



到目前为止,我们对组合再平衡的分析对纯多头组合与多空组合都是适用的。例如,在对组合换手率的讨论中,我们对组合权重取了绝对值,那么式(3-6)~式(3-12)的结果就对多空组合也成立。然而,纯多头组合与多空组合的再平衡有一个重大差异,这个差异源自两者再平衡过程的操作机制。在纯多头组合中,再平衡操作总是买入输者,同时卖出赢者。而在多空组合中,情况却并不总是如此。当我们研究多空组合再平衡的影响和再平衡Alpha时,这个差异就会产生关键性的影响。在本节中,我们想要深入研究多空组合再平衡过程的特点。
让我们从一个最好的起点开始:考虑一个两资产的多空组合,其w 1 <0,w 2 >0,并且w 1 +w 2 =1。组合杠杆定义为组合权重的绝对值之和:
那么,根据式(3-4),
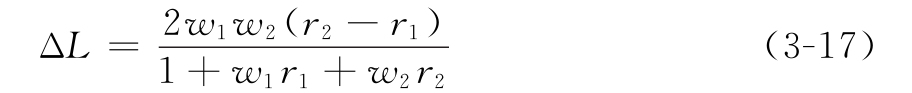
我们假设组合没有遭遇破产,即1+R>0。由于w 1 w 2 <0,每个资产在组合中的权重的变化量都与该资产相较另一个资产的相对表现呈负比例关系。换言之,如果一个资产跑赢了另一个资产,那么它的权重变化量将是负的,也就是说它的权重将会低于初始权重。为了再平衡这个组合,我们需要买入该资产。相反地,如果一个资产跑输了另一个资产,那么它的权重变化量将是正的,也就是说它的权重将会高于初始权重。为了再平衡这个组合,我们需要卖出该资产。总之,为了再平衡这个多空组合,我们需要买入赢者而卖出输者,这与纯多头组合再平衡的操作恰好相反。
让我们用一个具体的例子来说明这一点。考虑前面提到过的投资A和投资B,投资A第一年涨幅100%,而投资B第一年涨幅-50%。我们构建一个多空组合,在投资A上的权重为多头120%,在投资B上的权重为空头20%。表3-6展示了该组合在第一年末的结果。投资A从1.2美元涨到2.4美元,而投资B从-0.2美元变为-0.1美元。由于组合在两个资产上配置了正确的头寸,再叠加上杠杆效应,总投资市值从1美元上涨到2.3美元。现在,组合权重为104%和-4%。与初始权重120%和-20%相比,投资A上的权重减少了,而投资B上的权重增加了。为了再平衡这个组合以使它回到初始权重,我们需要将投资A增加到2.76美元(买入赢者),同时将投资B降低到-0.46美元(卖出输者)。
表3-6 另一个买入并持有组合的历史投资情况
注:原书数据为2.74,实际应是2.76。
在表3-6的最后一行,我们也给出了组合杠杆随时间的变化。在再平衡之前,杠杆从140%降到了109%。而再平衡操作将组合杠杆重新恢复到140%。
事情也可能朝着完全不同的方向发展。在表3-7中,我们展示了一个做空20%投资A同时做多120%投资B的投资组合的结果。在一年之后,多空头寸都出现了严重的亏损,其投资A从-0.2美元降至-0.4美元,投资B从1.2美元缩水至0.6美元。组合价值变为0.2美元,损失了80%。组合权重的变化更加令人吃惊,投资A上权重变为-200%而投资B上权重变为300%。为了再平衡这个组合,我们需要卖出投资B(卖出输者)至0.24美元,同时买入投资A(买入赢者)至-0.04美元。
表3-7 另一个买入并持有组合的历史投资情况
在上述两种情形下,组合再平衡操作都是买入赢者而卖出输者。我们注意到,当多空组合产生盈利时,组合杠杆会降低,当它蒙受损失时,组合杠杆会升高。
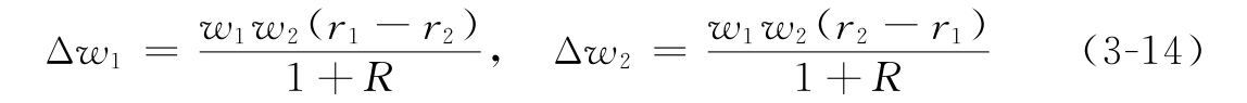
对于一般的包含多于两个资产的投资组合,我们使用式(3-2)来确定组合权重的变化,这使得多头头寸与空头头寸有不同的操作机制。对于多头头寸,其效果与式(3-3)类似。如果一个资产跑赢(跑输)了整体组合,那么其多头头寸的权重将增加(减少)。对于空头头寸,结果恰好相反,我们有
