



女士们,先生们:
今天,我准备讨论弯曲空间的问题及其与引力现象的关系。我毫不怀疑,在座的每一位听众都能轻松想象一条曲线或一个曲面,但说到弯曲的三维空间,你们的脸就拉长了,心里大概在想,这是什么奇怪的东西,简直有点儿超自然。为什么大家一提到弯曲空间就一脸头疼呢?弯曲空间的概念真的和曲面很不一样吗?如果往深里想一想,很多人也许会说,我之所以觉得弯曲空间想象起来特别困难,是因为我不能“从外面”观察它,就像观察球形曲面或者更奇怪的马鞍曲面一样。不过,这样说的人通常不知道“弯曲”这个词在数学上的严格定义,事实上,“弯曲”的数学意义和我们日常语境中的很不一样。数学家将那些几何特征不同于平面的二维面定义为曲面,我们可以根据这些面偏离欧几里得经典定律的程度来衡量它的曲率。比如说,如果你在一张平面的纸上画一个三角形,那么根据最基础的几何学,你知道它的内角和等于两个直角。然后,你可以将这张纸弯成一个圆筒,或者一个圆锥,甚至其他更复杂的形状,但已经画好的三角形的内角和始终等于两个直角。
从曲面“内部”的角度来看,这个面的几何特性并未随着形状的改变而发生变化;虽然按照我们日常的定义,它的确发生了弯曲,但从几何意义上说,它和平面并无分别。但是,一张没有弹性的纸永远不可能弯成球面或马鞍面;除此以外,如果你在球面上画一个三角形(弧三角形),欧氏几何的简单定理也不再适用于它。事实上,如果我们取北半球的两条经线和一段赤道,这三条线构成的三角形两个底角都是直角,顶角可以是任意值。
反过来说,你会在马鞍形曲面上惊讶地发现,三角形的内角和总是小于两个直角。
因此,要确定一个面的曲率,我们需要研究它的几何特性,在这种情况下,从外部观察反而可能造成误导。仅仅通过观察,你可能会将圆筒表面和圆环表面归为同一类,但实际上前者是平面,后者才是曲面。一旦习惯了“弯曲”的严格定义,你就很容易理解,物理学家讨论的“我们生活的宇宙是否弯曲”到底是什么意思。最终我们需要解决的问题只有一个:弄清物理空间的几何特性是否服从欧氏几何的通用定理。
不过,由于讨论的对象是实际的物理空间,所以首先,我们需要为几何术语赋予物理定义,尤其是直线的定义,因为直线是构建所有图形的基础。
我相信你们都知道,直线最常见的定义是两点间最短的距离;你可以在两点之间拉一条绳子,或者采用其他本质上相同但更精密的手段来获取直线,找出两个给定点之间需要的定长量尺数量最少的那条轨迹。
寻找直线的具体方法取决于物理环境,为了更清晰地理解这一点,我们不妨想象一个绕轴匀速旋转的巨大圆形平台,实验者1试图找出这个平台边缘两点之间的最短距离。他有一个盒子,里面装着很多小棍(量尺),每根棍子长5英寸,他试图找出两点之间需要的棍子数量最少的轨迹。如果平台保持静止,那么这些棍子可以沿着图中虚线排列。
科学家测量旋转平台上的距离
但由于平台一直旋转,那么根据我们在上一次讲座中讨论过的,量尺会产生相对的收缩,而且靠近平台边缘(因而拥有更大线速度)的量尺收缩的程度大于靠近平台中心的那些。因此,为了确保每根量尺覆盖的距离最大,实验者在放置量尺的时候显然应该尽量靠近平台中心。但是,由于直线两端固定位于平台边缘,那么如果中段的量尺位置过于靠近平台中央,这同样不利于获取最短距离。
因此,我们必须在两种极端情况之间取得妥协,最终获得一条微微向平台中央弯曲的曲线,它代表着平台边缘两点之间的最短距离。
如果这位实验者将测量工具从独立的量尺换成一根绳子,他也会获得完全相同的结果,因为绳子的每个部分同样会受到相对收缩效应的影响。在这里我想强调一点:旋转平台上绳子的变形与我们平常理解的离心力完全无关;事实上,无论你用多大的力量拉拽绳子,也不会影响它变形的程度,更不用说这根绳子还会受到反向的离心力影响。
