



正态随机变量是一类重要的随机变量,1.3节给出了正态随机变量的定义,本节介绍多维正态随机变量的理论。
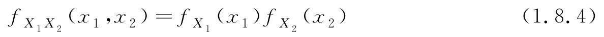
设有两个随机变量 X 1 、 X 2 ,如果它们的联合概率密度为
其中
、
、
、
、
r
为常数,则称
X
1
、
X
2
是联合正态的。可见二维联合概率密度由参数
、
、
、
、
r
确定,二维概率密度图形如图1.11所示。
图1.11 二维正态概率密度
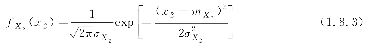
可以证明,如果 X 1 、 X 2 是联合正态的,则 X 1 、 X 2 的边缘分布也是正态的,且
如果 r =0,即 X 1 和 X 2 是不相关的,那么
所以 X 1 和 X 2 是相互独立的。
二维正态随机变量的特征函数为
由式(1.4.13)可得
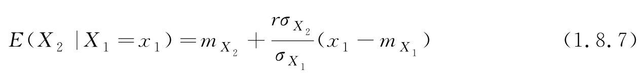
所以条件均值为
条件方差为
如果
r
=0,则
。
运用矩阵表示形式,不仅可以使二维联合概率密度的表示形式变得简洁,而且可以很容易地推广到多维的情况。式(1.8.1)的二维联合正态概率密度可表示为
其中
x
=[
x
1
x
2
]
T
,
,
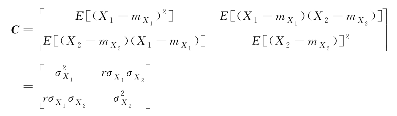
C
为随机变量
X
1
和
X
2
的协方差矩阵,可表示为
det(·)表示行列式,且
为协方差矩阵的行列式。二维特征函数为
式中, μ =[ μ 1 μ 2 ] T 。
有了二维正态联合概率密度的表达式,可以很容易地推广到多维正态随机变量的情况。设有 n 个随机变量 X 1 , X 2 ,…, X n ,如果 n 维联合概率密度为
式中
C 为 n 个随机变量的协方差矩阵, c ij =Cov( X i , X j )( i , j =1,2,…, n )为 X i 与 X j 的协方差,则称 X 1 , X 2 ,…, X n 是联合正态随机变量。
X 1 , X 2 ,…, X n 的 n 维联合特征函数为
式中 μ =[ μ 1 , μ 2 ,…, μ n ] T 。如果 X 1 , X 2 ,…, X n 彼此不相关,那么 c ij =0( i ≠ j ),即
这时
可见 X 1 , X 2 ,…, X n 是相互独立的,也就是说,对于正态随机变量,不相关与独立等价。
设有一 n 维正态随机矢量 X =[ X 1 , X 2 ,…, X n ] T ,定义如下变换:
其中
随机矢量 Y 的概率密度为
式中, x =[ x , x 2 ,…, x n ] T , y =[ y , y 2 ,…, y n ] T , J 为雅可比行列式:
所以
可见,经过式(1.8.16)的变换后, Y 仍服从正态分布,其均值为 Lm ,协方差阵为 LCL T 。