



复曲面[18]提供了丰富的四维紧致流形。它们主要由两个整数不变量——
和c
2
来分类。对一个曲面X,c
1
和c
2
是它的复切丛(tangentbun-dle)的陈类(Chernclass)。c
2
是整数,因为X的实维数是4; c
1
(更确切地说,c
1
的对偶)是第二同调群H
2
(X)里的一个二维闭链。
是c
1
和它自己的相交数,因此也是整数。
一个曲面X还有一些其他的拓扑不变量,但它们大多是与
和c
2
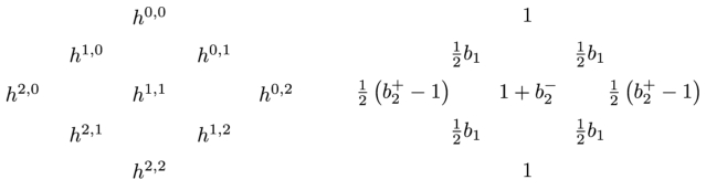
相关的。这其中最基本的一个是霍奇数(Hodge number)。它们是全纯形式的杜比尔特(Dolbeault)上同调群的维数。在复二维情形中,霍奇数记为h
i,j
,0≤i,j≤2。它们排列成一个霍奇菱形(Hodge diamond),见图1。作为庞加莱对偶的一个推广,塞尔对偶(Serre duality)要求这个菱形在180°旋转下不变。对于一个连通的曲面,h
0,0
=h
2,2
=1。
图1 一般复曲面的霍奇菱形(左)及代数曲面情况下相应的用贝蒂数表示的元素(右)。
复代数曲面是复曲面的一个基本子类[19,20]。一个复代数曲面总是可以嵌入到复射影空间CP n ,因此,它从CP n 上的富比尼-施图迪(Fu-bini-Study)度量继承得到一个凯勒(Kähler)度量。对于任何一个凯勒流形,霍奇数有一个额外的对称性,h i,j =h j,i 。对于曲面,这只是增加了一个新的关系,h 0,1 =h 1,0 。并非所有的复曲面都是代数的:其中一些仍然是凯勒流形并满足这个额外的对称性,但也有一些不是凯勒流形且不满足这个对称性。
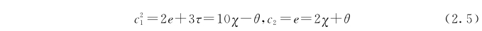
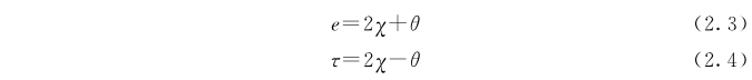
对我们来说特别有意思的是全纯欧拉数(holomorphic Euler number)χ和另外一个量θ。χ是霍奇菱形右侧顶部(等价的,左侧底部)对角线上元素的交错和,而θ则是中间对角线上元素的交错和。更确切地:
(注意对θ正负号的选择。)欧拉数e和符号差(signature)τ可以由这两个量表示:
上面的第一个公式可以转换成人们更熟悉的贝蒂数的交错和e=b
0
-b
1
+b
2
-b
3
+b
4
,因为每个贝蒂数是霍奇菱形中对应的行中所有元素之和。第二公式来自不那么平凡的霍奇指标定理(Hodge index theorem)。τ的一个更深刻的定义依赖于把第二个贝蒂数分解为正负两部分,
。在实数域上,第二同调群H
2
(X)上的相交形式(intersection form)是非退化的,并且可以对角化。而
是最大正定子空间的维数;
是最大负定子空间的维数。符号差
。
陈数通过下面的公式跟χ和θ联系起来。
它们的和给出诺特(Noether)公式
。这里χ总是整数。
对于一个代数曲面,它只有三个独立的霍奇数,并且它们唯一地由贝蒂数b
1
,
,
所决定。霍奇菱形一定形如图1右侧所示,它给出正确的b
1
,e,τ。注意,b
1
一定是偶数,且
一定是奇数。χ和θ由下式给出:
如果X是单连通的(很多例子都如此),那么b 1 =0。单连通流形CP 2 和K3曲面所对应的霍奇菱形如图2所示。对于射影平面,χ=1,θ=0,因此e=3,τ=1。对于K3曲面,χ=2,θ=20,因此e=24,τ=-16。
图2 射影平面CP 2 的霍奇菱形(左)及K3曲面的霍奇菱形(右)。
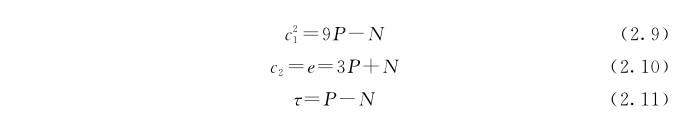
