



前面的例子显示,纯多头组合的再平衡将导致买入前期收益较低的资产,同时卖出前期收益较高的资产。现在我们从数学上将这一观察结论推广到更一般的情形。需要强调的是,虽然接下来的公式对纯多头组合和多空组合并没有什么差别,但我们将在下一节看到,纯多头组合再平衡的直观机制与多空组合再平衡的直观机制相当不同。
我们考虑一个包含M个资产的投资组合,权重为w=(w
1
,w
2
…,w
M
)′,并且
=1。假设这些资产在同一投资周期上的收益率为r=(r
1
,r
2
,…,r
M
)′。那么组合收益率为R=w
1
r
1
+w
2
r
r
+…+w
M
r
M
=w′·r。在这里我们省去了时间下标,因为此处我们只是研究组合权重在一个投资周期后的漂移量。
在经过一个投资周期后,组合权重漂移到
,并且组合权重的变化量为
对于纯多头组合,我们有
换言之,跑赢组合的资产的权重将增加,跑输组合的资产的权重将减少。此外,一个资产的权重变化量正比于它的初始权重,以及它相对于组合的超额收益。
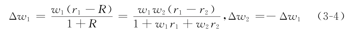
例3.1: 考虑一个包含两个资产的投资组合。根据式(3-2),我们有
当两个资产的权重均为正时,收益率较高的资产的权重将会增加。从式(3-4)容易看出,如果期初一个资产的权重为零,或者投资期上两个资产的收益率相等,那么期末的权重将不会发生变化。
对于给定的一组收益率,组合权重的变化将依赖于初始组合权重。权重变化的大小是很重要的研究课题,因为它们决定着组合的换手率,稍后我们将给出换手率的确切定义。权重变化的大小也与再平衡Alpha的量级有关。根据式(3-4),对于两个资产权重均为正的纯多头组合,我们注意到分子在w 1 =w 2 =50%时取到最大值。然而,由于分母也同时依赖于权重,所以式(3-4)的最大值并不恰好在等权组合处取到。不过,等权组合点与最大值点也相距不远(参见问题3.2)。
现在我们来定义再平衡导致的组合换手率,它就是各资产权重变化量绝对值的总和:
这个定义衡量了组合再平衡的单边(只考虑买入或者只考虑卖出)换手率。将式(3-2)代入式(3-5)得到
这一公式中的近似部分在组合收益率较小时成立。
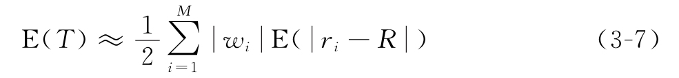
对于固定权重组合,每期的换手率随当期实现收益率的情况而变化。预期换手率或者长期平均换手率有以下近似估计:
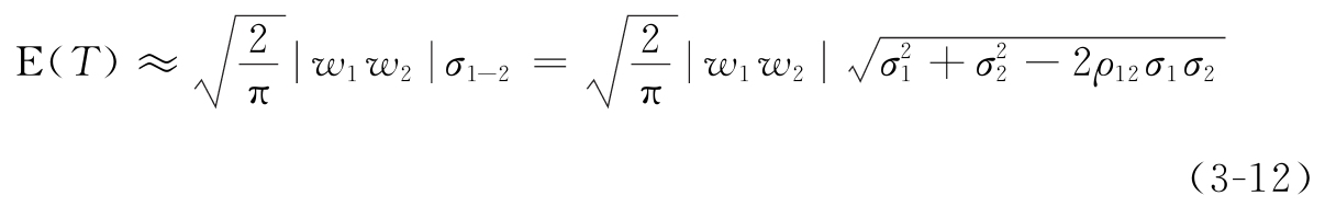
为了进一步推进,我们假设资产收益率服从正态分布。因此,单个资产与组合的收益率差值服从以下正态分布:
我们假设μ i 和μ分别是资产i和组合的平均收益率。收益率差值的方差(参见例2.5)为
σ i 和σ分别是资产i和组合的波动率,ρ i,p 是两者的相关系数。当资产i与组合的平均收益率相等,或者其差异与收益率差值的波动率相比很小时,收益率差值绝对值的期望值可以推出解析表达式。我们用这个结果给出平均换手率的一个近似估计,即
从式(3-9)容易看出,波动率σ i-R 是资产i与组合的相关系数ρ i,p 的递减函数。当所有的单个资产之间都高度正相关时,单个资产与组合整体之间也倾向于高度正相关,这将导致较低的换手率。
例3.2: 对于一个包含两个资产的投资组合
因此,
式(3-12)的好处在于它将换手率表示为单个资产的波动率及相关系数的函数,而不依赖于组合层面的特征。
例3.3:
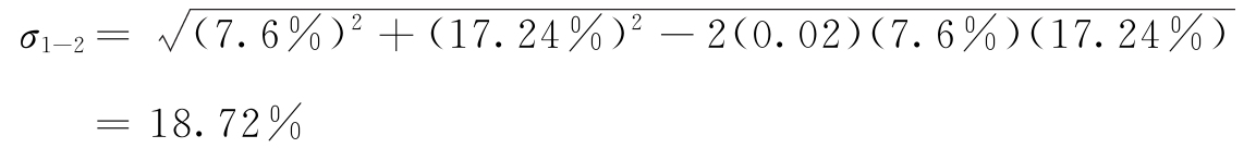
我们使用式(3-12)来估计第2章中讨论过的两个由四种资产构成的资产配置组合的再平衡操作的预期换手率。在表3-5中,我们罗列了四个资产类别的波动率和相关系数矩阵,这是基于它们自1970年至2014年的年度收益数据估计出来的。让我们首先来考虑一个包含现金的两资产组合。现金收益的波动率与其他资产类别相比太低了,以至于它对收益差值的波动率几乎没有什么贡献。因此,我们可以使用风险资产的波动率来近似替代收益差值的波动率,即E(T)≈
,其中我们假设资产1是现金而资产2是风险资产。根据公式,50/50的现金/债券组合的预期换手率为
表3-5 四个资产类别的波动率和相关系数矩阵
可以计算出,50/50的现金/股票组合的预期换手率是3.44%,50/50的现金/商品组合是4.92%。
对于一个股票/债券组合,两种资产的收益差值的波动率为
这比股票资产自身的波动率略高一点。代入式(3-12),我们得到50/50的股票/债券组合的换手率为3.73%。