以认为系统的总动量近似守恒.空中物体爆炸前后就可以按这种方式处理.
需要注意的是,上面我们是从牛顿定律推导出的动量守恒定律,但我们不能认为动量守恒定律是牛顿定律的推论.普遍的动量守恒定律并不依赖于牛顿定律.动量守恒定律是自然界的一个普遍定律,它在牛顿定律不成立时仍然成立.