



定额计量单位应与定额项目内容相适应,要能确切反映各分项工程产品的形态特征、变化规律与实物数量,并便于计算和使用。
①当物体的断面形状一定而长度不定时,宜采用延长米“m”为计量单位,如木装饰、落水管安装等。
②当物体有一定的厚度而长与宽变化不定时,宜采用“m 2 ”为单位,如楼地面、墙面抹灰、屋面工程等。
③当物体的长、宽、高均变化不定时,宜采用“m 3 ”作为计量单位,如土石方、砖石、混凝土和钢筋混凝土工程等。
④当物体的长、宽、高均变化不大时,但其质量与价格差异很大时,宜采用“ kg”和“ t”为计量单位,如金属构件的制作、运输与安装等。
在预算等额项目表中,一般都采用扩大的计量单位,如100m、100m 2 、10m 3 等,以便于预算定额的编制和使用。
预算定额项目中各种消耗量指标的数值单位和计算时小数位数的取定如下:
①人工以“工日”为单位,取小数点后2位。
②机械以“台班”为单位,取小数点后2位。
③木材以“m 3 ”为单位,取小数点后3位。
④钢材以“t”为单位,取小数点后3位。
⑤标准砖以“千块”为单位,取小数点后2位。
⑥砂浆、混凝土、沥青膏等半成品以“m 3 ”为单位,取小数点后2位。
劳动定额是指在一定的技术装备、合理的劳动组织与合理使用材料的条件下,规定完成质量合格的单位产品所需劳动消耗量的标准,或规定在单位时间内完成质量合格产品的数量标准。劳动消耗量的表现形式有两种,分别是产量定额和时间定额。
在正常条件下,某工种的工人完成单位合格产品的数量称为产量定额。
产量定额常用的单位是:m 3 /工日、m 2 /工日、t/工日、套/工日、组/工日。
例如,砌一砖半厚标准砖基础的产量定额为:1.08m 3 /工日。
在正常施工条件下某工种工人在单位时间内完成合格产品所需的劳动时间称为时间定额。
时间定额常用的单位是:工日/m 3 、工日/m 2 、工日/ t、工日/组。
例如,现浇混凝土过梁的时间定额为:1.99工日/m 3 。
产量定额和时间定额是劳动定额两种不同的表现形式,它们之间是互为倒数的关系:
   利用这种倒数关系我们就可以求另外一种表现形式的劳动定额。例如:
   时间定额以工日/m 3 、工日/m 2 、工日/ t、工日/组为单位表示,数量直观具体,易为工人理解和接受,因此,时间定额适用于编制劳动计划和统计任务完成情况。
产量定额以m 3 /工日、m 2 /工日、t/工日、套/工日、组/工日为单位,不同的工作内容有共同的时间单位,定额完成量可以相加,因此,产量定额适用于向班组下达生产任务。
在取得现场测定资料后,一般采用下列计算公式编制劳动定额。
   式中 N ——单位产品时间定额;
N 基 ——完成单位产品的基本工作时间;
N 辅 ——辅助工作时间占全部定额工作时间的百分比;
N 准 ——准备结束时间占全部定额工作时间的百分比;
N 息 ——休息时间占全部定额工作时间的百分比;
N 断 ——不可避免中断时间占全部定额工作时间的百分比。
【例2.1】 根据下列现场测定资料,计算每100m 2 水泥砂浆抹地面的时间定额和产量定额。
基本工作时间:1450工分/50m 2 ;
辅助工作时间:占全部工作时间3%;
准备与结束工作时间:占全部工作时间2%;
不可避免中断时间:占全部工作时间2.5%;
休息时间:占全部工作时间10%。
【解】 抹100m 2 水泥砂浆地面的时间定额
   材料消耗定额包括:
①直接耗用于建筑安装工程上的构成工程实体的材料。
②不可避免产生的施工废料。
③不可避免的材料施工操作损耗。
直接构成工程实体的材料,称为材料消耗净用量定额。
不可避免的施工废料和施工操作损耗,称为材料损耗量定额。
   
   在实际工作中,为了简化上述计算过程,常用下列公式计算总消耗量:
   用该方法可以取得编制材料消耗定额的全部资料。一般情况下,材料消耗定额中的净用量比较容易确定,耗损量较难确定。我们可以通过现场技术测定方法来确定材料的耗损量。
试验法是在实验室内采用专门的仪器设备,通过实验的方法来确定材料消耗定额的一种方法。用这种方法提供的数据,虽然精度较高,但容易脱离现场实际的情况。
统计法是通过对现场用料的大量统计资料进行分析计算的一种方法。用该方法可以获得材料消耗定额的数据。虽然统计法比较简单,但不能准确区分材料消耗的性质,因而不能区分材料净用量和损耗量,只能笼统地确定材料消耗定额。
理论计算法是运用一定的计算公式确定材料消耗定额的方法。该方法较适合块状、板状、卷材状的材料消耗量计算。
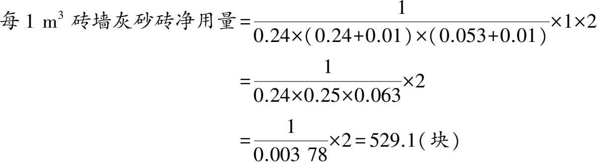
   灰砂砖的尺寸为240mm×115mm×53mm,其材料用量计算公式为:
   砂浆净用量=1m 3 -灰砂砖净用量×0.24m×0.115m×0.053m
   
    图2.1 砖砌体计算尺寸示意图
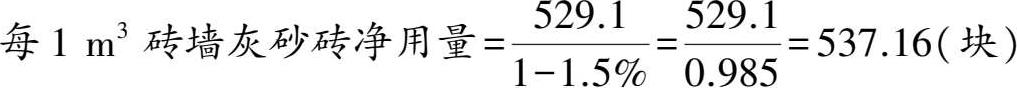
【例2.2】 计算1m 3 一砖厚灰砂砖墙砖和砂浆的总消耗量,灰缝10mm厚,砖损耗率1.5%,砂浆损耗率1.2%。
【解】 ①灰砂砖净用量
   ②灰沙砖总消耗量
   ③砂浆净用量
每1m 3 砂浆净用量=1-529.1×0.24×0.115×0.053=1-0.773967=0.226(m 3 )
④砂浆总消耗量
   【例2.3】 计算尺寸为390mm×190mm×190mm的每立方米190mm厚混凝土空心砌块墙的砌块和砂浆总消耗量,灰缝10mm,砌块与砂浆的损耗率均为1.8%。
【解】 ①空心砌块总消耗量
   ②砂浆总消耗量
每1m 3 砌体砂浆净用量=1-65.8×0.19×0.19×0.39=1-0.9264=0.074(m 3 )
   
   每100m 2 块料面层灰缝砂浆净用量=(100-块料长×块料宽×块料净用量)×灰缝深
   【例2.4】 用水泥砂浆贴500mm×500mm×15mm花岗石板地面,结合层5mm厚,灰缝宽度1mm,花岗石损耗率2%,砂浆损耗率1.5%,试计算每100m 2 地面的花岗石和砂浆的总消耗量。
【解】 ①计算花岗石总消耗量
   ②计算砂浆总消耗量
每100m 2 花岗石地面结合层砂浆净用量=100m 2 ×0.005=0.5(m 3 )
每100m 2 花岗石地面灰缝砂浆净用量=(100-0.5×0.5×398.4)×0.015=0.006(m 3 )
   预制构件模板摊销量是按多次使用,平均摊销的方法计算的。计算公式如下:
   【例2.5】 根据选定的预制过梁标准图计算,每1m 3 构件的模板接触面积为10.16m 2 ,每1m 2 接触面积的模板净用量0.095m 3 ,模板损耗率5%,模板周转28次,试计算每1m 3 预制过梁的模板摊销量。
【解】 ①模板一次使用量计算
   ②模板摊销量计算
   施工机械台班定额是施工机械生产率的反映。编制高质量的机械台班定额是合理组织机械施工、有效利用施工机械、进一步提高机械生产率的必备条件。编制机械台班定额的主要内容包括:
机械操作与人工操作相比,劳动生产率在很大程度上受施工条件影响,因此需要更好地拟订正常的施工条件。
拟订机械工作正常的施工条件,主要是拟订工作地点的合理组织和拟订合理的人工编制。
确定机械正常生产率必须先确定机械纯工作一小时的正常劳动生产率。因为只有先取得机械纯工作一小时正常生产率,才能根据机械利用系数计算出施工机械台班定额。
机械纯工作时间,就是指机械必须消耗的净工作时间,包括正常负荷下工作时间、有根据降低负荷下工作时间、不可避免的无负荷工作时间、不可避免的中断时间。
机械纯工作一小时的正常生产率,就是在正常施工条件下,由具备一定技能的技术工人操作施工机械净工作一小时的劳动生产率。
确定机械纯工作一小时正常劳动生产率可分3步进行:
①计算机械循环一次的正常延续时间。它等于本次循环中各组成部分延续时间之和,计算公式为:
    机械循环一次正常延续时间=
    
