



到目前为止,我们对算术收益率和几何收益率、收益波动率以及它们之间的关系的讨论都是针对单个资产的。我们现在引入资产组合的符号,包括组合权重、组合收益率和组合波动率。这些内容源自标准投资组合理论,适用于具有固定权重的投资组合。
假设我们有M个可投资资产,我们定义了一个资产组合,它有一组资产组合权重(w
1
,w
2
,…,w
M
),可以用一个权重(列)向量w=(w
1
,w
2
,…,w
M
)′表示。
投资组合权重总和为1:
资金约束(式(2-19))可以用向量形式写为w′·i=1,其中向量i=(1,1,…,1)′。投资组合权重是实数;对于仅限多头的投资组合,它们是非负的,而对于多空组合,它们中的一些是负的。这里提出的公式和结果应该同时适用于多头组合和多空组合。
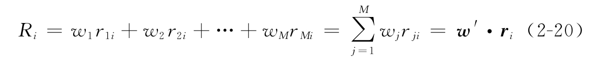
在第i期,这些资产的收益为r 1i ,r 2i ,…,r Mi ,这也可以用收益向量来表示,即r i =(r 1i ,r 2i ,…,r Mi )′。于是,投资组合在周期i上的收益是
其中最后一个表达式是两个向量的内积。
组合收益在N个周期上的算术平均为
换言之,投资组合收益的算术平均数是单个资产算术平均收益的加权平均数。如果我们用向量μ=(μ 1 ,μ 2 ,…,μ M )′表示单个资产的算术平均收益,那么式(2-21)就可以写成μ=w′·μ。我们把投资组合的几何平均收益率的定义留到下一章。
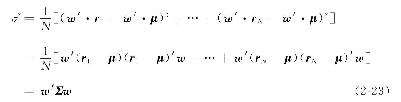
投资组合波动率或方差可以用类似的定义,我们有
利用投资组合收益的向量形式和公式中的投资组合收益的算术平均值可以得出
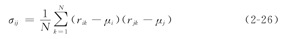
矩阵Σ是资产收益的样本协方差矩阵:
M×M的矩阵可以用其元素来表示:
协方差矩阵是对称的,也是正定的(除非所有元素均为零
)。对角线元素是单个资产的方差,定义为式(2-6),其变体在式(2-7)和式(2-8)中。非对角元素是成对资产之间的协方差,由下式给出:
通常用符号cov来表示协方差,即
其中向量r
i
,r
j
是资产i和资产j在N个周期上的收益向量。那么,单个资产的方差
=var(r
i
)=cov(r
i
,r
i
)。
投资组合的方差也可以用方差和协方差来重写,我们可以得到
第一个求和项由单个资产的方差组成,第二个求和项由不同资产形成的所有成对的协方差组成。
协方差矩阵也可以用波动率和相关矩阵来表示。我们定义成对相关系数:
很容易证明|ρ ij |≤1。那么,
矩阵C是相关矩阵
,diag(σ
1
,…,σ
M
)是一个对角线矩阵,其对角线上的元素为单个资产的波动率。利用成对相关性,式(2-28)可以写成
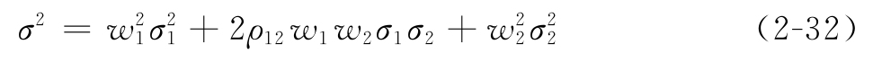
例2.4: 考虑包含两个资产的情况。投资组合方差变为
当两个权重都非负时,我们有以下三种特殊的相关系数下的结果:
当相关系数为1时,投资组合波动率最高;当相关系数为-1时,投资组合波动率最低。相关系数越低,波动性越低。多元化收益随相关系数的降低而增加。
例2.5: 我们也可以在式(2-32)中取w 1 =1和w 2 =-1来推导出两个资产收益率差值的波动率,即
值得注意的是,我们使用了σ 1-2 来表示收益率差值的波动率。
在一些读者看来,例2.5的权重不适合实际的投资组合,因为它们的和不等于1。这在严格意义上是正确的。然而,我们可以通过在资产1中投资100%(做多)、在资产2中投资-100%(做空)和在无风险资产中投资100%(做多)来使其成为一个实际的多空投资组合。此时,权重之和为1,这个多空投资组合的波动率将由式(2-34)给出。
例2.6: 另一种特殊的多空组合是带杠杆的纯多头组合。我们从一个纯多头组合开始,其正权重为w=(w 1 ,…,w M )′,其中w 1 +w 2 +…+w M =1。资产0代表无风险资产。杠杆投资组合可以通过从无风险资产中借入额外资金并将其投资于多头组合来构建。假设w 0 <0是无风险资产的权重。杠杆投资组合将具有权重
由于无风险资产没有收益波动性,因此杠杆投资组合的波动率是原始纯多头组合波动率的(1-w 0 )倍。L=(1-w 0 )是投资组合的杠杆。我们指出,如果w 0 >0,结果同样有效。当0<w 0 <1时,最终投资组合权重(式(2-35))均为正。当w 0 >1时,最终投资组合做多无风险资产,而做空原始多头组合。