



不少实际的插值问题不但要求在节点上函数值相等,而且还要求对应的导数值也相等,甚至要求高阶导数也相等。具有节点的导数值约束的插值多项式就是埃尔米特(Hermite)插值多项式。下面只讨论函数值与导数值个数相等的情况。
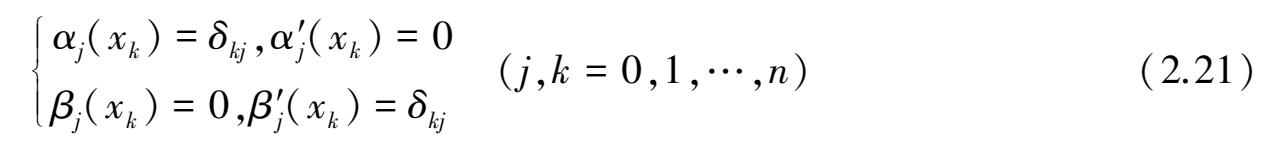
设在节点a=x 0 <x 1 <…<x n =b上,y j =f(x j ),m j =f′(x j )(j=0,1,…,n),要求插值多项式H(x),满足条件
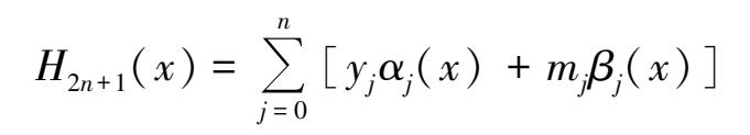
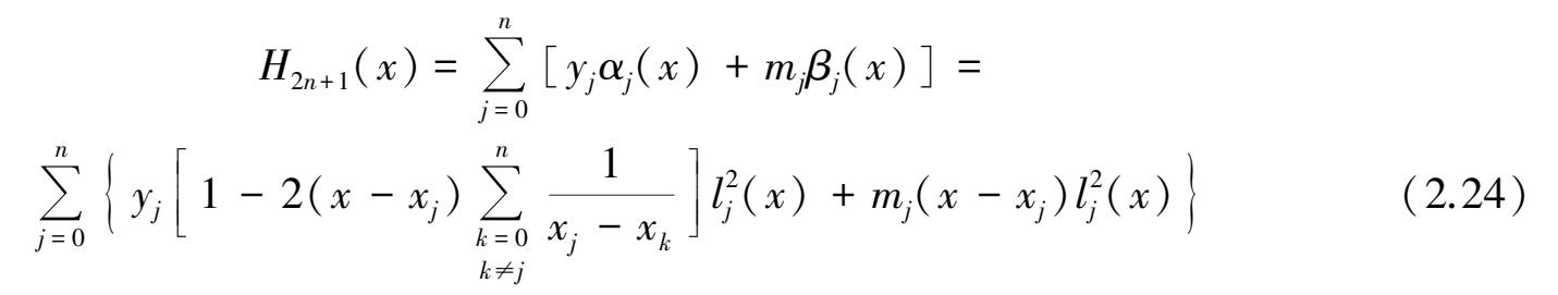
这里给出了2n+2个条件,可唯一确定一个次数不超过2n+1的多项式H 2n+1 (x)=H(x),其形式为
H 2 n+1 (x)=a 0 +a 1 x+…+a 2 n+ 1 x 2 n+ 1
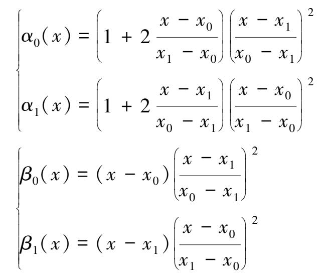
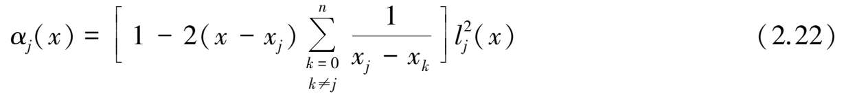
若根据式(2.20)来确定2n+2个系数a 0 ,a 1 ,…,a 2n+1 ,显然非常复杂。因此,仍采用求拉格朗日插值多项式的基函数方法,先求插值基函数α j (x)及β j (x)(j=0,1,…,n)。设α j (x)、β j (x)(j=0,1,…,n)都是次数不超过2n+1的多项式,且满足条件
于是满足式(2.21)的插值多项式H(x)=H 2n+1 (x)可写成用插值基函数表示的形式
由式(2.21),显然有H
2n+1
(x
k
)=y
k
,
,(k=0,1,…,n)。下面利用拉格朗日插值基函数l
j
(x)来求埃尔米特插值多项式的基函数α
j
(x)及β
j
(x)。令
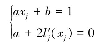
