



资产收益率和波动率的分析取决于投资期限。在这一节中,我们关注的是单个资产和资产组合的多期收益的波动性。
对于收益率序列没有自相关性的单个资产,多期收益率的波动率近似为单期收益率的波动率乘以周期数的平方根。例如,考虑一个包含两个投资周期的收益率序列。当前后两个周期之间的相关系数为零时,整个投资期(包括两个周期)上的波动率将为
,其中σ是单期收益率的波动率。当我们取w
1
=w
2
=1并假设σ
1
=σ
2
=σ时,这个结果遵循式(2-33)的第二种情况。
然而,在现实中,资产收益往往是序列相关的。它们的行为常表现为动量或反转,其中动量表现为正的序列相关性,反转表现为负的序列相关性。表2-4列出了先前讨论的四种资产类别的序列自相关系数。我们考虑了一年到三年的不同滞后期。ρ(1)是当年收益率与随后第一年收益率的相关系数;ρ(2)是当年收益率与随后第二年收益率的相关系数。依此类推。
表2-4 1970~2014年年度资产收益率的序列自相关系数
对于不同的资产,模式是不同的。现金的相关系数都是正的,其收益率与短期利息挂钩,而短期利息持续性相当高。债券的前两个相关系数为负,这意味着收益率反转,部分原因是债券票息的反转;三年滞后期的序列相关系数为正。对于股票,一年的序列相关系数为零;但是,对于两年的滞后,它是显著为负的;而对于三年的滞后,它又变成正的。商品是唯一具有一年动量的风险资产,因为其一年的序列相关系数为正。然而,它在第二年和第三年均逆转为负。
对于单个资产,当相关系数不为零时,我们使用式(2-32)得到
我们用ρ(1)来表示滞后1期的序列相关系数,用σ〈2〉来表示两期收益率的波动率。注意,这里我们隐含地假设了两期收益率等于两个单期收益率之和。实际上,两期收益率是两个单期收益率的复利累积收益率,因此,式(2-36)最多只是一个近似值。
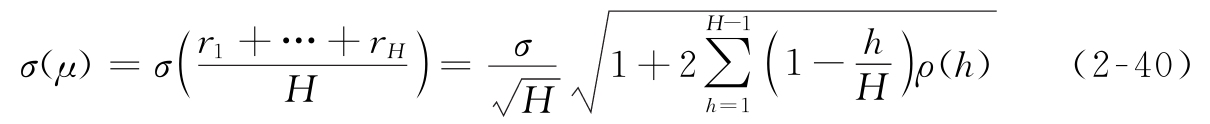
一般而言,多期收益率的波动率如下:
上述波动率在形式上类似于所有资产具有相同波动性,且每个资产权重均为1的投资组合的波动率。因此,根据式(2-31),我们得到
ρ(h,g)表示r g 和r h 之间的序列相关系数。假设收益率序列是平稳的,序列相关系数只取决于两个周期之间的滞后期,那么ρ(h,g)=ρ(h-g)=ρ(g-h)。于是式(2-38)可以改写为
ρ(h)前的系数反映了具有滞后期h的收益率对的数目。滞后期越小,收益率对越多;滞后期越大,收益率对越少。多期收益率的方差也可以表示为矩阵形式。这个推导留作练习。
式(2-39)也可以推出多期平均收益率的波动率。我们有
算术平均收益率的波动率通常会随着投资期的延长而下降,与投资期长度的平方根成反比。序列相关性对它的影响类似于多期收益率方差的情形。
如果从理论上进行时间序列分析,那么在某些特定时间序列模型中,ρ(h)就可能具有解析表达式。我们有一个关于AR(1)过程
的练习。在实证分析中,我们可以将ρ(h)取为具有相同滞后期h的序列相关系数的平均值。
单个资产的多期波动性受其序列自相关性的影响。然而,对于一个投资组合,单个资产的序列自相关性和不同资产之间的序列交叉相关性都会对其多期收益波动性产生影响。让我们首先考虑一个包含两种资产和两个周期的投资组合。使用式(2-20)的符号,我们得到
那么,
式(2-41)右边的方差是四个收益率项之和的方差。展开计算可得16个协方差项。形如cov(r 11 ,r 12 )和cov(r 21 ,r 22 )的协方差将涉及两种资产各自的序列自相关性。而形如cov(r 11 ,r 22 )和cov(r 21 ,r 12 )的协方差则涉及两种资产的序列交叉相关性。例如,cov(r 11 ,r 22 )是资产1在周期1上的收益率与资产2在周期2上的收益率之间的协方差。
由式(2-41)展开得到的表达式相当烦琐。我们用收益率向量和协方差矩阵来进行推导。如本章前面所述,令r 1 =(r 11 ,…,r M1 )′为周期1上的收益率向量,令r 2 =(r 12 ,…,r M2 )′为周期2上的收益率向量,依此类推。令w=(w 1 ,…,w M )′为组合权重。那么多期收益率的方差为
于是我们有
其中Σ〈H〉是r 1 +…+r H 的协方差矩阵。协方差矩阵Σ〈H〉等于许多协方差矩阵的和:
最后,Σ h,g 是周期h上的收益率r h 与周期g上的收益率r g 之间的协方差矩阵。我们可以将它写作Σ h,g =cov(r h ,r g )。于是多期收益的方差就是
当两个下标相同时,两个收益率向量相同,跨期协方差矩阵就退化为普通的“同期”协方差矩阵,即Σ h,g =Σ。在这种情况下,我们有w′Σw=σ 2 ,这就是单期组合收益的波动率。因此
注意式(2-46)与式(2-38)形式类似。