



出行链(Trip Chain)描述一个人一天不同出行活动的顺序,同时也可以反映一个人出行在空间上的活动规律。对出行链的定义常见有以下几种:
(1)由一个或多个出行构成,其起点和终点主要是家、单位等地方(新泽西1995出行调查报告);
(2)由若干个出行形成的链(Kitamura R,1984);
(3)一系列在空间和时间相互连接的出行构成了出行链(Liao YC,1997);
(4)指的是个人为完成一项或多项活动(多目的出行),在一定时间顺序上不同出行目的的连接形式(褚浩然,2006) [25] 。
出行链在描述居民出行的过程中包含了大量的信息,其中包括有时间分布信息、空间分布信息和出行方式特征等信息,且这些信息彼此之间相互联系、相互作用,这一载有信息的整个过程被称为出行链。出行链包含的信息如表5-1所示。
表5-1 出行链包含信息
这些信息的相互作用贯穿在整个出行链的过程中。例如,出行者在选择出行目的时,出行方式的选择是同步进行的;时间和空间对出行具有约束性,一个出行链的过程中,前一次出行交通方式的选择对后一次出行的方式选择有很大的影响,比如说乘坐公共汽车出门的人,很少会开着小汽车回家,即便该出行者拥有小汽车;或者说开车出门的人很少会乘坐公共汽车回来,因为小汽车、自行车等私人交通方式属于不可转移的交通方式。
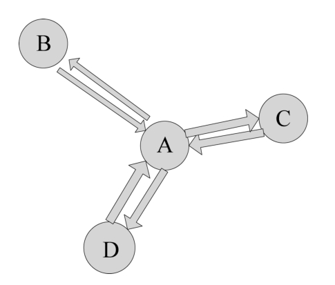
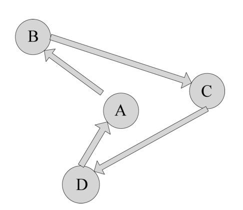
出行链其实是多个出行的有效集成,随着社会和经济的发展,特别是交通运输系统的迅速发展,私人小汽车的逐渐普及,使得个体出行和活动的空间不断扩大,出行需求不断增加,出行行为也变得越来越复杂多变。其中最为显著的是,个体为了减少出行成本,倾向将多个出行以出行链的形式进行链接,如图5-1、图5-2对比说明了个体在参与相同数量活动下,如果多个活动以链接方式进行,会大大减少出行的数量,减少路上消耗时间,加快生活节奏,提高时间的有效利用率。
图5-1 非链接模式
图5-2 链接模式
传统的出行行为分析方法,一般是以单次出行(Trip)作为分析单位,个体一日的各个出行被认为是互不影响,难以反映个体的实际选择行为。另外,当影响活动主体选择行为的社会和家庭背景因素发生变化时,传统出行行为分析方法很难反映其对活动主体选择行为所造成的影响。基于出行链的出行行为分析结果内容丰富,有利于理解各种影响因素与个体活动空间的选择、活动时间的选择、活动计划的安排之间的关系。
由于城市空间的扩张和出行目的的多元化,人们为追求一天中所有出行效用的最大化,倾向于将多次出行以链的形式结合起来。选择适当的出行链出行,不仅降低了出行需求的数量,同时也节约了花费在路上的出行时间,既有利于出行者整个出行活动过程的效用最大化,同时也有利于缓解城市交通拥堵,该方法更侧重考虑了出行和活动的时空约束、家庭结构、家庭背景、个人角色等因素对个体出行行为的影响,这种出行链分析方法更加贴近出行者个体实际生活中的出行决策行为。