现在,如果平台上的观察者打算比较一下我们用这种方法获得的“直线”和光线,借此验证实验结果,那么他会发现,光的确会沿着他画出的直线传播。当然,对于站在平台附近的观察者来说,光线看起来完全是直的;他们会解释说,平台上运动的观察者之所以会得出现在的结果,是因为平台的旋转与光的直线传播产生了叠加;他们还会告诉你,要是你用手指在旋转的留声机唱片上划一条直线,那么唱片上留下的划痕当然是弯曲的。
但是,对于旋转平台上的观察者来说,他画出的“直线”的确名副其实:首先,它的确是两点之间的最短距离;其次,在他的参考系内,光的确沿着这条线传播。现在,假设他在平台边缘选择三个点,然后用直线将它们连接起来,形成一个三角形。那么在这种情况下,三角形的内角和必然小于两个直角,这位观察者由此得出正确结论:他周围的空间是弯曲的。
现在我们再举一个例子,假设平台上还有两位观察者(2和3),他们希望测量平台的周长和直径,由此算出π的值。观察者2的量尺应该不受旋转运动的影响,因为平台运动的方向始终垂直于他测量的长度。从另一个方面来说,观察者3的量尺会一直收缩,最终他测得的旋转平台周长必然大于静止的平台。用观察者3测得的周长除以观察者2测得的半径,我们最终算出的π必然大于课本上的数值,这同样是空间弯曲的结果。
旋转影响的不光是观察者对长度的测量,圆盘边缘的钟表同样处于高速运动的状态下,根据我们在上次讲座中讨论的内容,它一定走得比圆盘中央的钟表更慢。
如果两位实验者(4和5)在平台中央位置对好了表,然后观察者5带着他的表去圆盘边缘待了一段时间,那么回到平台中央以后,他会发现自己的表比一直留在中间的4慢了一些。由此他可以得出结论:平台上不同区域的物理过程进行的速度各不相同。
现在,我们的实验者决定停下来想一想,刚才的几何测量为什么会得出这么奇怪的结果。假设他们所在的平台完全封闭,构成了一个无窗的旋转房间(所以他们看不到自己相对于周围景物的运动),那么在不考虑平台相对于“坚实地面”旋转运动的前提下,他们能利用平台自身的物理环境完美解释自己观察到的结果吗?
仔细审视他们在平台环境中测得的几何结果与“坚实地面”环境中的区别,实验者会立即意识到,平台上存在一种新的力,它倾向于将平台中心的所有物体拉向边缘。自然而然地,他们会将自己观察到的现象归咎于这种力,比如说,在这种力的作用方向上,离平台中心更远的表走得更慢。
但是,这种力真的就是“坚实地面”上观察不到的一种新力吗?所谓的引力难道不是时刻将所有物体拉向地心方向吗?当然,平台上的引力指向圆盘边缘,而地心引力指向地球中心,但这意味着二者的区别仅仅在于力的分布。不过,我们可以轻松举出另一个例子来向大家证明,参考系不均匀运动产生的“新”力,其效果完全等同于你在这座讲堂里感受到的引力。
假设一艘恒星际火箭飞船自由漂浮在太空中的某处,它远离所有恒星,因此飞船内部不存在任何引力。这艘飞船上的所有物品和乘客都没有重量,所以他们会自由地飘浮在空中,就像儒勒·凡尔纳那个著名故事中的米歇尔·阿尔当和他的旅伴一样。
现在,发动机启动了,我们的火箭飞船开始运动,速度越来越快。这时候飞船内部会发生什么变化呢?不难看出,随着飞船逐渐加速,船上的所有物体都会表现出向着地板运动的趋势,或者换句话说,地板会向着这些物体运动。举个例子,假如某位实验者手里握着一个苹果,那么要是他松开手,这个苹果将继续以恒定的速度——即实验者松手那一刻飞船的速度——运动(相对于周围的恒星)。但飞船本身仍在加速,因此船舱地板的运动速度会越来越快,最终它将追上苹果,二者发生碰撞;从这一刻开始,苹果将被稳定的加速度死死压在地板上。
