购买
下载掌阅APP,畅读海量书库
立即打开
畅读海量书库
扫码下载掌阅APP

2.1.3 组合梁的截面设计

1.组合梁施工阶段验算

组合梁施工时,若钢梁下无临时支撑,混凝土硬结前所有荷载均由钢梁承受,包括混凝土重量、压型钢板重量、钢梁自重及施工可变荷载。当梁没有洞口削弱,抗剪强度可以不验算;当采用轧制型钢,局部稳定无需验算。钢梁仅需进行抗弯强度、整体稳定性及挠度验算。

纵向组合梁均按铰接设计,按简支梁进行强度和变形验算。

(1)抗弯强度验算

式中 γ ——截面塑性发展系数,对工字形截面,当截面板件宽厚比等级为S4或S5级时,截面塑性发展系数 γ =1.0,当截面板件宽厚比等级为S1级、S2级、S3级时,对 x 轴(强轴), γ =1.05;

W n x ——对 x 轴的净截面模量,当截面板件宽厚比等级为S1级、S2级、S3级或S4级时,应取全截面模量,当截面板件宽厚比等级为S5级时,应取有效截面模量;

f ——钢材抗弯强度设计值。

(2)整体稳定性验算 当铺板(各种钢筋混凝土板和钢板)密铺在梁的受压翼缘上与其牢固相连,能阻止梁受压翼缘的侧向位移时,可不计算梁的整体稳定性。其他情况,应按下式验算最大刚度主平面内受弯构件的整体稳定性:

式中 W x ——按受压最大纤维确定的梁毛截面模量,当截面板件宽厚比等级为S1级、S2级、S3级或S4级时,应取全截面模量,当截面板件宽厚比等级为S5级时,应取有效截面模量;

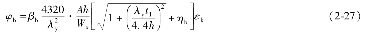
φ b ——梁的整体稳定性系数,对于等截面焊接工字形和轧制H型钢简支梁的整体稳定性系数 φ b 应按下式计算

β b ——梁整体稳定的等效临界弯矩系数,按表2-3采用;

λ y ——梁在侧向支承点间对截面弱轴 y-y 的长细比, λ y = l 1 / i y

l 1 ——梁受压翼缘侧向支承点之间的距离;

i y ——梁毛截面对 y 轴的回转半径;

A ——梁的毛截面面积;

h t 1 ——梁的截面全高和受压翼缘厚度;

η b ——截面不对称影响系数,应按下式计算

对双轴对称截面

对单轴对称工字形截面

加强受压翼缘

加强受拉翼缘

I 1 I 2 ——受压翼缘、受拉翼缘对 y 轴的惯性矩。

当按式(2-27)算得的 φ b >0.6时,应用下式计算的 值代替 φ b 值:

表2-3 H型钢和等截面工字形简支梁的系数 β b

注:1. ξ 为参数, ,其中 b 1 t 1 分别为受压翼缘的宽度、厚度; h 为梁截面高度; l 1 为受压翼缘侧向支承点间的距离(梁的支座处视为有侧向支承),对跨中无侧向支承点的梁, l 1 为其跨度。

2.表中项次3、4和7的集中荷载是指一个或少数几个集中荷载位于跨中附近的情况,对其他情况的集中荷载,应按表中项次1、2、5、6内的数值采用。

3.表中项次8、9的 β b ,当集中荷载作用在侧向支承点处时,取 β b =1.2。

4.荷载作用在上翼缘是指荷载作用点在翼缘表面,方向指向截面形心;荷载作用在下翼缘是指荷载作用点在翼缘表面,方向背向截面形心。

5.对 α b >0.8的加强受压翼缘工字形截面,下列情况的 β b 值应乘以相应的系数:

项次1 当 ξ ≤1.0时,乘以0.95;

项次3 当 ξ ≤0.5时,乘以0.90;当0.5< ξ ≤1.0时,乘以0.95。

(3)挠度验算 简支梁跨中最大挠度 δ 按下式计算:

2.组合梁使用阶段验算

(1)一般规定

1)混凝土翼板的有效宽度 b e 。组合梁由钢梁与钢筋混凝土板或压型钢板混凝土组合板组成,通过在钢梁翼缘处设置的抗剪连接件,使梁与板能成为整体共同工作。在进行组合梁计算时,混凝土翼板的有效宽度 b e (图2-10)按下式确定:

