



1.已知函数f(x)满足
利用拉格朗日插值和牛顿插值求f(1.54)。
2.用拉格朗日插值和牛顿插值构造通过点(-3,1),(1,2),(3,-2),(6,10)的三次插值多项式,并验证插值多项式的唯一性。
3.已知f(x)的函数值f(1.0)=0.24255,f(1.3)=1.59751,f(1.4)=3.76155。试用拉格朗日插值求f(1.25)的近似值。
4.已知
(1)构造差商表,求牛顿插值函数;
(2)求函数y的分段线性插值函数。
5.利用差分的性质证明:
6.对下列数据作出分段线性插值函数,并计算f(1.2)的近似值。
7.已知函数f(x)的数据表
求一次数不超过3次的Hermite插值多项式H 3 (x),使H 3 (x i )=y i ,(i=0,1,2),H ′3 (x)=y ′1 。
8.已知数据表
求满足边界条件f′(-1)=0.5,f′(2)=-0.5的三次样条函数,并求f(1.5)的近似值。
9.已知
求满足边界条件S″(0)=1,S″(3)=0的三次样条插值函数。
10.在[-4,4]上给出f(x)=e x 的等距节点函数表,若用抛物线插值求其近似值,要使误差不超过10 -5 ,问使用函数表的步长应取多少?(计算取5位小数)
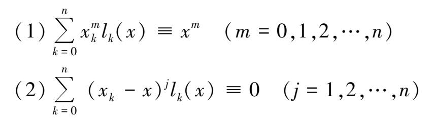
11.设l k (x)为n+1个互异节点x 0 ,x 1 ,…,x n 的拉格朗日插值基函数,试证明: