



一个复曲面X自动地是定向的,因此,任何一对2-闭链都有一个确定的相交数[27]。给定第二同调群H
2
X 的一组基α
i
,它们两两的相交数构成的矩阵Ω
ij
叫作X的相交形式。更确切地,Ω
ij
≡Ω(α
i
,α
j
)是α
i
和α
j
的相交数,而自相交数Ω
ii
是α
i
和它的一个光滑典范(generic)形变的相交数。Ω是一个元素为整数的对称矩阵。根据庞加莱对偶,它还是幺模(unimodular)的(行列式为±1)。在实数域上,这样的矩阵可以对角化,并且对角线上的元素是+1或-1。+1和-1的数量分别为
和
。对于单连通的曲面,我们前面已经用P和N在方程(2.12)给出了一种解释。
然而,对于闭链来说,在实数域上对角化是行不通的,因为这样在新的基底下可能会得到系数为分数的闭链。我们只能用一个元素为整数的可逆矩阵来变换基底,其效果是获得Ω关于这一矩阵的共轭 [3] 。相交形式在整数上划分的(共轭)等价类比在实数上更精细。
对于几乎所有的代数曲面,Ω都是不定的(indefinite
)。除了满足b
1
=0和B=θ=1的曲面外,
和
都是正的。因此,相交形式正定的曲面只有CP
2
,可能还要加上我们还没找到物理解释的伪射影平面。对于CP
2
,它满足P=1,N=0,其相交形式是1×1的单位矩阵Ω=(1)。非退化的不定形式在整数上有一个相当简单的分类,主要的区别在于形式的奇偶性。如果至少一个矩阵元素Ω
ii
是奇数,或者换一种不依赖于基底的说法,如果对某个闭链α,Ω(α,α)是奇数,那么这个形式就称为奇的。奇的形式总是可以对角化,其对角线上的元素是+1或-1。
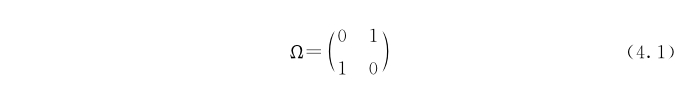
偶形式更有意思一点。在这种情况下,对任何闭链α,Ω(α,α)都是偶数。最简单的例子是:
这是二次曲面Q的相交形式。它的两个CP 1 因子作为闭链α 1 和α 2 构成一组基。如果α=xα 1 +yα 2 ,那么Ω(α,α)=2xy,因此它总是偶数。这个相交形式在实数域上可以对角化,并且特征值是+1和-1,因此它的符号差为零。但是这一对角化涉及含分数元素的矩阵,所以在整数上是无法完成的。方程(4.1)里的相交形式被称作“双曲平面”。偶形式的另一个例子是矩阵-E 8 。它是李代数E 8 的嘉当(Cartan)矩阵取负值(对角线元素-2)。这个矩阵是偶的且是幺模的。-E 8 本身是负定的,但当它和双曲平面组合在一起后,得到的是一个我们所需要的不定矩阵。代数曲面最一般的不定偶形式可以写成下面的块对角形式:
这里,l>0,m ≥0。l一定是奇数,并且贝蒂数
,
。符号差是τ=-8m。
对于大多数的曲面,它们的符号差不是8的倍数,因此它们的相交形式是奇的。如果符号差是8的倍数,对应的相交形式可能是偶的。对于给定的贝蒂数,可能存在两个不同的极小曲面(或者两个族的曲面)——一个带有奇的相交形式,另一个带有偶的。我们不知道这是否总会发生。
我们可以用物理量P和N重新表示这些条件。如果N
exc
=N-P既不是0也不是8的正整数倍,那么相交形式一定是奇的。如果N=P,那么相交形式可以是双曲平面类型的
,l=2P-1,或者仍然是奇的。注意,l一定是奇数。因此可能对应偶相交形式的同位素包括所有那些满足N=P的同位素,这样的同位素的数量是很大的。除了稳定的N=P的同位素(最大发生在
40
Ca,P=20),还存在很多准稳定的,例如
52
Fe,P=26。已知最重的N=P的同位素是
100
Sn或者可能是
108
Xe。它们分别拥有P= 50和P=54。我们的几何模型表明这些同位素的额外稳定性正是由偶相交形式的非平凡结构导致的。
如果N exc =8m,那么它的相交形式可以是方程(4.2)中的类型,l=2P-1,但它也可能是奇的。这样的例子有恩里克斯曲面(l=1,m=1)和K3曲面(l=3,m=2)。潜在对应于这些曲面的同位素是 10 H和 20 He。这些同位素的中子过于多以至于到现在都还没有被观测到;但也存在很多更重的原子核(及对应的原子),它们的中子溢出N exc 是8的倍数。
有证据表明中子溢出N exc 是8的倍数的原子核拥有额外的稳定性。最显然的例子是 48 Ca,但这通常是由它的壳模型解释的,因为P=20和N= 28都是幻数。一个更有意思但理解更少的例子是已知最重的氧同位素 24 O,它带有8个质子和16个中子。这和其他几个例子并不明显地符合壳模型。最稳定的铁同位素是N exc =4的 56 Fe,但令人震惊的是,N exc =8的 60 Fe拥有超过一百万年的寿命。这里P=26,N=34。N exc =8的 64 Ni是镍的一种稳定的同位素。此外还有一些惊人的例子,即中子溢出为16或24的稳定或相对稳定的同位素。其中有一些跟稳定性山谷的一般趋势比起来有些另类。一个例子是N exc =24的 124 Sn,锡最重的稳定同位素。至于中子溢出为8的倍数的同位素的额外稳定性是否具有统计意义,还需要进一步的研究。
没有证据表明中子亏缺为8(N exc =-8)时存在稳定的效应。事实上,几乎没有已知原子核具有如此之少的中子数。仅有的一个备选是 48 Ni,它的P=28和N=20都是幻数。