



数值计算过程中会出现各种误差,它们可分为两大类:一类是由于算题者在工作中的粗心大意而产生的,例如笔误将886误写成868,以及误用公式等,这类误差称为“过失误差”或“疏忽误差”。它完全是人为造成的,只要在工作中仔细、谨慎,是完全可以避免的,我们就不再讨论它;而另一类为“非过失误差”,在数值计算中则往往是无法避免的,例如近似值带来的误差。在科学计算中误差来源一般有以下4个方面:模型误差、观测误差、截断误差和舍入误差等。
在建模过程中,欲将复杂的物理现象抽象、归结为数学模型,往往只需忽略一些次要因素的影响,而对问题做某些必要的简化。这样建立起来的数学模型实际上必定只是所研究的复杂客观现象的一种近似的描述,它与真正客观存在的实际问题之间有一定的差别,这种误差称为模型误差。
在建模和具体运算过程中所用的一些初始数据往往都是通过人们实际观察、测量得来的,由于受到所用测量工具的限制或在数据的获取时受到随机因素的影响,这些数据都只能是近似的,即存在着误差,这种误差称为观测误差。
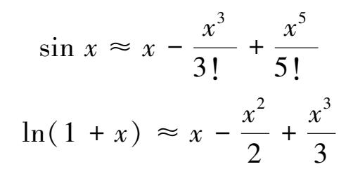
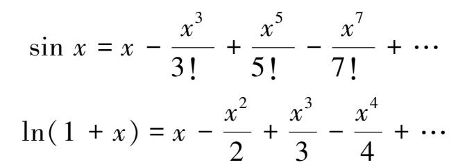
在不少数值运算中常遇到超越计算,如微分、积分和无穷级数求和等,它们需用极限或无穷过程来求得。然而计算机却只能完成有限次算术运算和逻辑运算,因此需将解题过程化为一系列有限的算术运算和逻辑运算。这样就要对某种无穷过程进行“截断”。这种用有限过程代替无限过程所引起的误差,称为截断误差或方法误差。例如,函数sinx和ln(1+x)可分别展开为x的幂级数:
若取级数的起始若干项的部分和作为
时函数值的近似计算公式,例如取
则由于它们的第4项和以后各项都舍弃了,自然产生了所谓的截断误差。
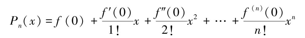
一般地,函数f(x)用泰勒(Taylor)多项式
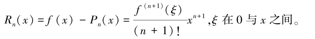
近似代替,则截断误差是
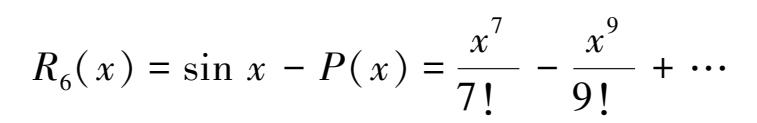
例如,根据泰勒公式,用多项式
计算sinx的截断误差是
由判别交错级数收敛性的莱布尼茨准则知,其截断误差的绝对值
。
在数值计算过程中还会用到一些无穷小数,例如无理数和有理数中某些分数化出的无限循环小数,如
等。而计算机受机器字长的限制,它所能表示的数据只能有一定的有限位数,这时就需把数据按四舍五入成一定位数的近似的有理数来代替。由此引起的误差称为舍入误差。
综上所述,数值计算中除了可以完全避免的过失误差外,还存在难以回避的模型误差、观测误差、截断误差和舍入误差。本书主要考虑后两种误差。