购买
下载掌阅APP,畅读海量书库
立即打开
畅读海量书库
扫码下载掌阅APP

2.韦伊-彼得森体积与二维拓扑引力

2.1 背景与起始步骤

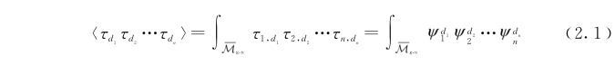
令Σ为一个带有标记点 p 1 ,……,p n 的亏格g闭黎曼曲面,并令 h010022 是Σ在p i 处的余切空间。当Σ和p i 变化时, h010022 作为 h010023 上某个复线丛的纤维(仍记为 h010022 )随之变动。这里 h010023 是有n个孔的亏格g曲线的模空间。事实上,这些线丛自然地延拓到 h010023 的德利涅-芒福德(Deligne-Mumford)紧化 h010024 上。我们记 h010022 的第一陈类为 h010025 ,于是 h010026 是一个二维的上同调类。对非负整数 h010027 是一个二维的上同调类。通常的二维拓扑引力关联函数由下面的相交数给出:

picture

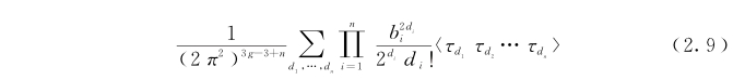
其中d 1 ,…,d n 是n个非负整数。(2.1)式的右边等于零,除非 h030003 h010028 。更准确地说,(2.1)式定义的是关联函数中亏格g贡献的部分,而完整的关联函数则是对所有g≥0求和得到。(对一组给定的d i ,从条件 h030004 中至多只能解出一个整数解g,它是在计算 h020005 时唯一需要考虑的值)。

现在我们解释这些关联函数是如何联系到 h010029 的韦伊-彼得森体积。在n=1的特殊情况,我们只有一个标记点p和一个线丛 h010030 以及上同调类 h010031 。我们还有忘掉标记点的遗忘映射 h010032 。通过在其纤维上对四维上同调类 h010033 进行积分,我们构造了一个 h010034 上的二维上同调类κ:

picture

一般地,米勒-森田-芒福德(Miller-Morita-Mumford)(MMM)类由κd=π * (τ d+1 )来来定义,所以κ正是第一个MMM类κ 1 。κ作为上同调类等于模空间的韦伊-彼得森辛形式ω的常数倍[34,35]:

picture

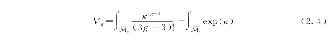
由(2.2)可知,使用κ来定义体积形式比ω方便。于是M g 的体积就是:

picture

κ和τ 2 间的关系让人想到体积V g 或许是拓扑引力的一个关联函数:

picture

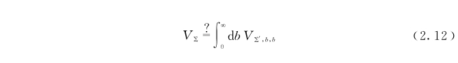
但是这样一个简单的公式是不对的。理由如下,为了计算(2.5)式的右边,我们必须在Σ上引入3g-3个标记点并在每个点处放上τ 2 (也就是 h010035 )。当只有一个标记点时,κ确实能通过如(2.2)式那样在遗忘映射纤维上对τ 2 积分来得到。但是,当标记点多于一个时,我们必须注意在定义M g,n 的德利涅-芒福德紧化时,标记点不允许重合。这会导致一些变化,比如两个τ 2 要改成一个τ 3 。最终V g 也能通过拓扑引力的关联函数表达出来,并能用KdV方程或维拉宿约束来计算,但是该公式变得更复杂。参见下面的2.4小节。现在我们只提一下这个方法在[36]中被用来决定在g相当大时V g 的渐进行为,但在一般的情况下显然不能推出V g 的精确公式。韦伊-彼得森体积及其渐进估计起初是在[37]中用不同的方法来研究的。

