



算术平均-几何平均不等式表明,算术平均值一般高于几何平均值。那么下一个问题就是“高多少”?本节我们来推导这两种均值之差的近似公式,这将成为研究投资组合再平衡的有用工具。
取式(2-3)的对数,我们有
当收益很小时,我们可以用r=0附近的泰勒(Taylor)展开式来近似代替上式右端的对数函数,即ln(1+r
i
)≈
。近似值的误差是单期收益率的三次方。由于我们的目标是将几何平均值g与算术平均值μ联系起来,一种更直接的方法是将对数函数在μ附近展开:
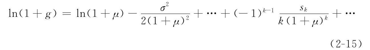
右端级数的收敛条件如下:
当单期收益率大小适度时,式(2-14)的条件应该被满足。然而,当某期收益是一个极端正向离群值,即远高于其他各期收益时,上述条件可能就不被满足了。
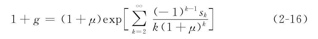
将式(2-13)代入式(2-12),得出
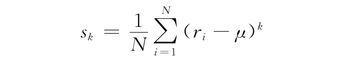
式中s k 这个项就是
例如,s 2 是方差,s 3 是波动率的立方乘以偏度,s 4 是方差的平方乘以峰度,等等。取式(2-15)的指数函数,我们得到
如果我们只取级数的第一项,我们就有
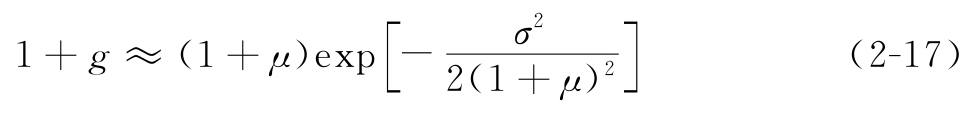
通过用exp(x)≈1+x近似指数项,并在所得乘积中舍弃高阶项,可以进一步简化近似。我们得到
式(2-18)是算术平均数、几何平均数和收益方差之间的线性关系。这使得许多研究,包括投资组合再平衡研究,在分析上变得可行。对于许多类型的投资收益来说,这也是相当准确的。例如,明德林(Mindlin,2011)检验了四种复杂度不同的几何平均值近似公式的精度,发现尽管式(2-18)给出的结果通常不如更复杂的近似公式准确,但它对许多实用目的来说已经够用了。
·式(2-18)相对于式(2-17)的近似误差量级为O(μσ 2 )。当μ和σ都很小时,式(2-17)相对于式(2-16)的误差比O(μσ 2 )更小。在此条件下,用μ-σ 2 /2近似替代几何收益率的误差量级为O(μσ 2 )。
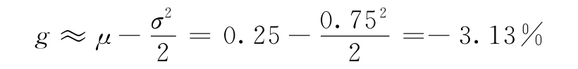
例2.3: 延续例2.1和例2.2,我们有μ=25%和σ=75%。因此,
实际几何收益率为0%。近似值相对于真实值低估了3.13%。
从例2.3很难知道近似值(式(2-18))是否准确。我们现在将其应用于不同资产类别的实际历史收益,包括现金、债券、股票和大宗商品。这些资产类别包括3个月期美国国债、10年期美国国债、标准普尔500指数和商品指数(GSCI)
,用1970~2014年的年度收益率作为样本。
在表2-1中列出了整个样本的收益率统计。在表中,我们能看到g′=μ-σ 2 /2,误差项e=g′-g,最后,e r =|e/g|为相对误差。我们首先注意到,所有资产类别的收益率都相当高,标准普尔500指数的收益率最高。从波动性来看,股票和大宗商品都有很大的风险。在风险调整的基础上,大宗商品的吸引力不如其他资产。我们稍后将正式定义夏普比率。
表2-1 1970~2014年的资产收益率统计
该表显示,对于所有资产类别,g′=μ-σ 2 /2都非常接近g。特别是对于现金和股票,两者之间的误差大致为零。对于债券和大宗商品而言,误差只有几个基点(bps;一个基点是0.01%)。
在子样本区间内,近似值的精度略有下降。我们把45年分为两个时期:1970~1992年和1993~2014年。表2-2和表2-3分别列出了收益统计数据。在这两个时期内,商品的几何收益率的近似效果变差了,第一个时期的误差为-35个基点,第二个时期的误差为-17个基点。第二个时期股票的近似误差也相对较高,为-19个基点。还应注意的是,第二期的所有收益率都低于第一期,其中商品的收益率特别低,仅为1.38%。
表2-2 1970~1992年的资产收益率统计
表2-3 1993~2014年的资产收益率统计
虽然g′=μ-σ 2 /2的近似值大多是合理的,但结果确实表明,对于收益波动率较高的资产,即本案例中的股票和大宗商品,误差较大。这是有道理的,因为,正如我们之前所讨论的,误差的量级可能是O(μσ 2 )。对于股票,μ和σ都较高。另外,当g具有与μ相似的量级时,相对误差的量级将为O(σ 2 )。
因此,需要对高波动性资产做进一步的研究。我们将通过研究带杠杆的传统资产组合而不是新的资产类别来研究高波动性的情形。关于杠杆组合更正式的讨论是后面章节的主题。这里,我们只使用商品杠杆投资来研究几何平均值的近似值。杠杆作用是通过借入(或做空)额外现金并将资金投资于GSCI来实现的。杠杆投资组合的收益为
参数L代表杠杆率,r代表风险资产的收益率,r f 代表无风险资产的收益率。
当L=1时,代表没有融资。如果L=2,即杠杆率为2:1,则融资金额等于投资资本金额。
我们将GSCI作为风险资产。随着杠杆率L的增大,r l 的收益波动性也会相应增大。问题是:g′=μ-σ 2 /2的精度会有什么变化?图2-1显示了杠杆率从1增加到2时杠杆商品投资的几何收益率,以及基于式(2-16)的近似g′和其他更精确的近似值。对此我们有如下几点说明:
·杠杆投资的几何收益率随着杠杆的增加而减少。不带杠杆的GSCI具有接近8%的年化收益率。当杠杆达到2时,年化收益率降至1%。这看起来有些反直觉,因为商品的收益率8%高于现金收益率(即融资成本)。如何解释这种负向杠杆效应正是本书的主题。简单的回答是杠杆投资每年的再平衡产生了负向的再平衡Alpha。然而,这有点超前于我们的讨论。这里,我们只是用杠杆投资的收益率来检测不同几何收益率近似公式的精度。
·当杠杆水平较低时,近似公式g′表现得相当好。然而,随着杠杆的增加,近似精度稳定地下降。当杠杆达到2时,g接近1%,而g′还在5%附近。同时,注意到g′总是高于而不是低于g。当收益波动率随着杠杆增加时,近似误差也不断增加。这可能是由近似公式g′中省略的其他具有负系数的高阶项所致,例如负的偏度。
如果我们在式(2-16)中保留更多的项,那么近似公式就可以得到改进。在图2-1中,标记了g4的曲线代表直到k=4的近似公式,它包含了方差之后的偏度项和峰度项。类似地,标记了g8和g16的曲线分别代表直到k=8和k=16的近似公式。随着包含项数的增加,近似精度不断改善。从图上可以看出,g16给出了最好的结果。然而,这些改进所用到的包含更多项的近似公式太过复杂以至于无法用于组合再平衡的分析。我们的主要目标是展示g′作为一个近似公式的局限性。此外,图2-1还说明了我们分析的有效性根植于式(2-16)中的展开。
图2-1 几何收益率和近似收益率随杠杆的变化