购买
下载掌阅APP,畅读海量书库
立即打开
畅读海量书库
扫码下载掌阅APP

2.1 引言

2.1.1 代数插值问题的提法

函数插值是对函数的离散数据建立简单的数学模型的方法。

给出连续函数f(x)在区间[a,b]上一系列的函数值y i =f(x i )(i=0,1,…,n),或者给出一张函数表

其中,a≤x 0 <x 1 <…<x n ≤b。

在某函数类Φ(x)中求一个函数φ(x),使得

并用φ(x)作为函数f(x)的近似表达式,称这样的问题为插值问题,满足式(2.2)的φ(x)称为f(x)的插值函数,f(x)称为被插函数。称点x 0 ,x 1 ,x 2 ,…,x n 为插值节点,区间[a,b]为插值区间。因此插值就是根据已知点的函数值求其余点的函数值,即依据被插值函数给出的函数表插出所要点的函数值。利用插值函数求f(x)的近似值,若插值点x在x 0 与x n 之间称为内插法,反之称为外插法。

由于函数类Φ(x)的选择不同,即选取的插值函数φ(x)不同,就产生不同类型的插值。用φ(x)的值作为f(x)的近似值,除要求φ(x)在某种意义上更好地逼近f(x)外,自然希望它是较简单的函数,或者它便于计算机计算。若φ(x)为代数多项式p(x),就是代数多项式插值,简称代数插值;若φ(x)为三角多项式,就是三角多项式插值;若φ(x)为有理函数,就是有理函数插值等。本章主要讨论结构简单的代数插值问题。

2.1.2 多项式插值问题

求f(x)的插值多项式p(x)的几何意义,就是通过曲线y=f(x)上的若干个插值节点,作一条代数多项式曲线y=p(x)来近似代替曲线y=f(x)(如图2.1所示)。

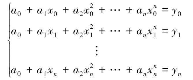
由插值问题的定义可知,多项式插值问题是:在区间[a,b]上,根据函数表(2.1),构造一个次数不超过n的代数多项式p n (x)=a 0 +a 1 x+a 2 x 2 +…+a n x n ,使

图 2.1 插值法的几何意义

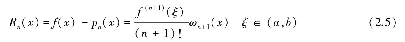
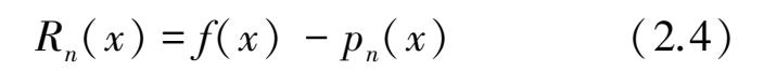
而在其余点x处,一般说来会有误差,这个误差称为插值多项式的插值余项或截断误差,记为R n (x),即

下面是关于插值多项式的基本定理。

定理2.1 满足插值条件(2.3)的n次插值多项式是存在且唯一的。

事实上,由条件(2.3)知,插值多项式p n (x)的系数满足线性方程组

所以该方程组有唯一解,即插值多项式存在且唯一。

注: 对于次数不大于n的多项式f(x),其n次插值多项式就是其本身。

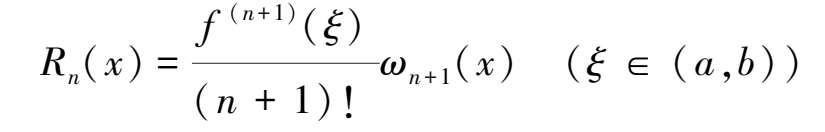
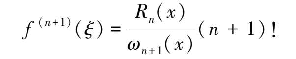
插值多项式p n (x)与f(x)的插值余项R n (x)=f(x)-p n (x)满足下面的余项定理。

定理2.2 (误差估计)设f (n) (x)∈C[a,b],任意x∈(a,b),f (n+1) (x)存在,x 0 ,x 1 ,x 2 ,…,x n 为n+1个互异插值节点,p n (x)为f(x)在[a,b]上的n次插值多项式,则对任意x∈[a,b]有余项

其中

证构造

因为 ,所以F(x)=0,且

F(x 0 )=F(x 1 )=…=F(x n )=0,即F(t)有n+2个零点,于是由罗尔定理知

至少有n+1个零点。

以此类推,F (n+1) (t)至少有一个零点ξ∈(a,b),使

所以

注意: 这里ξ∈(a,b)且依赖于x。 foDwZgMr9aaH2ZWS63QKZhOIGTfo2fUiP59KXpLGUenckAPEeD8MII30HsbgYh+l

点击中间区域
呼出菜单
上一章
目录
下一章
×

打开