图2-10 混凝土翼板的计算宽度

a)不设板托的组合梁 b)设板托的组合梁

边梁

中间梁

式中 b 0 ——托板顶部的宽度,当有托板时,取托板顶部的宽度,当托板倾角<45°时,应按45°计算托板顶部的宽度;当无托板时,则取钢梁上翼缘的宽度;当混凝土板与钢梁不直接接触(如之间由压型板分隔)时,取栓钉的横向间距,仅有一列栓钉时,取0;

b 1 ——梁外侧的翼板计算宽度,当塑性中和轴位于混凝土板内时,取梁等效跨径 l c 的1/6,且 b 1 还不应超过翼板实际外伸宽度 s 1

b 2 ——梁内侧的翼板计算宽度,当塑性中和轴位于混凝土板内时,取梁等效跨径 l c 的1/6,且 b 2 不应超过相邻钢梁上翼缘或板托间净距 s 0 的1/2;

l c ——等效跨径,对于简支组合梁,取为简支组合梁的跨度。对于连续组合梁,中间跨正弯矩区取为0.6 l ,边跨正弯矩区取为0.8 l l 为组合梁跨度,支座负弯矩区取为相邻两跨跨度之和的20%;

h c1 ——混凝土翼板厚度,当采用压型钢板混凝土组合板时,等于组合板的总厚度减去压型钢板的肋高,当计算翼板的有效宽度时,可取有肋处的总厚度。

2)钢梁翼缘及腹板的板件宽厚比限值。为了避免因板件局部失稳而降低构件的承载力,以及保证组合梁的塑性中和轴通过钢梁截面,应限制钢梁翼缘及腹板的板件宽厚比。组合梁中钢梁截面的板件宽厚比可偏于安全地按以下塑性设计规定取用:

①形成塑性铰并发生塑性转动的截面,其截面板件宽厚比等级应采用S1级,即

②最后形成塑性铰的截面,其截面板件宽厚比等级不应低于S2级截面要求,即

③其他截面板件宽厚比等级不应低于S3级截面要求,即

3)计算组合梁时混凝土翼板的换算宽度 b eq 。计算组合梁刚度时,需要将受压混凝土翼板的有效宽度 b e 折算成与钢材等效的换算宽度 b eq ,以构成单质的钢材换算截面。计算组合梁刚度时混凝土翼板的换算宽度 b eq 按下式计算:

荷载的标准组合

荷载的准永久组合

4)组合梁混凝土翼板的计算厚度。

①无压型钢板的普通钢筋混凝土翼板,其计算厚度取楼板厚度 h 0 (图2-10)。

②压型钢板—混凝土翼板,其计算厚度取压型钢板顶面以上的混凝土厚度 h c (图2-7)。

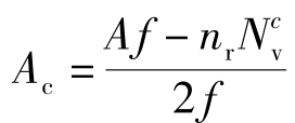
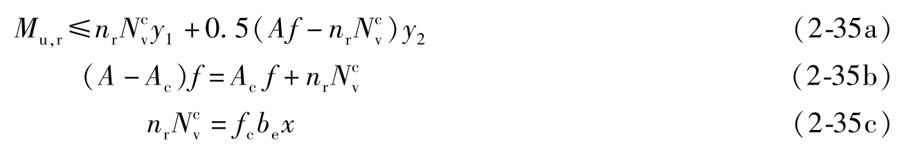
(2)部分抗剪连接组合梁的强度计算 假定混凝土翼板与钢梁之间为具有可靠连接的整体组合梁,同时在叠合面上剪跨区段内的纵向剪力完全由抗剪栓钉承担,且栓钉数量按计算要求设置,此时组合梁称为完全抗剪连接的组合梁。当上述抗剪栓钉的实际设置数量 n r 小于完全抗剪连接的计算数量 n f ,但 n r / n f >50%时,此时组合梁称为部分抗剪连接的组合梁。

部分抗剪连接的组合梁可用于承受静荷载作用且集中荷载值不大,以及跨度不超过20m的等截面组合梁。

用压型钢板混凝土组合板作为翼板的组合梁,宜按部分抗剪连接组合梁设计。

1)正弯矩作用区段(图2-11)的抗弯强度。

由式(2-35b)可得:

由式(2-35c)可得:

图2-11 正弯矩作用下部分抗剪连接组合梁的计算简图

式中 M u,r ——正弯矩设计值;

n r ——部分抗剪连接时,最大弯矩验算截面到最近零弯矩点之间的抗剪连接件数目;

——每个抗剪连接件的纵向抗剪承载力;

A ——钢梁的截面面积;

y 1 ——钢梁受拉区截面形心至混凝土翼板受压区截面形心的距离;

y 2 ——钢梁受拉区截面形心至钢梁受压区截面形心的距离。

2)负弯矩作用区段(图2-12)的抗弯强度。

式中 M′ ——负弯矩设计值;

M s ——钢梁全塑性受弯承载力设计值,按下式计算

S 1 S 2 ——钢梁塑性中和轴(平分钢梁面积的轴)以上和以下截面对该轴的面积矩;

f ——按塑性设计值时,钢梁的抗拉、抗压强度设计值;

A st ——负弯矩区混凝土翼板有效宽度范围内的纵向钢筋截面面积;

f st ——钢筋抗拉强度设计值;

y 3 ——纵向钢筋截面形心至组合梁塑性中和轴的距离;

y 4 ——组合梁塑性中和轴至钢梁塑性中和轴的距离,当组合梁塑性中和轴在钢梁腹板内时, y 4 = A st f st /(2 t w f );当该中和轴在钢梁翼缘内时,可取 y 4 等于钢梁塑性中和轴至腹板上边缘的距离。

n r 意义同前。

图2-12 负弯矩作用下部分抗剪连接组合梁的计算简图

3)抗剪强度。组合梁截面上的全部剪力 V 假定仅由钢梁腹板承受,按下式计算:

式中 h w t w ——钢梁的腹板高度和厚度;

f v ——钢材抗剪强度设计值。

(3)抗剪连接件的计算

1)抗剪连接件承载力设计值。当组合梁的抗剪连接件采用栓钉时,一个抗剪连接件的承载力设计值由下式确定:

式中 E c ——混凝土弹性模量;

A s ——圆柱头焊钉(栓钉)钉杆截面面积;

f u ——圆柱头焊钉(栓钉)极限抗拉强度设计值,需满足《电弧螺柱用圆柱头焊钉》(GB/T 10433—2002)的要求;

f c ——混凝土抗压强度设计值;

β v =1.0,以及栓钉材料性能等级为4.6级( f u =359N/mm 2 )时,按式(2-38)算得的一个栓钉的受剪承载力设计值见表2-4。由表2-4可见,一般楼板混凝土强度等级为C30或高于C30时,栓钉的受剪承载力取决于 =0.7 β v A s f u 算得的数值。

表2-4 β v =1.0时栓钉的抗剪承载力设计值

2)抗剪连接件承载力的折减。对于用压型钢板混凝土组合板做翼板的组合梁(图2-13),其栓钉连接件的抗剪承载力设计值 应分别按以下两种情况予以降低。

①当压型钢板肋平行于钢梁布置时(图2-13a), b w / h e <1.5时,拴钉连接的抗剪承载力设计值 应乘以折减系数 β v 后取用。 β v 值按下式计算:

式中 b w ——混凝土凸肋的平均宽度,当肋为上窄下宽时,取上部宽度;

h e ——混凝土凸肋的高度;

h d ——拴钉高度。

②当压型钢板肋垂直于钢梁布置时(图2-13b),栓钉连接的抗剪承载力设计值 应乘以折减系数 β v 后取用。 β v 值按下式计算:

图2-13 用压型钢板混凝土组合板做翼缘的组合梁

a)肋与钢梁平行的组合梁截面 b)肋与钢梁垂直的组合梁截面 c)压型钢板组合板的剖面

式中 n 0 ——在梁某截面处,一个肋中布置的拴钉数,当多于3个时,按3个计算。

位于负弯矩区段,抗剪连接件的抗剪承载力设计值 应乘以折减系数 β v

中间支座两侧 β v =0.9

悬臂部分 β v =0.8

3)抗剪连接件的设计。当采用柔性抗剪连接件时,其设计步骤如下:

