购买
下载掌阅APP,畅读海量书库
立即打开
畅读海量书库
扫码下载掌阅APP

2.3 牛顿插值

拉格朗日插值公式具有形式对称,便于编程计算的特点。但是用它计算f(x)在插值点x的值时,也有不便之处:由于l k (x)(k=0,1,…,n)都依赖于全部插值节点,若增加(或减少)节点,则必须重新构造插值基函数,原先的插值多项式没有用。本节讨论n次代数插值的另一种形式,即使用牛顿多项式插值来克服这个缺点。

2.3.1 差商及其性质

从第2.2节看到,基函数是构造拉格朗日插值的基础,下面介绍的差商是构造牛顿插值的基础。

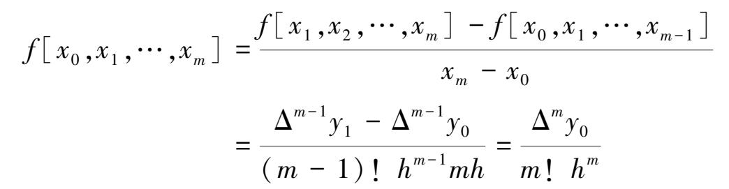
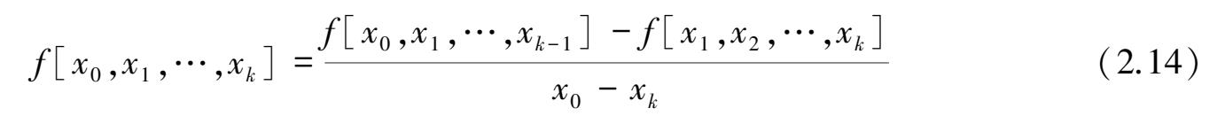
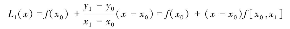
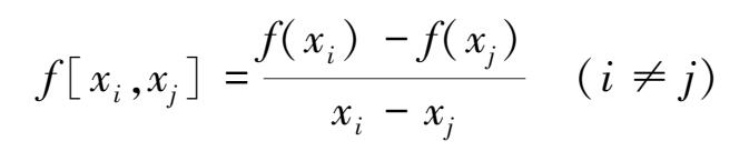
定义2.2 设函数f(x)有n+1个互异节点x 0 ,x 1 ,x 2 ,…,x n ,其相应函数值为f(x 0 ),f(x 1 ),f(x 2 ),…,f(x n )。称 为f(x)在x i ,x j 处的一阶差商,并记为f[x i ,x j ],即

可见差商可看作f(x)在区间[x i ,x j ]或[x j ,x i ]上的平均变化率。

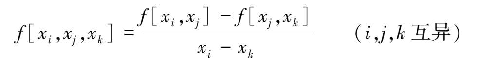
相仿地,称 为f(x)在x i ,x j ,x k 处的二阶差商,记为f[x i ,x j ,x k ],则

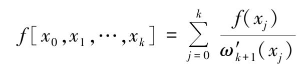
一般地,f(x)在x 0 ,x 1 ,…,x k 处的k阶差商定义为

即f(x)的k阶差商为k-1阶差商的差商。

注: ①规定f[x i ]=f(x i )为f(x)在x i 处的零阶差商;

②由微商的定义可知差商是微商的离散形式。

差商的性质:

性质1 k阶差商f[x 0 ,x 1 ,…,x k ]可表示为函数值f(x 0 ),f(x 1 ),f(x 2 ),…,f(x k )的线性组合。即

其中,

注: 性质1可用归纳法证明(略)。

性质2 差商与插值节点排列顺序无关,即f[x i ,x j ]=f[x j ,x i ]。对k阶差商仍成立。

性质3 f(x)是n次多项式,则f[x,x 0 ]为n-1次多项式。

例2.5 已知函数表

求f[x 0 ,x 1 ,x 2 ]和f[x 1 ,x 0 ,x 2 ]。

因为

所以

同理可得f[x 1 ,x 0 ,x 2 ]=2.5

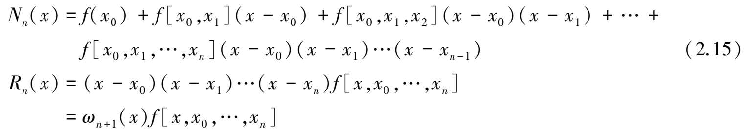
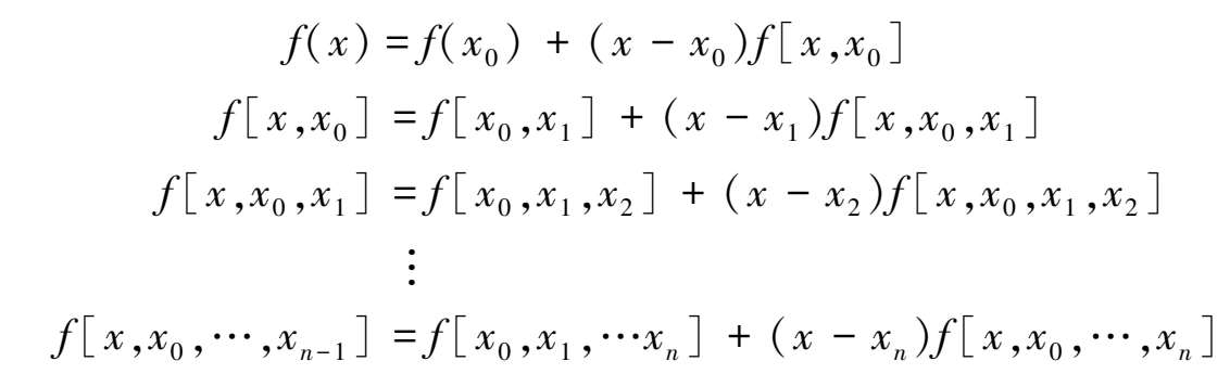
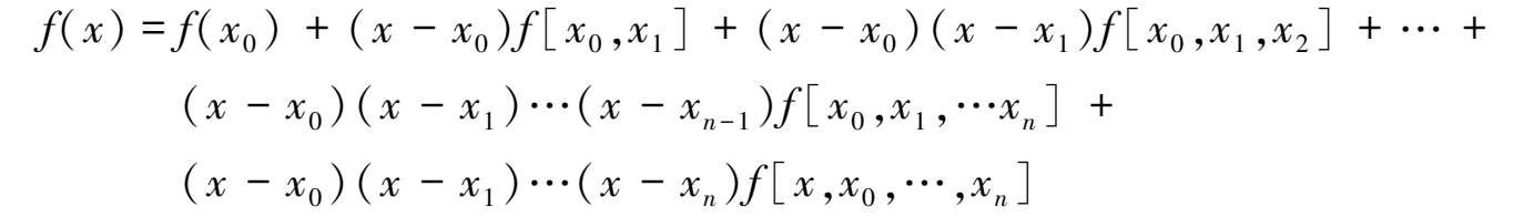
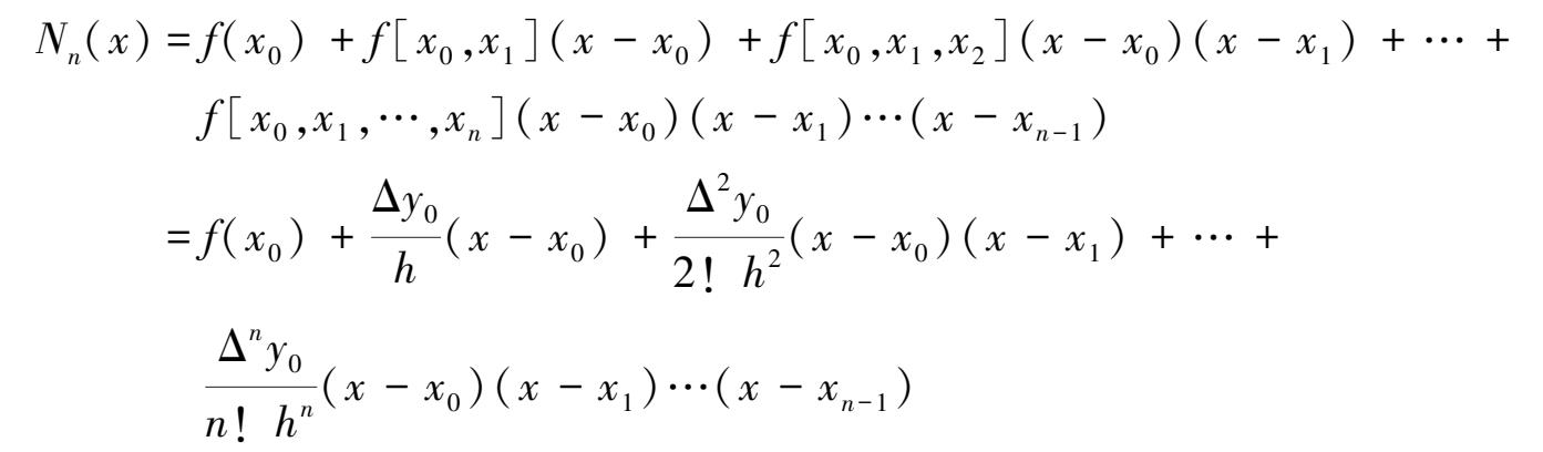
2.3.2 牛顿插值及其余项

线性插值可用差商形式表示为

由差商的定义知

将上式依次代入得

所以

f(x)=N n (x)+R n (x)

