



一个很吸引人的想法是通过几何化的方式来描述物质,并用几何中的拓扑性质来描述物质的那些守恒性质。开尔文(Kelvin)开创性地提出用理想流体中的纽结涡旋来描述原子[1]。每个原子类型对应于一个纽结,而纽结无法改变自身拓扑的特性决定原子在物理及化学过程中的守恒(正如人们在19世纪理解的那样)。开尔文的模型没能保留下来,因为我们现在知道原子有结构并且是可分的,即原子核由质子和中子构成,并被电子所包围,在高能量下这些基本结构是可以被分开的。从原子里剥离一个电子需要的能量大约在1eV的数量级,但是从原子核里剥离一个质子或中子则需要若干MeV的能量。
在原子物理及核物理领域,质子、中子和电子通常被视为点状的粒子,它们通过电磁场和强核力相互作用[2]。量子力学是一个至关重要的理论。在这个理论下,电子及核子都有离散的能谱。核子(质子和中子)本身由三个点状的夸克构成,但是从夸克的理论,即量子色动力学(quantum chromodynamics,QCD)中,我们几乎没有得到任何对核结构及相互作用的认识。这些点状的模型在理念上就令人非常不满意,因为一个点显然是一个非物理的理想化模型,是物质及电荷密度的奇点。无穷的电荷密度无论在经典的电动力学[3]还是在电子的量子场论里都会造成困难。用更加光滑的结构承载质子、中子和电子数这些离散的信息才是可取的。
在这篇文章里,我们为中性原子提出一个几何模型。在这个模型里,质子数P和中子数N都是拓扑的,而且原子的组成粒子都不是点状的。在一个中性原子里,电子数也是P,因为电子带有和质子相比完全等量且相反的电荷。给定P,对应于不同N的原子(或者他们的原子核)被称作同位素。
开尔文之后另一个相关的想法来源于斯格姆(Skyrme)。他在3+1维时空下提出了一个具有单个拓扑不变量的非线性波色介子场论。斯格姆指出这个不变量就是重子数(baryon number)[4,5]。重子数(也叫原子数)是质子数及中子数的和,B=P+N。斯格姆的重子在场论里是孤子(soliton),因此是光滑的、拓扑稳定的场结构。斯格姆的模型是用来描述原子核的,但是电子也可以被加进来,从而形成一个完整的原子模型。在斯格姆模型里,质子和中子是可以被区分的,但前提是他们内部的旋转自由度先被量子化[6]。从这可以导出一个量子化的“同位旋(isospin
)”。质子的同位旋朝上(
),中子的同位旋朝下(
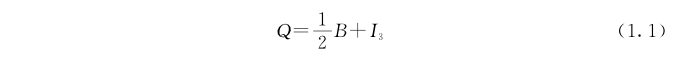
)。这里I
3
是同位旋的第三个分量。这个模型和众所周知的盖尔曼-西岛(Gell-Mann-Nishijima)方程是相容的[7]:
这里,Q是原子核的电荷数(以质子的电荷为单位),B是重子数。Q总是一个整数,这是因为当B为偶数(奇数)时,I
3
取值为整数(半整数)。Q等于原子核的质子数,并且也等于一个中性原子的电子数。中子数是
。斯格姆理论在为原子核建模上已经取得了可观的成果[8-11]。尽管介子场是玻色的,当B是奇数时,这些量子化的斯格姆子(Skyrmion)仍具有半整数的自旋[12]。但这一模型中单独的质子数或中子数都不具有拓扑性,同时电子应当被加进来。
斯格姆模型和四维场论之间联系为本文中讨论的想法提供了部分动机:一个斯格姆子可以被一个四维杨-米尔斯(Yang-Mils)场的投影很好地逼近。更确切地说,我们可以取一个SU(2)杨-米尔斯瞬子(instanton),并且计算它在(欧氏)时间方向沿着所有直线的和乐(holonomy)[13]。这样将得到一个三维空间的斯格姆场,它的重子数B等于瞬子数。
因此,四维空间中的准几何结构(例如平直
中的一个杨-米尔斯瞬子)可以与核结构存在紧密的联系,但这时仍只能获得一个拓扑荷。下一步可以做的是把光滑的非平凡四维流形和原子中的基本粒子(质子、中子、电子)对应起来[14]。我们将提供一些适合的例子。这些流形并不都是紧致的,而且它们所对应的粒子也不都是电中性的。一个更吸引人的例子是作为电子模型的Taub-NUT空间。通过研究在Taub-NUT背景上的狄拉克(Dirac)算子,我们可以揭示电子的自旋是如何在这里出现的[15]。也有一些研究用multi-Taub-NUT空间来建模多电子系统[16,17]。然而,质子和中子的模型有一些技术层面的困难,现在还没有找到将质子和中子几何地组合起来形成(由电子环绕的)原子核的方法,而且在这个意义下也不清楚应该由什么拓扑不变量来表示质子数和中子数。
这些想法的一个变种为最简单的原子提供了一个模型,即中性带有一个质子和一个电子的氢原子。它可以看起来很好地被复射影平面CP
2
来建模
[1]
。CP
2
有这样一个基本拓扑性质:它有一个自相交数为1的生成2-闭链(cycle)
[2]
。CP
2
的第二个贝蒂数是b
2
=1;它可以分解为
和
。这个闭链由CP
2
中的一条复直线表示,同时两条不同的直线总是交于一点。这样的一个闭链,以及它的正则邻域,可以视为原子里的质子部分;而和它对偶的一个点的邻域可以被视为电子。一个点的邻域就是一个边界为三维球面的四维球,而在Taub-NUT电子模型中也是如此:因为它在拓扑上就是
。这个三维球面是二维球面上的一个“扭曲”的圆圈丛(霍普夫纤维化Hopf Fibration),而这可以解释电子的电荷。
在这篇论文里,我们给出一个新颖的关于质子和中子数的提议。为了建模中性的原子,我们考虑紧致的四维流形。在以前的模型中我们总是要求带电的粒子是非紧致的;这样电通量(electric flux)就可以逸散到无穷远,在新模型里我们同样保留这个想法。我们也将考虑的流形局限于复代数曲面。它们的陈数会与质子数和中子数相联系。存在足够多的流形例子来建模所有已知的原子同位素。我们保留CP 2 来作为氢原子的模型。