不过,对船上的实验者来说,这个过程看起来就像是苹果以特定的加速度向着地板“坠落”,然后被自身重量压在地板上。他还会注意到,不同物体坠落的加速度完全相同(如果忽略掉空气摩擦力的话),这十分符合伽利略·伽利雷(Galileo Galilei)发现的自由落体定律。事实上,他根本无从分辨加速运动的船舱中发生的现象与普通的引力现象有何区别。在这艘飞船上,他可以使用带摆锤的钟,将书本放心大胆地摆在书架上(而不必担心它们会自己飞走),或者在墙上敲根钉子,挂上阿尔伯特·爱因斯坦的画像——正是这位科学家首次提出,参考系的加速度等价于引力场,并以此为基础发展出了所谓的广义相对论。
但是,正如我们在第一个旋转平台的例子中看到的,在这艘飞船上,我们将观察到伽利略和牛顿在研究引力时未曾见过的奇异现象。穿过船舱的光线会变弯,从船舱一侧射出的光线将照亮对面屏风上的另一块地方,具体取决于飞船的加速度。当然,在外部的观察者看来,这是光的均匀直线运动与被观察飞船的加速运动叠加的结果。这艘飞船上同样会出现奇怪的几何现象,比如说,三条光线组成的三角形内角和会大于两个直角,圆的周长与直径之比也会大于π。刚才我们介绍的是两个最简单的加速系统,但由此得出的结论同样适用于刚性或柔性参考系的任何给定运动。
现在,我们需要讨论一个最重要的问题。刚才我们已经看到,在一个具有加速度的参考系内,我们会发现一系列前人未曾在普通引力场中观察到的现象。那么,巨大质量形成的强引力场内是否同样存在这些新现象(例如光线弯曲或时钟变慢)?或者换句话说,也许加速度与引力造成的效果不仅十分相似,而且完全相同?
当然,从启发式思考的角度来看,将加速度和引力视为完全等价的两种物理现象,这是个十分诱人的想法,但要得出最终的结论,唯一的办法是通过直接的实验。人类的头脑天生追求简洁,希望主宰宇宙运行的物理规律具有内在的连续性,现实满足了我们的这一需求:通过实验,我们证明了普通的引力场中同样存在这些新现象。当然,加速度—引力场等价假说预言的效应十分微弱:正是出于这个原因,直到科学家特地朝着这个方向探索,我们才发现了它们的存在。
地板最终会追上苹果,二者发生碰撞
利用前面提到的加速系统的例子,我们可以轻松估算两种最重要的相对引力现象的明显程度,即钟表变慢的程度和光线弯曲的程度。
我们先来看看旋转平台的例子。根据基本的力学原理,我们知道与圆心距离为r的质点受到的离心力可由以下公式计算得出:
F=rω 2 (1)
其中ω等于平台旋转的恒定角速度。该质点从平台中央运动到平台边缘的过程中,离心力所做的总功为:
W=0.5R 2 ω 2 (2)
其中R等于平台半径。
根据前面描述的等价原则,我们认为离心力F等价于平台内的引力,W等价于平台中央与边缘之间的引力势能差。
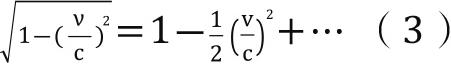
现在我们必须记住,正如我在上一次讲座中提到过的,以速度ν运动的钟表变慢的程度由以下公式决定:
如果ν远小于c,那么我们可以忽略后面的项。根据角速度的定义,我们知道ν=Rω,于是钟表的“变慢因数”可转化为下列方程:
在这个公式中,钟表速度之所以会发生变化,是因为平台上不同位置的引力势能各不相同。
如果我们将一口钟放在地下室里,另一面放在埃菲尔铁塔顶部(高1000英尺),那么二者的引力势能相差甚微,地下室里的钟变慢的因数只有0.99999999999997。
从另一方面来说,地球表面和太阳表面的引力势能差就大得多了,所以钟表变慢的因数也会放大到0.9999995,我们可以通过精密的测量发现这样的差别。当然,谁也没法将一面普通的钟放到太阳表面再让它正常走时!物理学家有更好的办法。我们可以利用分光镜观察太阳表面不同原子的振动周期,然后在实验室里将同样的元素放到本生灯的火焰上灼烧,比较同种原子的振动周期有何区别。太阳表面原子的振动周期应该比地球上的慢一些,具体的因数取决于方程(4),所以它们释放的光线也应该比地球上的偏红一些。事实上,我们的确在太阳和某些(我们能够准确测量其参数的)恒星的光谱中观察到了这样的“红移”,而且偏移量完全符合理论方程的计算值。