我们的提议是用复代数曲面来建模中性原子,将χ解释为质子数P,并把θ诠释成重子数B。因此中子数是N=θ-χ。这个提议适用于CP 2 :它有P=1,N=0。我们稍后可以看到,对于每一个正整数P,都存在有限多个允许的N值。
关于e 和τ,我们有:
注意,对于一般的实四维流形,这些P和N的公式可能取值为分数,因此需要做一些修改。很容易验证下面的关于P和N的式子。
符号差τ和质子数与中子数的差之间的简单关系令人震惊。如果我们写成N=P+N exc ,这里,N exc 表示质子比中子多出来的数目(通常是0或正数,但也可以是负的),那么,τ=-N exc 。
如果一个代数曲面X是单连通的,那么b 1 =0,并且,
这些公式在我们更细致地考虑相交形式时会很有用。
我们将要用满足
和c
2
非负的曲面来作为原子的模型。这里面很多都是一般型极小曲面。关于代数曲面的几何最重要的结果也许是一般型极小曲面的陈数所需要满足的不等式。基本的不等式是
和c
2
都是正数。此外还有波哥莫洛夫-宫冈-丘(Bogomolov-Miyaoka-Yau,BMY)不等式
c
2
,诺特不等式
。这些不等式可以转换成关于P和N的不等式:
满足上面不等式的所有整数值P和N都是允许的。所允许的区域展示如图3,且对应于[18]中229页允许的区域,或者参考文献[21]。
还有满足
且c
2
非负的椭圆曲面,包括恩里克斯(Enriques)曲面和K3曲面。我们把这些曲面也包括在我们模型里。这里,P≥0,N= 9P,因此c
2
=12P,τ=-8P。CP
2
也是允许的,因为它的
和c
2
都是正的,尽管它是有理(rational)的而不是一般型曲面。除了CP
2
,还有其他的曲面在BMY线(
)上[22]。它们满足P>1,N=0。
物理学家通常用质子数和重子数来表示一个同位素。这里,质子数P由化学元素名决定,重子数是P+N。比如 56 Fe表示铁元素的一个同位素,这里P=26,N=30。目前已知的同位素如图4所示。
所允许的代数曲面区域和已知的同位素区域的形状定性上是一致的,这是我们提议的最主要依据。比如,对于P=1,几何不等式允许的N值范围是从0到9,这对应于氢同位素的范围从 1 H到 10 H。在物理里面,广为人知的氢同位素有氕(protium)、氘(deuterium)、氚(tritium),即 1 H、 2 H、 3 H,但核物理学家也曾发现具有准稳定性(quasi-stable)(共振)的同位素,一直到 7 H(N=6)。
图3 由代数曲面建模的原子的质子数P和中子数N。正如在上文中讨论的那样,所允许的区域被陈数的不等式所限制。请注意在点P=3,N=27处边界上的斜率从9变到了7。直线N=P对应于符号差为零的曲面,即τ=0。
对两种最简单的同位素,即分别带有一个电子的氕和氘,它们对应的极小模型分别是CP 2 和复二次曲面Q。这里Q=CP 1 ×CP 1 ,对应的e=4,τ=0。下面我们会进一步讨论它的相交形式。
对于P=2,N在几何上所允许的范围是0到18。相对应的代数曲面应该建模从 2 He到 20 He的氦同位素。在 3 He和 10 He之间的同位素已经在物理上识别出,这些同位素都可以形成带两个电子的中性原子。不带中子的氦同位素 2 He在一些核元素表中没有被列出来,但是确实存在一个非束缚双质子共振(diproton resonance),并且双质子有时会在重原子核衰变时释放出来。最常见的稳定的氦同位素是带有两个质子两个中子的 4 He,但是 3 He也是稳定的。 4 He原子核也称作α粒子,它们在核反应及核结构里起到至关重要的角色。因此,一个合适的α粒子模型是非常重要的。理想情况下,它应该和立方对称的B=4斯格姆子一致,而后者是很多更大的斯格姆子的组成分块[9,11,23,24]。