换言之,如果一个资产跑输(跑赢)了整体组合,那么其空头头寸的权重将增加(减少)。但是需要注意,空头头寸的增加意味着负向权重的绝对值缩小了。为了再平衡这个组合,我们必须卖出该资产。与之相反,一个空头头寸的减少意味着负向权重的绝对值变得更大了,那么再平衡操作将买入该资产。
观察力敏锐的读者可能会发现,在表3-6和表3-7所给的例子中,再平衡对多头头寸的操作分别是买入赢者和卖出输者,这似乎与式(3-3)对多头头寸给出的推断不一致。事实上这并不矛盾。在式(3-3)和式(3-15)中,相对收益都是对于组合整体而言的。在表3-6和表3-7的例子里,我们不太正式地用了两个资产之间的相对表现来确定赢者和输者。由于多空组合是一个杠杆组合,有可能发生所有资产都跑输整体组合的情况(表3-6),也可能发生所有资产都跑赢整体组合的情况(表3-7)。因此,跑赢另一个资产的赢者有时可能还是跑输了整体组合,而跑输了另一个资产的输者有时可能还是跑赢了整体组合。必须注意到,对于纯多头组合而言,这两种特殊情况均不可能出现。
例3.4: 为了说明多空组合再平衡的机理,我们来讨论一个包含四个资产的投资组合,其中三个是多头头寸,一个是空头头寸。这个组合像一个加了杠杆的多头组合,其中资产1是无风险资产,其他三个资产是风险资产。表3-8给出了权重。组合杠杆达到了300%。假设资产收益率分别为0%、1%、6%和2%,那么组合收益率为5%。组合权重都发生了漂移。资产1上是空头头寸,它的权重增加了,这是因为该资产的收益低于整体组合。资产2和资产4上是多头头寸,由于它们跑输了整体组合,所以它们的权重都降低了。对于持有多头头寸的资产3,它的收益高于整体组合,因此它的权重增加了。为了再平衡这个组合,我们要卖出资产1和资产3而买入资产2和资产4。这项再平衡操作也将组合杠杆从290.5%恢复到300%。
表3-8 四资产组合的组合权重和收益率 (%)
一个相关的主题是多空组合的杠杆。前面我们提到过,杠杆倍数定义为组合权重绝对值之和,于是纯多头组合的杠杆倍数总是1,而多空组合的杠杆倍数总是大于1。因此,纯多头组合具有恒定的杠杆倍数,而多空组合的杠杆倍数会不断变化。如果不进行再平衡,多空组合的杠杆随着时间的积累可能就会发生非常显著的漂移,对组合风险与收益特征产生很大的影响。
至此,我们展示的多空组合的例子似乎说明:如果多空组合产生了盈利(亏损),那么它的杠杆倍数将减少(增加)。下面我们将说明,情况并不总是如此。
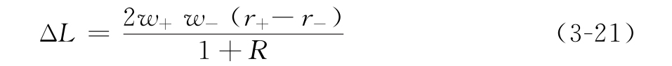
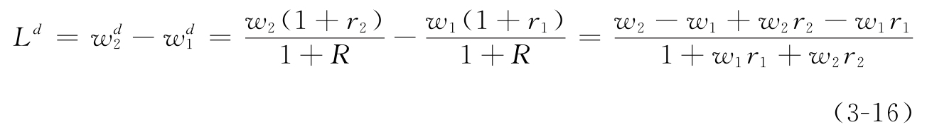
对于前面讨论过的两资产多空组合,杠杆倍数由L=w 2 -w 1 >1给出。由于权重的漂移,新的杠杆倍数为
杠杆的变化量为ΔL=L d -L。根据式(3-16),简单的代数计算可以得出
由于w 1 w 2 <0,变化量ΔL的符号与资产2相对资产1的收益率差值的符号相反。当多头跑赢空头时,杠杆倍数下降;当多头跑输空头时,杠杆倍数上升。在这两种情形里,组合收益既可以为正,也可以为负(选择合适的权重即可)。
对于包含多于两个资产的一般多空组合,要推导所有资产权重的变化依赖于底层资产收益率的关系,这将变得复杂得多。一种简化问题的方法是将资产分为两组:一组是被做空的资产,另一组是被做多的资产。然后,整个组合就等同于在做空第一组资产的同时做多第二组资产,从而可以视为一个两资产多空组合。于是,我们就可以借助前面对两资产多空组合的讨论推导出类似的结果。
我们定义分组整合后的多头权重和空头权重为
定义多头资产和空头资产的平均收益率为
于是,我们有L=w + -w - >1以及R=w + r + +w - r - 。之后就可以直接套用两资产组合的结果,得到
及
因此,当多头资产的加权平均收益率高于空头资产的加权平均收益率时,杠杆就会降低。反之亦然。
只有当资产数目较少时,我们才有可能对每个资产进行针对研究。当资产数目较大时,把它们分成多头资产和空头资产两组就是一个有用的技巧,我们将会在后续章节再次用到。