购买
下载掌阅APP,畅读海量书库
立即打开
畅读海量书库
扫码下载掌阅APP

2.6 应用程序举例

例2.13 用MATLAB软件计算例2.3。

①线性插值输入程序

②抛物线插值输入程序

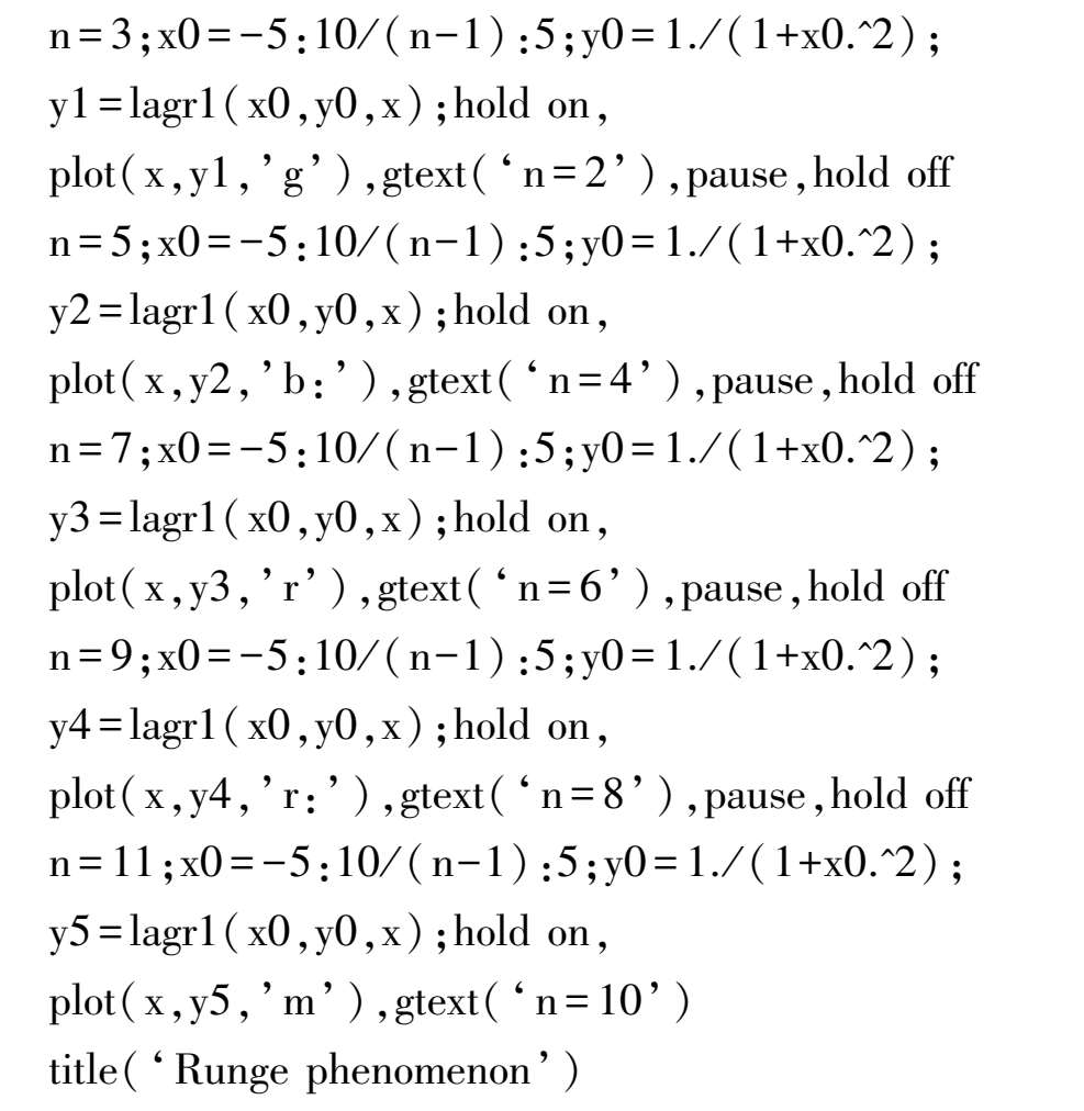
例2.14 画出 在区间[-5,5]上的n次拉格朗日插值多项式L n (x)(n=2,4,6,8,10)的图形。(观察高次插值多项式的振荡现象)

输入程序

结果为

图 2.4 龙格现象显示 +Pp4wfPlVCuiD2V/RUoQ708X6SxbAfRB2baUPoX8JP3WH46z5eimEq3Lbbl5IzrP

点击中间区域
呼出菜单
上一章
目录
下一章
×

打开