购买
下载掌阅APP,畅读海量书库
立即打开
畅读海量书库
扫码下载掌阅APP

2.4 复数及其运算

复数对于数学本身的发展有着极其重要的意义,MATLAB提供了丰富的复数函数用于复数运算。

2.4.1 复数的表示

数学上把形如 a + b i( a , b 均为实数)的数称为复数。其中, a 称为实部(real part),记作Rez= a b 称为虚部(imaginary part),记作Imz= b ;i称为虚数单位。

当虚部等于0(即 b =0),这个复数可以视为实数;当 z 的虚部不等于0,实部等于0(即 a =0且 b ≠0)时, z = b i,常称 z 为纯虚数。

例2-27: 显示复数。

MATLAB程序如下:

    >> clear             % 清除工作区的变量
    >> 1+2i              % 直接输入复数
    ans =
       1.0000 + 2.0000i
    >> 2-3i
    ans =
       2.0000 - 3.0000i
    >> 5+6j
    ans =
       5.0000 + 6.0000j
    >> 2i
    ans =
       0.0000 + 2.0000i
    >> -3i
    ans =
       0.0000 - 3.0000i

2.4.2 复数的基本元素函数

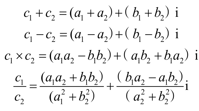
若存在复数 c 1 = a 1 + b 1 i和复数 c 2 = a 2 + b 2 i ,那么它们的加、减、乘、除运算定义为

当两个复数进行二元运算时,MATLAB将会用上面的法则进行加法、减法、乘法和除法运算。

例2-28: 复数运算。

MATLAB程序如下:

    >> clear             % 清除工作区的变量
    >> A=1+2i;           % 创建两个变量A和B,分别赋值为复数
    >> B=3+5i;
    >> C=A+B             % 复数相加
    C =
       4.0000 + 7.0000i
    >> C=A-B             % 复数相减
    C =
      -2.0000 - 3.0000i
    >> C=A*B             % 复数相乘
    C =
      -7.0000 +11.0000i
    >> C=A/B             % 复数相除
    C =
       0.3824 + 0.0294i

MATLAB提供的复数基本函数及说明如表2-25所示。

表2-25 复数基本函数及说明

2.4.3 复数的操作函数

1.复数的模

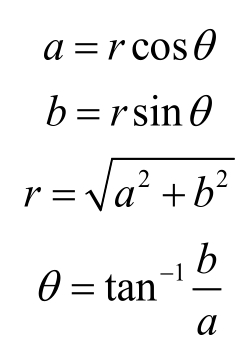
除基本表示方式外,复数还有另一种表达方式,即极坐标表示方式,具体为

z = a + b i = r θ

其中, r 代表复数 z 的模, θ 代表辐角。直角坐标中的 a , b 和极坐标 z , θ 之间的关系为

这里,调用abs函数可直接得到复数的模。

例2-29: 复数求模运算。

MATLAB程序如下:

    >> clear       % 清除工作区的变量
    >> A=1+2i;     % 创建变量A,赋值为复数
    >> B=angle(A)  % 求复数的幅角θ
    B =
        1.1071
    >> C=abs(A)    % 求复数的模
    C =
        2.2361

2.复数的共轭

如果复数 c = a + b i,那么该复数的共轭复数为 d = a - b i。

例2-30: 复数求共轭运算。

MATLAB程序如下:

    >> clear      % 清除工作区的变量
    >> A=1+2i;    % 创建变量A,赋值为复数
    >> B=real(A)  % 得到复数的实数部分
    B =
         1
    >> C=imag(A)       % 得到复数的虚数部分
    C =
         2
    >> D=conj(A)       % 得到复数的共轭复数
    D =
       1.0000 - 2.0000i

3.构造复数

使用函数complex(a,b)可以构造复数;直接输入 a + b i形式的数值,也可以得到复数。

例2-31: 复数构造运算。

MATLAB程序如下:

    >> clear             % 清除工作区的变量
    >> complex(1,3)      % 使用函数构造复数
    ans =
       1.0000 + 3.0000i
    >> 1+3i              % 直接输入复数
    ans =
       1.0000 + 3.0000i

4.实数矩阵

若复数矩阵中的元素的虚部均为0,即显示为

c = a + bi

其中, b =0,可以简写为

c = a

则该复数矩阵称为实数矩阵。调用isreal(X)函数显示结果为1,反之显示为0。单个复数视为单元素复数矩阵处理。

例2-32: 复数转换为实数运算。

MATLAB程序如下: ZBsmmIHKjbQlRqU59wEc+mGiqHiNGqmEUtTszZ+6sbkM/qaCC/xgC2XmriYHa1LG

    >> clear      % 清除工作区的变量
    >> A=1+2i;    % 创建变量A,赋值为复数
    >> isreal(A)  % 判断复数A是否为实数矩阵
    ans =
    logical
         0
    >> M=1        % 创建变量M,赋值为实数
    M =
         1
    >> isreal(M)  % 判断M是否为实数矩阵
    ans =
    logical
         1
点击中间区域
呼出菜单
上一章
目录
下一章
×