



拉格朗日插值公式具有形式对称,便于编程计算的特点。但是用它计算f(x)在插值点x的值时,也有不便之处:由于l k (x)(k=0,1,…,n)都依赖于全部插值节点,若增加(或减少)节点,则必须重新构造插值基函数,原先的插值多项式没有用。本节讨论n次代数插值的另一种形式,即使用牛顿多项式插值来克服这个缺点。
从第2.2节看到,基函数是构造拉格朗日插值的基础,下面介绍的差商是构造牛顿插值的基础。
定义2.2
设函数f(x)有n+1个互异节点x
0
,x
1
,x
2
,…,x
n
,其相应函数值为f(x
0
),f(x
1
),f(x
2
),…,f(x
n
)。称
为f(x)在x
i
,x
j
处的一阶差商,并记为f[x
i
,x
j
],即
可见差商可看作f(x)在区间[x i ,x j ]或[x j ,x i ]上的平均变化率。
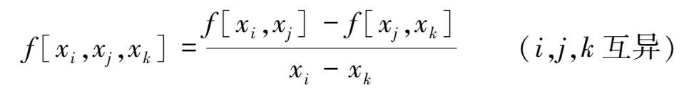
相仿地,称
为f(x)在x
i
,x
j
,x
k
处的二阶差商,记为f[x
i
,x
j
,x
k
],则
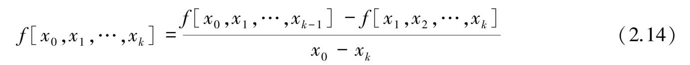
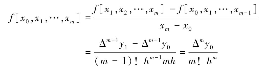
一般地,f(x)在x 0 ,x 1 ,…,x k 处的k阶差商定义为
即f(x)的k阶差商为k-1阶差商的差商。
注: ①规定f[x i ]=f(x i )为f(x)在x i 处的零阶差商;
②由微商的定义可知差商是微商的离散形式。
差商的性质:
性质1 k阶差商f[x 0 ,x 1 ,…,x k ]可表示为函数值f(x 0 ),f(x 1 ),f(x 2 ),…,f(x k )的线性组合。即
其中,
。
注: 性质1可用归纳法证明(略)。
性质2 差商与插值节点排列顺序无关,即f[x i ,x j ]=f[x j ,x i ]。对k阶差商仍成立。
性质3 f(x)是n次多项式,则f[x,x 0 ]为n-1次多项式。
例2.5 已知函数表
求f[x 0 ,x 1 ,x 2 ]和f[x 1 ,x 0 ,x 2 ]。
解
因为
,
所以
同理可得f[x 1 ,x 0 ,x 2 ]=2.5
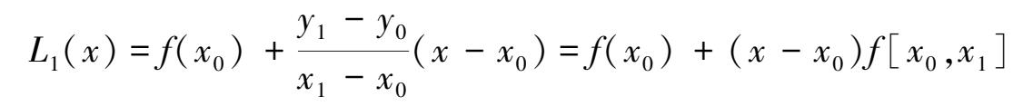
线性插值可用差商形式表示为
由差商的定义知
将上式依次代入得
取
所以
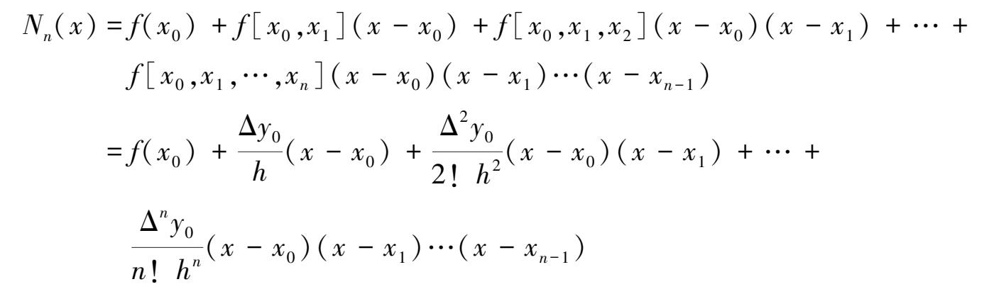
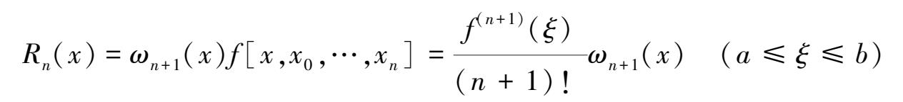
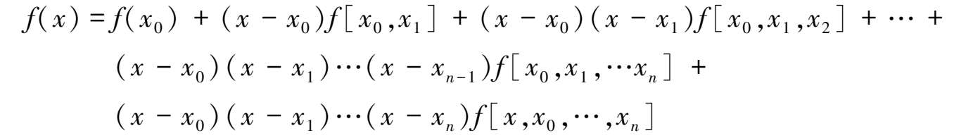
f(x)=N n (x)+R n (x)
且
R n (x i )=ω n+ 1 (x i )f[x i ,x 0 ,…,x n ]=0
称N n (x)为牛顿插值多项式,R n (x)为牛顿插值余项。
定理2.4 N n (x)为插值问题的n次插值多项式,其余项
R n (x)=ω n+ 1 (x)f[x,x 0 ,…,x n ]
由插值多项式的唯一性可知,当f (n+1) (x)存在时,N n (x)的余项仍为式(2.5)中的R n (x)。于是
从而得到差商与导数的关系为
由牛顿插值多项式的形式可知,增加一个节点时,只需N(x)再增加一项,N(x)原有各项均不变。具体计算可按表2.1进行。
表 2.1 差商表
求出各阶差商,由表2.1中对角线元素作系数构造牛顿插值多项式。
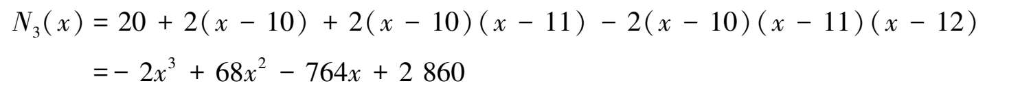
例2.6 给出f(x)的函数表
求3次牛顿插值多项式N 3 (x)。
解 根据已知数据先构造差商表如下
将差商表中带下划线的这些差商值代入公式得
当插值节点等距分布时,被插值函数的平均变化率与自变量的区间无关,就可用差分来表示。
定义2.3 设等距节点x k =x 0 +kh(k=0,1,2,…,n),y k =f(x k ),h为步长,则称
Δy i =y i +1 -y i (i=0,1,2,…,n)为f(x)在x i 处以h为步长的一阶向前差分。
Δ 2 y i =Δy i +1 -Δy i =y i +2 -2y i +1 +y i (i=0,1,2,…,n)
为f(x)在x i 处以h为步长的二阶向前差分。一般地,
Δ m y i =Δ m- 1 y i+ 1 -Δ m- 1 y i ,(i=0,1,2,…,n)
为f(x)在x i 处以h为步长的m阶向前差分。
差分的性质:
性质1 差分是函数值的线性组合,即
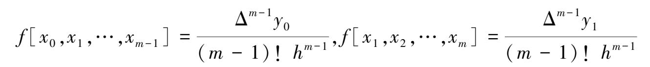
性质2 差分与差商满足关系
证 利用数学归纳法证明:
当k=1时,
,结论成立。
设k=m-1时结论成立,即有
当k=m时,有
所以命题成立。
性质3 差分与导数有关系
此外也可定义向后差分与中心差分,亦可得相似的性质。
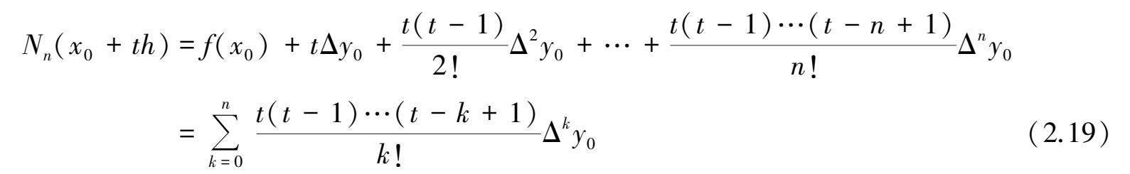
给定等距节点x i =x 0 +ih,将差分与差商的关系代入牛顿插值多项式,则可得
令x=x 0 +th,t>0,则有
上式称为牛顿向前插值多项式。
同理,余项
称为牛顿向前插值多项式的余项。
注:
①利用向后差分可构造牛顿向后插值多项式。将插值节点按x
n
,x
n
-1,…,x
0
的次序排列,可得牛顿向后插值多项式
,相应的余项为
。
②与牛顿插值多项式的差商形式相同,可通过下面的差分表(表2.2)来求牛顿向前插值多项式。
表 2.2 差分表
例2.7 利用牛顿向前插值多项式计算例2.3。
解 取节点x 0 =11,x 1 =12,x 2 =13,可得差分表如下。
于是牛顿向前插值多项式为
令t=0.5,得
ln11.5≈N 2 (11.5)=2.442275。