R n (x i )=ω n+ 1 (x i )f[x i ,x 0 ,…,x n ]=0

称N n (x)为牛顿插值多项式,R n (x)为牛顿插值余项。

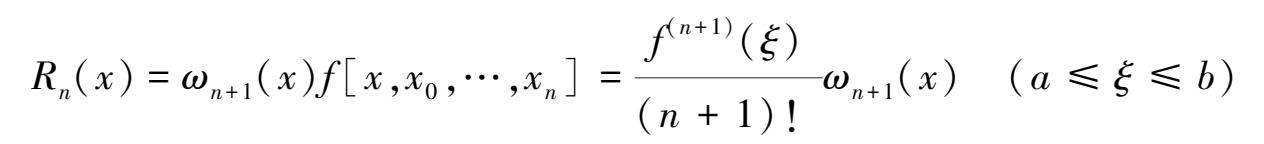
定理2.4 N n (x)为插值问题的n次插值多项式,其余项

R n (x)=ω n+ 1 (x)f[x,x 0 ,…,x n

由插值多项式的唯一性可知,当f (n+1) (x)存在时,N n (x)的余项仍为式(2.5)中的R n (x)。于是

从而得到差商与导数的关系为

由牛顿插值多项式的形式可知,增加一个节点时,只需N(x)再增加一项,N(x)原有各项均不变。具体计算可按表2.1进行。

表 2.1 差商表

求出各阶差商,由表2.1中对角线元素作系数构造牛顿插值多项式。

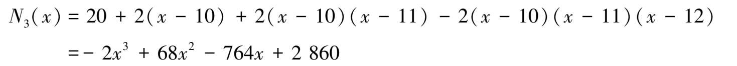
例2.6 给出f(x)的函数表

求3次牛顿插值多项式N 3 (x)。

根据已知数据先构造差商表如下

将差商表中带下划线的这些差商值代入公式得

2.3.3 差分的定义与性质

当插值节点等距分布时,被插值函数的平均变化率与自变量的区间无关,就可用差分来表示。

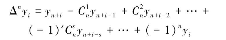
定义2.3 设等距节点x k =x 0 +kh(k=0,1,2,…,n),y k =f(x k ),h为步长,则称

Δy i =y i +1 -y i (i=0,1,2,…,n)为f(x)在x i 处以h为步长的一阶向前差分。

Δ 2 y i =Δy i +1 -Δy i =y i +2 -2y i +1 +y i (i=0,1,2,…,n)

为f(x)在x i 处以h为步长的二阶向前差分。一般地,

Δ m y i =Δ m- 1 y i+ 1 -Δ m- 1 y i ,(i=0,1,2,…,n)

为f(x)在x i 处以h为步长的m阶向前差分。

差分的性质:

性质1 差分是函数值的线性组合,即

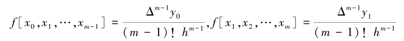
性质2 差分与差商满足关系

利用数学归纳法证明:

当k=1时, ,结论成立。

设k=m-1时结论成立,即有

当k=m时,有

所以命题成立。

性质3 差分与导数有关系

此外也可定义向后差分与中心差分,亦可得相似的性质。

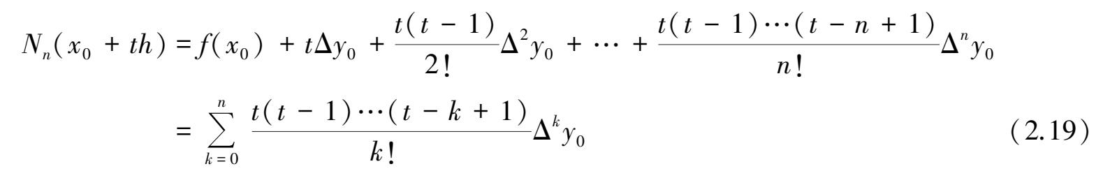
2.3.4 等距节点的牛顿插值及余项

给定等距节点x i =x 0 +ih,将差分与差商的关系代入牛顿插值多项式,则可得

令x=x 0 +th,t>0,则有

上式称为牛顿向前插值多项式。

同理,余项

称为牛顿向前插值多项式的余项。

注: ①利用向后差分可构造牛顿向后插值多项式。将插值节点按x n ,x n -1,…,x 0 的次序排列,可得牛顿向后插值多项式 ,相应的余项为

②与牛顿插值多项式的差商形式相同,可通过下面的差分表(表2.2)来求牛顿向前插值多项式。

表 2.2 差分表

例2.7 利用牛顿向前插值多项式计算例2.3。

取节点x 0 =11,x 1 =12,x 2 =13,可得差分表如下。

于是牛顿向前插值多项式为

令t=0.5,得

ln11.5≈N 2 (11.5)=2.442275。 xffoD2+fVLFMhkdCnNoQbDeLYNXCrVUmdK6NHedIttJX0IfAf7lCByksiwd7csg7

点击中间区域
呼出菜单
上一章
目录
下一章
×

打开