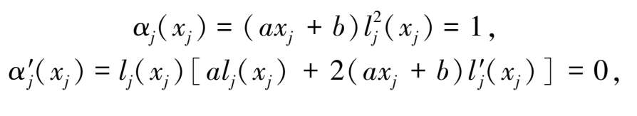
其中
。由式(2.21)有
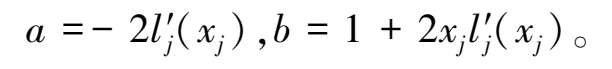
整理得
解出
因为
k≠j
。于是
同理可得
于是
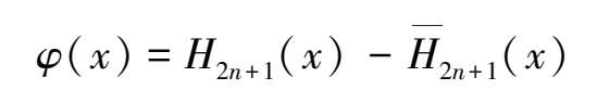
还可证明满足插值条件的埃尔米特插值多项式是唯一的。事实上,假设H
2n+1
(x)及
均满足条件,则
在每个节点x k 上均有二重根,即φ(x)有2n+2重根。但φ(x)是不高于2n+1次的多项式,故φ(x)≡0。唯一性得证。
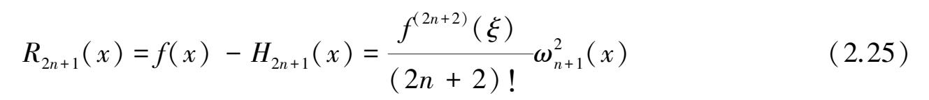
仿照拉格朗日余项定理可得,若f(x)在(a,b)内的2n+2阶导数存在,则其插值余项
其中ξ∈(a,b)且与x有关,
。
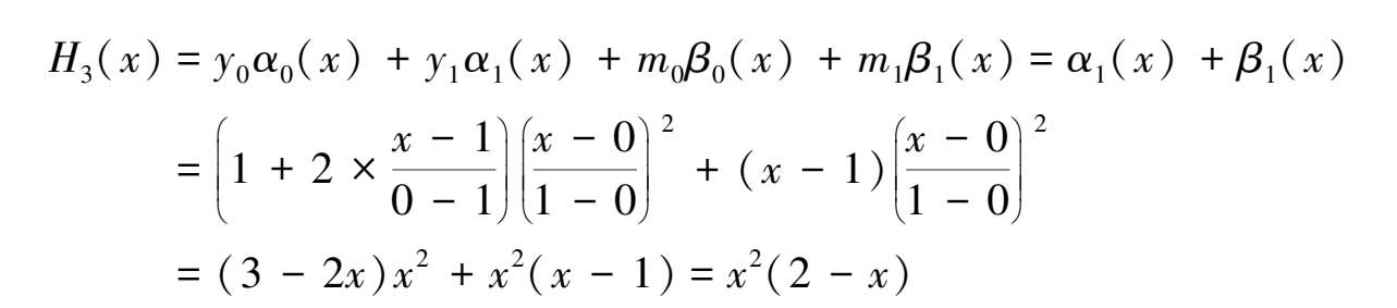
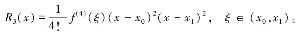
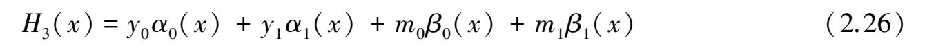
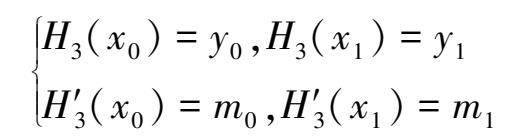
当n=1时,节点为x 0 及x 1 ,插值多项式为H 3 (x),满足条件
相应的插值基函数为
于是插值多项式是
其余项R 3 (x)=f(x)-H 3 (x),即
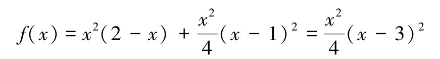
例2.8 确定一个次数不高于4的多项式f(x),使满足条件f(0)=f′(0)=0,f(1)=f′(1)=1,f(2)=1。
解 这是一个带导数的非标准插值问题,对节点x 0 =0和x 1 =1可确定H 3 (x)。
设f(x)=H 3 (x)+c(x-0) 2 (x-1) 2 ,其中c为待定常数。则
所以
f(x)=x 2 (2-x)+cx 2 (x-1) 2
将f(2)=1代入解得
,于是