h010023 也有韦伊-彼得森体积V g,n 。原则上它也能用 h010036 中相交数的信息来计算。这虽然给出了有用的信息不过仍难以给出精确的一般公式。

米尔扎哈尼的做法不一样。首先,她在双曲的世界里考虑问题,所以接下来Σ不仅是一个复黎曼曲面,它也被赋予了一个双曲度量,也就是常数量曲率R=-1的黎曼度量。一个复黎曼曲面有且仅有一个R=-1的凯勒(Käler)度量。当我们研究双曲黎曼曲面时,一个标记点自然地 [1] 被看作是在双曲度量下无穷远处的尖点(图1)。

picture

图1(a)双曲黎曼曲面上作为标记点的尖点:它位于双曲度量的无穷远处。

(b)不使用标记点,一个双曲黎曼曲面可能有周长是任意正数b的测地边界。

不用标记点的话,我们可以考虑带边的黎曼曲面。在双曲的条件下,这要求每个边界都是双曲度量下的测地线。它的周长可以是任意正数b。现在我们考虑的是一个有n个边界的亏格g开黎曼曲面而不是带有n个标记点的亏格g闭黎曼曲面。Σ上有一个双曲度量并且边界是给定长度b 1 ,…,b n 的测地线。这样的双曲度量的模空间记为 h020008h010037 ,这里 h010038 是数组(b 1 ,b 2 ,…,b n )。

作为一个拓扑空间, h010037h010038 的选取无关。事实上, h010037 是一个轨形,而一个轨形的拓扑类型不依赖于像 h010038 这样的连续变量。当b 1 ,…,b n 都趋于零时,边界都趋于尖点从而 h010037 趋于 h010023 。因此在拓扑的意义下,对任意 h010038h010037 等价于 h010023 。具体地说,我们总能通过把以圆心为标记点的圆盘粘贴到边界的方法,将带边的黎曼曲面转化为带标记点的黎曼曲面,同时不改变黎曼曲面的参数。这推出了 h010037h010023 的拓扑等价性。如果允许Σ上的双曲度量延拓到尖点型的奇点,我们就会得到 h010037 的一个紧化 h010037 ,它与 h010023 的德利涅-芒福德紧化 h010024 是一致的。 h010023h010037 都有自然的韦伊-彼得森辛形式,分别记为ω和 h010039 (参见[38[)。由于 h010023h010037 是拓扑等价的,所以一个自然的问题是 h010037 的辛形式 h010039 是否和 h010023 的辛形式ω在同一个上同调类里。答案是否定的。我们有(参见[2]中的定理4.4):

picture

(这是上同调类之间的关系,而不是微分形式的方程。)由此可得 h010037 的韦伊-彼得森体积是 [2]

picture

等价地,由于允许尖点的紧化不影响体积积分,并且 h010037 的紧化与 h010024 相同,所以我们也能写下在紧化空间上的积分:

picture

以上结果告诉我们当 h010040 时, h010041 简化为M g,n 的体积 h010042 h030005 。更进一步地,(2.8)式推出 h010041h010043 的总次数为3g-3+n的多项式。在计算 h010041 的最高次项时,我们可以把ω从(2.8)式的指数中舍去,然后按b i 的幂次展开。最高次项就是:

picture

(仅带有 h030006 的项对求和有非零的贡献。)或者说,闭黎曼曲面上二维拓扑引力的关联函数在 h010041 的展开式中作为系数出现。当然, h010041 包含了更多的信息 [3] ,因为我们也可以考虑 h010041h010038 的次高项。

因此米尔扎哈尼处理拓扑引力的方法涉及如何从体积多项式 h010041 导出拓扑引力的关联函数。在回顾一个更简单的问题之后,我们将在2.3小节讲计算这些多项式的一些步骤。

