



对于单个资产而言,收益波动率是它在多个周期上的收益率的标准差。我们通过收益率的方差来定义它:
方差也可以用算术平均数(即一阶矩)和二阶矩来表示。我们有
·变量上的横线表示平均值。注意式(2-6)和式(2-7)是用N而不是N-1作为除数。因此,它们不是方差的无偏估计。我们的目标是分析方差和各种收益率之间的关系。
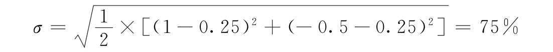
例2.2: 延续例2.1,我们可以计算出前后两期收益率依次为100%和-50%的投资的收益波动率:
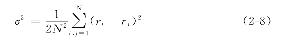
方差(式(2-6))是根据各期收益率和算术平均收益率之间的差异来定义的。它可以被重写为各期收益率之间的成对差异的函数。我们有
双重求和覆盖了所有可能的i和j的组合。当然,当i和j相同时,相应项就消失了。式(2-8)的证明留作练习。
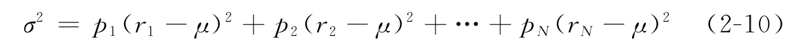
我们已经定义了等权重下的算术平均收益率和收益波动率,即对每个收益率样本都使用1/N的权重。这个定义可以推广到非等权重的情形。假设权重是p 1 ,p 2 ,…,p N ,相应的收益率样本是r 1 ,r 2 ,…,r N ,且p 1 +p 2 +…+p N =1,我们定义
类似地,
注意,均值μ由式(2-9)给出。
·式(2-9)和式(2-10)的定义适用于当我们想给不同时期的收益率分配不同权重的场景。一种典型的方法是使用指数衰减的加权方案,对近期的数据点赋予更高的权重,而对早期的数据点赋予更低的权重。
·根据代数表达式,式(2-9)中的权重p 1 ,p 2 ,…,p N 不必全是正数。当我们有负权重时,这两个定义仍然成立,但它们的解释必须改变。例如,式(2-10)中的某些项可能不再是非负的,这不是我们所习惯的经典方差。后面,我们将会在研究组合权重有正有负的多空投资组合时遇到这样一个广义的“方差”。
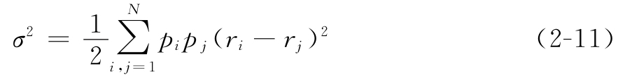
广义方差(式(2-10))可以用与式(2-8)类似的形式书写。我们有