    循环内各组成部分延续时间
   
【例2.6】 某轮胎式起重机吊装大型屋面板,每次吊装一块,经过现场计时观察,测得循环一次的各组成部分的平均延续时间如下,试计算机械循环一次的正常延续时间。
挂钩时的停车30.2 s;
将屋面板吊至15m高95.6 s;
将屋面板下落就位54.3 s;
解钩时的停车38.7 s。
回转悬臂、放下吊绳空回至构件堆放处51.4 s。
【解】 轮胎式起重机循环一次的正常延续时间=30.2+95.6+54.3+38.7+51.4=270.2(s)
②计算机械纯工作一小时的循环次数,计算公式为:
   【例2.7】 根据上例计算结果,计算轮胎式起重机纯工作1小时的循环次数。
    
     【解】
    
    轮胎式起重机纯工作一小时循环次数=
    
    =13.32(次)
   
③求机械纯工作一小时的正常生产率,计算公式为:
机械纯工作一小时的正常生产率=机械纯工作一小时的循环次数×一次循环的产品数量
【例2.8】 根据上例计算结果和每次吊装1块的产品数量,计算轮胎式起重机纯工作一小时的正常生产率。
【解】 轮胎式起重机纯工作一小时的正常生产率=13.32(次)×1(块/次)=13.32(块)
机械的正常利用系数,是指机械在工作班内工作时间的利用率。
机械正常利用系数与工作班内的工作状况有着密切的关系。
拟订工作班的正常状况,关键是如何保证合理利用工时,因此,要注意下述几个问题:
①尽量利用不可避免的中断时间、工作开始前与结束后的时间进行机械的维护和养护。
②尽量利用不可避免的中间时间作为工人的休息时间。
③根据机械工作的特点,在负担不同工作时,规定不同的开始与结束时间。
④合理组织施工现场,排除由于施工管理不善造成的机械停歇。
确定机械正常利用系数,首先要计算工作班在正常状况下,准备与结束工作、机械开动、机械维护等工作必须消耗的时间,以及有效工作的开始与结束时间,然后再计算机械工作班的纯工作时间,最后确定机械正常利用系数。机械正常利用系数按下列公式计算。
   
    建筑工程预算定额
计算机械台班定额是编制机械台班定额的最后一个环节。
在确定了机械正常工作条件、机械一小时纯工作时间正常生产率和机械利用系数后,即可确定机械台班的定额消耗指标。计算公式如下:
施工机械台班产量定额=机械纯工作一小时正常生产率×工作班延续时间×机械正常利用系数
【例2.9】 轮胎式起重机吊装大型屋面板,机械纯工作一小时的正常生产率为13.32块,工作班8 h内实际工作时间7.2 h,求产量定额和时间定额。
【解】 ①计算机械正常利用系数
   ②计算机械台班产量定额
轮胎式起重机台班产量定额=13.32×8×0.9=96(块/台班)
③求机械台班时间定额