2.2 一个较简单的问题

在解释如何计算 h010037 的体积之前,我们先描述在一个较简单的情形中怎样计算体积。事实上,类似的计算出现在[2]中。

令G为一个紧李群,例如SU(2),它的李代数是g。令Σ是亏格g的闭黎曼曲面,M g 是从Σ的基本群到G的全体同态所构成的模空间。等价地,M g 是Σ上g值平坦联络的模空间。于是[38,39]M g 有一个自然的辛形式,它在很多方面都和 h010029 的韦伊-彼得森体积形式类似。将Σ上一个平坦联络记为A,它的变分记为δA。M g 上的辛形式可以通过规范场论的公式定义为

picture

这里(对G=SU(2))Tr为二维表示的迹。

实际上, h010029 的韦伊-彼得森形式能够通过完全相同的公式来定义。Σ上双曲结构的模空间是Σ上平坦 h010021 联络的模空间模掉Σ的映射类群作用后的一个连通分支 [4] 。此时的平坦联络也记为A,Tr仍是 h010021 二维表示的迹。于是在这个情形下,(2.10)式的右边变成 h010029 的韦伊-彼得森辛形式ω的倍数。

带测地边界的双曲黎曼曲面模空间 h010037 也有类似的基于紧李群G的对应。对 h010044h010037 可以用规范场论的语言来解释。在规范场论的语境中, h010037 中的一个点对应着Σ上的平坦 h010021 联络,其满足绕第i个边界的和乐(holonomy)在 h010021 中共轭于群元素 h010045

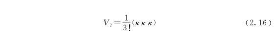
用这种语言我们显然可以类似地对SU(2)等紧李群定义 h010037 。对α κ ,κ=1,…,n,我们选取SU(2)中包含U k =diag(e iακ ,e -iακ )的共轭类。将n-数组(α 1 ,α 2 ,…,α n )记为 h010046h010047 定义了带n个洞(或等价地n个边界)的亏格g曲面上平坦联络的模空间,其满足绕第κ个洞的和乐共轭于U κ 。经过一些分析 [5] ,在这种情形下 h010037 的韦伊-彼得森形式 h010051 以及 h010047 的类似辛形式 icon 可以用(2.10)式的右边来定义。特别地, h010047 有辛体积 h010050 ,它是 h010046 的多项式。这个多项式的系数是某种形式的二维拓扑规范理论关联函数——它们是 h010047 上某些上同调类的相交数。

类似于2.1小节中对引力的描述,[40]对紧致规范群的规范理论做了上述论述。而且[23]对紧规范群描述了计算辛体积 h010050 的各种相对简单的方法。没有一种方法能自然地搬过来处理引力的情形。但是玛丽亚姆·米尔扎哈尼在引力方面的工作给我们带来了有助于解决紧规范群的规范理论中类似问题的想法。为此我们做几个评述。

首先,我们考虑一个三洞球面[有时称为“裤子”,见图2(a)[的特殊例子。对G=SU(2), h010052 或者是体积为1的一个点,或者是体积为0的空集,这取决于 h010046 。我们也能对其他紧群G计算(稍微困难些)三洞球面模空间的体积,但在此不解释其中的细节因为SU(2)的情形足以说明问题。

现在为了推广至三洞球面以外的情况,我们注意到任一个闭曲面Σ都可以通过沿着一些三洞球面的边界粘贴而成[图2(b)]。如果Σ是这样构造的,那么对应的体积 h010047 就是把每个三洞球面的体积函数乘起来再沿着发生粘贴的内边界对参数α积分而得。(我们也要对粘贴时产生的扭转角度积分,但这仅给出一个平凡的全局因子。)因此,对紧群而言,我们可以相对直接地得到体积 h010050 。而且这样的公式相当好处理。

picture

图2(a)三洞球面或“裤子”。(b)可能带边的黎曼曲面Σ,可通过沿边界粘贴三洞球面得到。三洞球面的每个边界或者是外边界——Σ自身的边界——或者是由粘贴(一般来说不同的)三洞球面的边界而成的内边界。这个例子里有一个外边界和四个内边界。