①将梁划分为若干个区段,每个区段以弯矩绝对值最大点及支座为界限,如图2-14所示。

图2-14 连续梁剪跨区划分

②计算每个剪跨区段内钢梁与混凝土翼板交界面上的纵向剪力 V s

正弯矩最大点到边支座区段,即 m 1 区段

正弯矩最大点到中支座(负弯矩最大点)区段,即 m 2 m 3 区段

③计算每个剪跨区段内需要的连接件总数。当按完全抗剪连接件设计时, ;当按部分抗剪件设计时,连接件数 n f 不得少于0.5 n r

求得各剪跨区段的连接件总数后,可在对应的剪跨区内均匀布置。

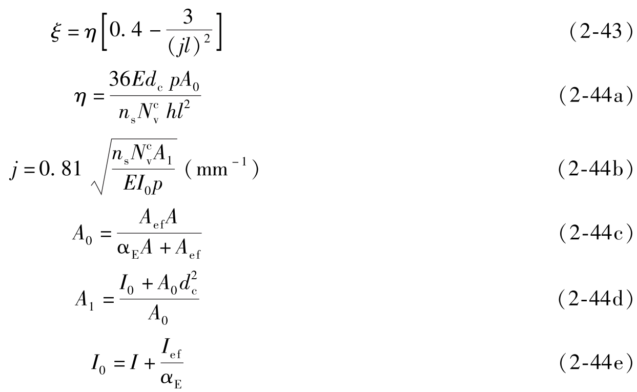
(4)组合梁挠度计算 组合梁的挠度 δ 包括施工阶段产生的挠度 δ 1 和使用阶段产生的挠度 δ 2 两部分。使用阶段组合梁的挠度 δ 2 应分别按荷载的标准组合和准永久组合进行计算,以其中的较大值作为依据。挠度可按结构力学方法进行计算,并考虑混凝土板剪力滞后、混凝土开裂、混凝土收缩徐变、温度效应等因素的影响。仅受正弯矩作用的组合梁,其抗弯刚度应取考虑滑移效应的折减刚度;对于连续组合梁应按变截面刚度梁进行计算,在距中间支座两侧各0.15 l l 为梁的跨度)范围内,不计受拉区混凝土对刚度的影响,但宜计入翼板有效宽度 b e 范围内纵向钢筋的作用,其余区段仍取折减刚度。

组合梁考虑滑移效应的折减刚度 B 按下式确定:

式中 E ——钢梁的弹性模量;

I eq ——组合梁的换算截面惯性矩:对荷载的标准组合,可将截面中的混凝土翼板有效宽度除以钢与混凝土弹性模量的比值 α E 换算为钢截面宽度后,计算整个截面的惯性矩;对荷载的准永久组合,则除以2 α E 进行换算;对于钢梁与压型钢板混凝土组合板构成的组合梁,取其较弱截面的换算截面进行计算,且不计压型钢板的作用。

ξ ——刚度折减系数,按下式计算(当 ξ ≤0时,取 ξ =0)

式中 A ef ——混凝土翼板截面面积,对压型钢板混凝土组合板的翼板,取其较弱截面的面积,且不考虑压型钢板;

I ef ——混凝土翼板截面惯性矩,对压型钢板混凝土组合板的翼板,取其较弱截面的面积,且不考虑压型钢板;

A I ——钢梁截面面积和截面惯性矩;

d c ——钢梁截面形心到混凝土翼板截面(对压型钢板混凝土组合板为其较弱截面)形心的距离;

h ——组合梁截面高度;

l ——组合梁的跨度(mm);

——抗剪连接件的承载力设计值;

p ——抗剪连接件的纵向平均间距;

n s ——抗剪连接件在一根梁上的列数;

α E ——钢梁与混凝土弹性模量的比值,当按荷载的准永久值组合进行计算时,式(2-44c)和式(2-44e)中的 α E 应乘以2。

组合梁的挠度 δ 应符合下式要求:

式中[ δ ]——组合梁的挠度限值,取[ δ ]= l /250。

(5)组合梁负弯矩区段裂缝计算 组合梁负弯矩区段混凝土在正常使用极限状态下考虑长期作用影响的最大裂缝宽度 w max 应按《混凝土结构设计规范》(GB 50010—2010)第7.1.2条的规定按轴心受拉构件进行计算。

