



对给定的插值节点,为求得插值多项式p n (x)可以有各种不同的方法,下面先讨论n=1的简单情形。
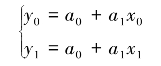
已知
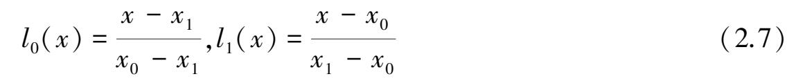
求作一次多项式L 1 (x)=a 0 +a 1 x,使它满足条件:L 1 (x 0 )=y 0 ,L 1 (x 1 )=y 1 ,这种插值称为线性插值。
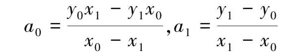
将已知条件代入,得线性方程组
解方程组得
所以
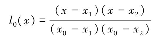
为了便于推广,记
则函数l 0 (x)和l 1 (x)具有性质
函数l 0 (x)和l 1 (x)称为线性插值基函数。于是可将求得的一次插值多项式改写为
注: 用线性插值进行近似计算,当插值区间较小时,近似程度较高。
例2.1 已知f(x)的函数表
求
的近似值。
解 利用线性插值公式(2.9)得
于是
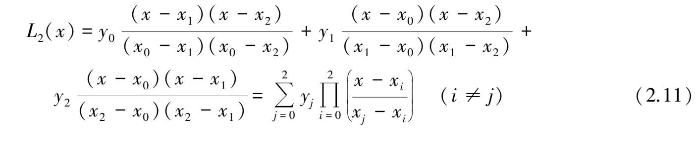
下面讨论n=2的情况。
已知
设二次多项式L 2 (x)=a 0 +a 1 x+a 2 x 2 满足L(x i )=y i (i=0,1,2),则根据定理2.1可求出a 0 ,a 1, a 2 ,得到相应的唯一的二次插值多项式,但计算量较大。下面仿照线性插值,用插值基函数构造抛物线插值多项式。
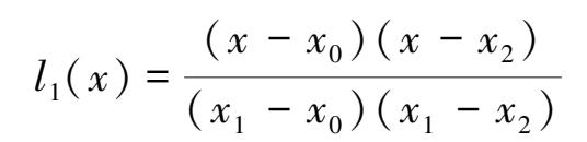
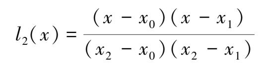
设L 2 (x)=l 0 (x)y 0 +l 1 (x)y 1 +l 2 (x)y 2 ,其中
下面以l 0 (x)为例说明基函数的求法。由于l 0 (x)为二次多项式,由式(2.10)可设
l 0 (x)=A(x-x 1 )(x-x 2 )
并由l
0
(x
0
)=1求出
所以
同理
于是
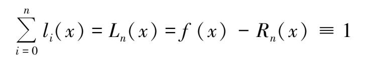
由线性插值式(2.9),抛物线插值式(2.11)可知,插值多项式可看作某些函数的线性组合,组合系数为插值节点的函数值y i 。
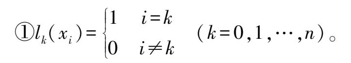
定义2.1 称n次多项式l 0 (x),l 1 (x),l 2 (x),…,l n (x)为在n+1个节点x i (i=0,1,…,n)上的n次插值基函数,其中
根据定义,插值基函数的性质:
②l k (x)(k=0,1,…,n)为由插值节点x 0 ,x 1 ,x 2 ,…,x n 唯一确定的n次多项式。
③基函数和每一个节点有关,与被插函数无关。
定理2.3 对于给定的n+1个插值节点x 0 ,x 1 ,…,x n ,
为插值问题的n次多项式插值函数,其中
。
称式(2.13)为多项式插值的拉格朗日形式,简称为拉格朗日插值多项式。
证 因为l k (x)为n次多项式,所以L n (x)为次数不超过n的代数多项式。
取x=x
j
,由于
,从而
,满足插值条件。于是
为满足已知n+1个插值节点函数值插值问题的n次多项式插值函数,即n次拉格朗日插值多项式。
注: 线性插值和抛物线插值分别是1次和2次拉格朗日插值多项式。
例2.2
设x
0
,x
1
,x
2
,…,x
n
为插值节点,l
k
(x)(k=0,1,…,n)(n≥1)为拉格朗日插值基函数,则
。
解 取f(x)≡1,y i ≡1,(i=0,1,2,…,n)
则f(x)的n次拉格朗日插值为
插值余项R
n
(x)=f(x)-L
n
(x),而余项
故
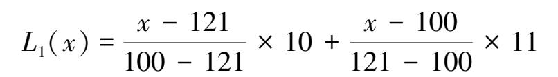
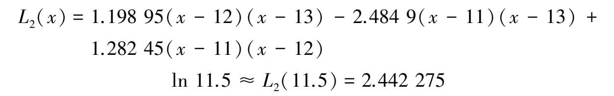
例2.3 已知y=lnx的函数表
分别用拉格朗日线性和抛物线插值求ln11.5的近似值,并估计误差。
解 线性插值,其两节点x 0 =11,x 1 =12,插值基函数为
l 0 (x)=-(x-12),l 1 (x)=x-11
所以
L 1 (x)=-2.3979(x-12)+2.4849(x-11)
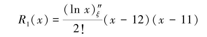
ln11.5≈L 1 (11.5)=2.4414
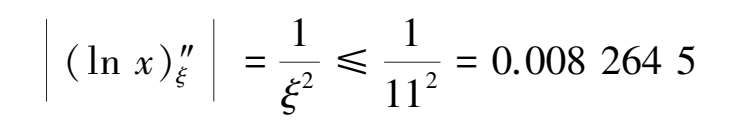
余项
由于
故
抛物线插值,节点x 0 =11,x 1 =12,x 2 =13,则可得
同理可得
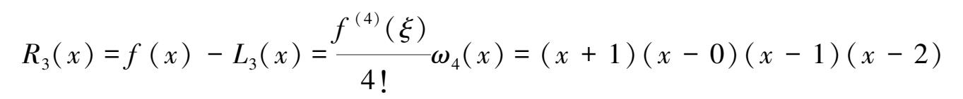
例2.4 设f(x)=x 4 ,试用拉格朗日余项定理写出以-1,0,1,2为插值节点的三次插值多项式。
解 设所求多项式为L 3 (x),由余项定理得
于是
L 3 (x)=f(x)-(x+1)(x-0)(x-1)(x-2)=2x 3 +x 2 -2x