当我们模仿SU(2)去处理 h010021 的情形时,一些步骤仍然有效。特别地,如果Σ是一个三洞球面,那么对任意 h010038 ,模空间 h010054 是一个点并且 h010021 ,出错的地方是如果Σ使 h010054 不再是一个点,那么Σ上平坦 h010021 联络模空间的体积是无限的。对SU(2),上一段提到的过程需要对参数 h010046 的积分。这些参数是取值于某个紧集的角变量,故对它们的积分是收敛的。而对于 h010021 (在与双曲度量有关的平坦联络模空间的连通分支中),我们要把角变量 h010046 换成正参数 h010038 。这些正数的集合不是紧致的,从而对 h010038 的积分是发散的。

这并不奇怪,因为李群 h010021 是非紧的。平坦 h010021 联络与复结构间的关系告诉我们怎样得到一个合理的问题。从平坦 h010021 联络的模空间(的一个连通分支)到黎曼曲面的模空间,我们必须模掉Σ的映射类群(Σ的自同胚群的连通分支)。黎曼曲面的模空间有有限的体积而平坦 h010021 联络的模空间没有。

然而这就是我们使用切割粘贴的方法来计算体积时遇到的困难。拓扑上,Σ能够通过许多不同的粘贴三洞球面的方式得到。这些不同的粘贴方式在映射类群的作用下彼此转换。任何一种粘贴方式在映射类群的作用下都不是不变的,并且在基于某个粘贴方式的计算中,如何模掉映射类群的作用也是个困难的问题。

下面我们介绍玛丽亚姆·米尔扎哈尼关于拓扑引力的方法,其核心就是如何处理上述问题。

2.3 玛丽亚姆·米尔扎哈尼怎样处理模不变性

令Σ为一个带测地边界的双曲黎曼曲面。为了计算对应的模空间的体积,理想的做法是沿着闭测地线ℓ来切割Σ。这样的切割方法能用比Σ简单的双曲黎曼曲面构造出Σ。如果Σ被沿着ℓ分成了两个不连通的分支[(图3(a)],那么Σ可以由两个带测地边界的双曲黎曼曲面Σ 1 和Σ 2 沿着ℓ粘成。如果Σ被沿着ℓ切割后仍是连通的,那么Σ是通过粘贴一个曲面Σ'的两个边界分支而成。这两种情况分别称为分离的和不分离的。

picture

图3 带边黎曼曲面沿着某个嵌入圆周的切割可能是如(a)所示分离的,也可能是(b)所示不分离的。

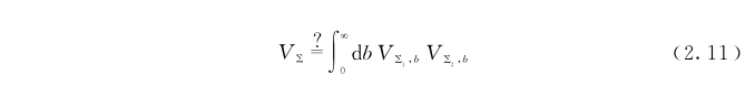
在分离的情形,我们期望Σ对应的体积函数 h010041 能通过Σ 1 和Σ 2 对应的体积函数相乘,并对ℓ的周长b积分来得到。形式上:

picture

这里Σ 1 和Σ 2 都有一个边界分支的周长是b,并且这个分支在Σ中不出现。在不分离的情形,类似的公式是:

picture

这里Σ'有两个外边界分支的周长都是b。

Σ 1 、Σ 2 和Σ'在以下意义中比Σ简单:它们的亏格更小,或者说欧拉示性数是较大的负值。所以如果我们有形如(2.11)或(2.12)那样的公式,那么就能归纳地导出体积函数的一般公式。

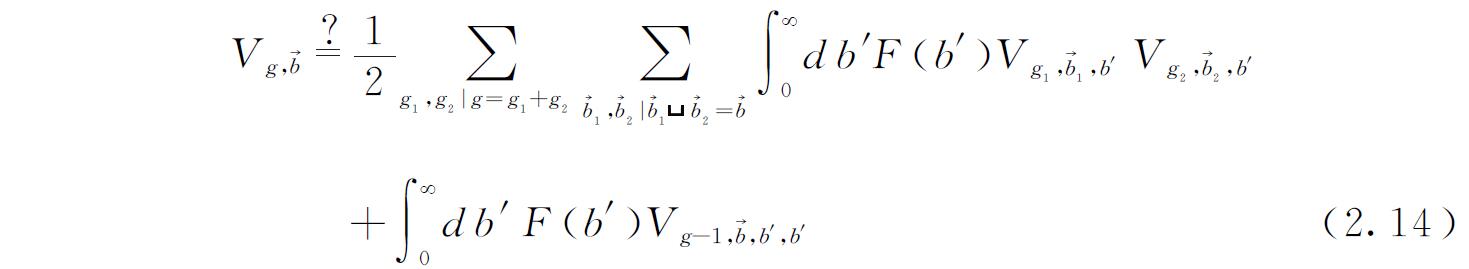
这些公式的问题在于一个双曲黎曼曲面事实上有无限多简单闭测地线 l α ,然而并没有一个自然的(满足模不变性的)选择。尽管如此,假设F(b)是正实数b的函数并满足:

picture

这里求和遍历双曲曲面Σ上的所有简单闭测地线ℓ α ,b α 是ℓ α 的的长度。这样通过对每个嵌入的简单闭测地线配以权重因子F(b)后再进行求和,我们可以得到上述公式的正确形式。在写下这些公式的过程中,我们要记住沿给定的ℓ α 切割亏格g曲面Σ时,它或者保持连通,或者被分成亏格分别是g 1 和g 2 的曲面Σ 1 和Σ 2 满足g 1 +g 2 =g。在分离的情形,Σ的边界按Σ 1 和Σ 2 任意分配。Σ 1 和Σ 2 中的每一个都有额外的一个边界分支,其周长记为b '。若Σ的边界长度是 h010038 ,则Σ 1 和Σ 2 的边界长度分别为 icon ,b '和 iconicon ,b ',这里 iconicon 是两个集合的不交并),而Σ是由Σ 1 和Σ 2 沿着长度是b '的边界粘成的。见图3(a)所示。这个图中集合 h010038 只有一个元素。在图3(b)所示的不分离的情形中,Σ是由边界长度为 h010038 ,b ',b '的另一曲面Σ'沿着长度为b '的两个边界粘贴而成的。Σ'的亏格g '是g '=g-1。不考虑拓扑的性质,体积的递推关系涉及(2.13)式那样对所有简单闭测地线ℓ α 的求和。这个递推关系是:

picture

在第一项中,求和取遍所有拓扑的粘贴方式;因子 icon 反映了Σ 1 和Σ 2 对调位置的可能性。因子F(b ')则用来配合对沿所有简单闭测地线的切割方式求和。对亏格和曲面欧拉示性数绝对值进行归纳,这个递推关系将导出所有 icon 的精确表达式。

在一个重要的特殊情形中,也就是Σ是亏格1的并只有1个边界分支时,[41]确实依照(2.13)式和(2.14)式给出了准确的求和规则和等式。

一般的情形要复杂得多。一般地,我们有一个等式涉及Σ的一对简单测地线。这对测地线和Σ的另一个边界分支共同组成了一个裤子的边界(图4)。这个等式是由麦克沙恩(McShane)对带孔的双曲黎曼曲面证明的[41],并被米尔扎哈尼推广到带边的曲面,参见[1]中的定理4.2。

picture

图4 通过粘贴带测地边界的双曲裤子和一个更简单的双曲曲面Σ'来构造双曲曲面Σ。Σ和Σ'都有测地边界(图中是Σ'连通的情况)。

这个推广的麦克沙恩等式导出了一个关于韦伊-彼得森体积的类似于公式(2.14)的递推公式。准确的叙述请参见米尔扎哈尼的论文[1]中定理8.1。下面说一下朴素公式(2.14)和准确公式之间的主要区别。在(2.14)式中,我们把Σ想象成基本的小块以任意的方式粘成的。在正确的公式中——米尔扎哈尼的定理8.1——我们把一些裤子粘起来得到Σ,如图4所示。推广的麦克沙恩等式及递推关系中引进了类似于F(b ')的因子Fb,b ',b″,用以配合对无限多将Σ切割成双曲裤子的方式求和。