按荷载效应标准组合计算的开裂截面纵向受拉钢筋的应力 σ sk

式中 I cr ——由纵向普通钢筋与钢梁形成的组合截面的惯性矩;

y s ——钢筋截面重心至钢筋和钢梁形成的组合截面中和轴的距离;

M k ——钢与混凝土形成组合截面之后,考虑了弯矩调幅的标准荷载作用下支座截面负弯矩组合值,可按下式计算

式中 M c ——钢与混凝土形成组合截面之后,标准荷载作用下按照未开裂模型进行弹性计算得到的连续组合梁中支座负弯矩值;

α s ——正常使用极限状态连续组合梁中支座负弯矩调幅系数,其取值不宜超过15%。

3.构造要求

(1)压型钢板—混凝土组合板的构造要求

1)连续组合板按简支板设计时,抗裂钢筋截面面积不应小于混凝土截面面积的0.2%;连续钢筋长度,从支承边缘算起,不应小于跨度的1/6,且必须与不少于5根分布钢筋相交。

2)组合楼板在钢梁上的支承长度不应小于75mm,在混凝土梁上的支承长度不应小于100mm(图2-15)(图2-15中括号内数字适合于组合楼板支承在混凝土梁上)。当钢梁按组合梁设计时,组合楼板在钢梁上的最小支承长度应符合《钢结构设计标准》(GB 50017—2017)的构造规定。

图2-15 组合楼板的支承要求

a)边梁 b)中间梁,压型钢板不连续 c)中间梁,压型钢板连续

3)组合楼板与钢梁之间应设有抗剪连接件。一般可采用圆柱头焊钉连接,其设置构造要求应满足《钢结构设计标准》(GB 50017—2017)的相关规定。

(2)组合梁构造要求

1)组合梁的截面高度不宜超过钢梁截面高度的2倍;混凝土板托高度 h c 2 不宜超过翼板厚度 h c1 的1.5倍。

2)组合梁边梁混凝土翼板的构造应满足如图2-16所示的要求。有托板时,伸出长度不宜小于 h c2 ;无托板时,应同时满足伸出钢梁中心线不小于150mm且伸出钢梁翼缘边不小于50mm的要求。

3)抗剪连接件的构造要求。

①圆柱头焊钉连接件钉头下表面高出翼板底部钢筋顶面不宜小于30mm。

②连接件沿梁跨度方向的最大间距不应大于混凝土翼板(包括板托)厚度的3倍,且不大于300mm;当组合梁受压上翼缘不符合塑性调幅设计法要求的宽厚比限值,但连接件最大间距满足如下要求时,仍能采用塑性方法进行设计:

图2-16 边梁构造图

a.当混凝土板沿全长和组合梁接触(如现浇楼板):22 t f

b.当混凝土板与组合梁部分接触(如压型钢板横肋垂直于钢梁):15 t f

c.同时连接件的外侧边缘与钢梁翼缘边缘之间的距离还不应大于9 t f (其中, t 为钢梁受压上翼缘宽度)。

③连接件的外侧边缘与钢梁翼缘边缘之间的距离不应小于20mm。

④连接件的外侧边缘至混凝土翼板边缘之间的距离不应小于100mm。

⑤连接件顶面的混凝土保护层厚度不应小于15mm。

4)圆柱头焊钉连接件除满足上述要求外,还应符合下列规定:

①当焊钉位置不正对钢梁腹板时,如钢梁上翼缘承受拉力,则焊钉钉杆直径不应大于钢梁上翼缘厚度的1.5倍;如钢梁上翼缘不承受拉力,则焊钉钉杆直径不应大于钢梁上翼缘厚度的2.5倍。

②焊钉长度不应小于其杆径的4倍。

③焊钉沿梁轴线方向的间距不应小于杆径的6倍;垂直于梁轴线方向的间距不应小于杆径的4倍。

④用压型钢板做底模的组合梁,焊钉钉杆直径不宜大于19mm,混凝土凸肋宽度不应小于焊钉钉杆直径的2.5倍;焊钉高度 h d 应符合 h d h e +30的要求。 HyUiUWSPb1Ij7pOmHCK4FC5Wf0kXUaQGwt+uNg/IeEULLXxzAwqCYEG9W1cQR7RU

点击中间区域
呼出菜单
上一章
目录
下一章
×