因此,光谱红移的存在证明了更强的引力势能的确让太阳表面的过程变慢了。
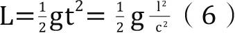
要测量引力场造成的光线弯曲,更方便的办法是采用我们先前提到的火箭飞船的例子。假设船舱宽度为l,光线行经这段距离的时间t由以下公式计算得出:
在此期间,飞船的加速度为g,根据基本的力学定律,飞船行经的距离L为:
因此,光线偏移角度的大小应为:
这个角度越大,光线在引力场中行经的距离l也就越大。当然,我们可以将飞船的加速度g理解为引力加速度。如果我将一束光打到讲堂对面,它行经的距离l可以粗略取值为1000厘米,地球表面的引力加速度为981厘米/秒 2 ,c=3×10 10 厘米/秒,那么:
所以你可以看到,现有条件下我们根本无法观察到光线这种程度的弯曲。不过,太阳表面附近的g值高达27000厘米/秒 2 ,而且光在太阳引力场范围内行经的距离也很长。通过计算我们发现,从太阳附近经过的光线偏折角度约为1.75",这正好等于天文学家在日全食期间观察到的日面边缘附近的恒星视像位移值。实际观察的结果再次证明,加速度与引力造成的结果完全相同。
现在,我们可以回过头来讨论空间弯曲的问题了。你应该记得,我们利用最合理的直线定义得出了一个结论:不均匀运动参考系内的几何定律不同于传统的欧氏几何,所以这样的空间应该被视为弯曲的。由于任意引力场必然等同于某种加速运动的参考系,这意味着引力场内的空间也必然是弯曲的。或者我们再往前一步,从本质上说,引力场就是弯曲空间的物理表现。因此,质量的分布决定了不同位置的空间弯曲的程度,大质量物体附近的空间曲率应该达到极大值。我无法进一步向你们介绍描述弯曲空间性质以及空间曲率与质量分布之间关系的复杂数学体系,在这里我只想告诉大家,决定空间曲率的参数往往不止一个,而是有十个之多,这些参数通常被称为引力势能分量g μν ,它代表的是经典物理学中的通用引力势能,我们曾经称之为W。空间中每个点的曲率也相应地由十个不同的曲率半径决定,我们称之为R μν 。爱因斯坦的基本方程描述了这些曲率半径与质量分布的关系:
其中T μν 取决于大质量物体产生的引力场的密度、速度和其他特性。
本次讲座已近尾声,在此我想向大家指出方程(9)带来的一个最有趣的结果。如果一片空间中充斥着均匀分布的质量,就像我们的宇宙中充满了恒星和星系,那么我们可以得出结论:除了某些恒星附近偶尔出现的大幅度弯曲以外,这片空间在大尺度上应该具有均匀弯曲的规律倾向。从数学意义上说,这个问题有几个不同的解,根据其中的某些解,宇宙最终会自我封闭,因此体积必然有限;但另一些解意味着类似我在本次讲座开头时提到过的马鞍面的无限空间。方程(9)带来的另一个重要后果是,这样的弯曲空间应该处于稳定膨胀或收缩的状态中,从物理学的角度来说,这意味着充斥空间的粒子应该逐渐远离或靠近彼此。另外,我们可以证明,对于体积有限的封闭空间来说,膨胀和收缩必然发生周期性的变换——这种模型又叫作“脉动的世界”。从另一方面来说,无限的“马鞍状”空间将永远膨胀或收缩。
我们生活于其中的宇宙对应的到底是哪个数学解?要回答这个问题,我们需要的不仅仅是物理学,还有天文学,但我现在不打算深入讨论。我只想告诉大家,迄今为止,天文学证据确切表明,我们的宇宙正在膨胀,但这样的膨胀是会永远持续下去还是可能转为收缩,宇宙到底有限还是无限,这些问题仍悬而未决。