从这个意义上来说,米尔扎哈尼得到了一个类似于但比(2.14)式更复杂的韦伊-彼得森体积的递推公式。这样做的一部分妙处是该公式出人意料地更容易处理。在[1]的第6小节里,她用这个递推公式重新证明了体积函数 iconicon 的多项式,完全没有使用在2.1小节中讲过的与拓扑引力的关系。在[2]中,她证明了这些多项式满足[19]中用矩阵模型描述的二维引力维拉宿约束。因此,通过2.1小节中讲过的体积和相交数的关系——下面将回到这个话题——她给出了[17,20]中已知的关于黎曼曲面模空间中相交数,或等价的关于二维拓扑引力关联函数的公式。

2.4 体积与相交数

在本小节中我们主要描述关于韦伊-彼得森体积与拓扑引力关联函数之间联系的公式。

给定一个带有n+1个标记点的曲面Σ,去掉一个标记点p的操作诱导了遗忘映射 icon 。如果我们在p点处放上一个上同调类τ d +1 并沿着π的纤维对其积分,就得到了米勒-森田-芒福德类κ d * τ (d+1) 。这是一个 icon 上次数为2d的上同调类。

在计算关联函数 icon 的第一步中,你也许会对放上τ d+1 的点进行积分,并在 icon 的纤维上积分之后,希望得到:

但这是不对的。这个公式的正确形式应包含τ d+1 和某个 h020009 接触时产生的交叉项。这样的交叉项相当于引入了 h020010 。完整的解释参见[17]。把这些交叉项都算在内,我们能将τ的关联函数表示成κ的关联函数,反之亦然。

一个特殊的情况是体积的计算。像之前那样,我们把κ 1 记为κ,并把 icon 的体积定义为 icon 这可以由τ的关联函数来表示,但必须考虑到交叉项。

作为例子,我们考虑亏格是2的闭曲面的情形。紧化模空间 icon 的体积是:

picture

将其与拓扑引力的如下关联函数进行比较:

picture

通过对孔的位置积分,τ 2 变成了κ,但同时也产生了交叉项。在这些交叉项中,τ 2 和某个τ s ,s≥0,合并生成了有τ s+1 的一项。比如:

picture

这里的系数2反映了第一个τ 2 可能与另两个τ 2 中的任意一个合并成τ 3 。同样的过程也适用于因子κ已经出现的情况;它们不产生额外的交叉项。比如:

picture

类似地

picture

将这些等式做线性组合,最终我们得到:

picture

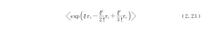
这等价于说V 2 作为下列函数中ξ 3 的系数:

picture

等于以下函数中ξ 3 的系数:

picture

在高亏格时的推广是:

picture

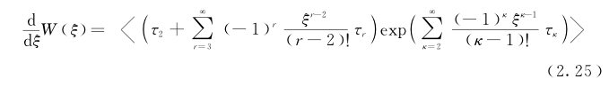
icon 的体积就是这些展开式中ξ 3g-3 的系数。为了证明(2.24),我们将其右边记为W(ξ)并计算:

icon

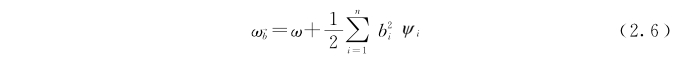
然后将右边括号里的τ 2 项换成κ以及τ 2 与指数函数中τ κ 的交叉项。这些交叉项和括号中的τ r 项相抵消,于是我们得到:

picture

对所有s≥0重复这个过程:

picture

令ξ=0,则:

picture

并且对所有s≥0,这个等式等价于(2.24)。

在[42]中,(2.24)是通过对比矩阵模型和米尔扎哈尼的公式导出的。在4.2小节中讨论谱曲线的时候,我们将回到这个问题上。关于代数几何方法及其推广,参见[43,44]。类似地,我们也可以得到 icon 的体积公式。 gyALFMSmV3kpMICymNE0IKxmrRFg6qnQ5QbW++jlvHsd0obb8PEyHAzYXBQnpY1C

点击中间区域
呼出菜单
上一章
目录
下一章
×