



THz功能器件主要由人工电磁微结构构成,它们的结构决定了器件的基本性能,需要通过物理推导和数值模拟来对器件进行结构设计、性能预测和优化。因此,THz微结构功能器件的理论分析与设计将是本书重点介绍的内容,本节主要介绍THz光子晶体、THz表面等离子体、THz亚波长介质光栅及THz超材料的理论基础和数值模拟方法。
研究THz波导和亚波长光子器件的物理特性需要利用麦克斯韦(Maxwell)方程。为了更清楚地展示这一部分的讨论,首先采用波动方程来描述电磁波的传播过程,对于空间坐标 r 和时间坐标 t 描述的电场矢量 E ( r , t ),波动方程可以表示为
对于介电函数 ε=ε ( r )来说,其在一个光学波长量级距离内的变化是可以忽略的,此时式(2.13)可以简化为电磁波理论的中心方程:
实际上,这个方程需要在 ε 为常数的区域内单独计算,而且得到的解必须和适当的边界条件相匹配。为了使式(2.14)更直接地描述受限传播波束,可以执行以下两个步骤。
第一,假设电磁场的谐波与时间的关系为 E ( r , t ) = E ( r )e -i ωt ,代入式(2.14)可以得到
式中, k 0 =ω / c ,为真空中传播波束的波矢。式(2.15)即为著名的亥姆霍兹(Helmholtz)方程。
第二,为简单起见,假设一个一维问题为 E ( x , y , z ) = E ( z )e i βx ,其中复参数 β=k 0 x 为波的传播常数,对应于波矢在传播方向上的分量, k 0 = 2π/ λ 0 为真空中的波数, λ 0 为入射波在真空中的波长。将此式代入式(2.15)可以得到所需要的波动方程形式:
自然也存在一个类似的有关磁场 H 的方程。式(2.16)是对波导中电磁导模进行一般性分析的起点。
可以很容易地看出,该系统针对传播波束的不同偏振态存在两组自洽解。第一组是横磁(TM或 p )模,其中只有 E x 、 E z 和 H y 不为零,第二组是横电(TE或 s )模,其中只有 H x 、 H z 和 E y 不为零,本书后面的所有坐标系统和入射光偏振态都将参照以上定义。
TM模的波动方程为
TE模的波动方程为
列出以上公式后,我们可以着手介绍具有不同几何结构和边界条件的THz光子晶体、THz表面等离子体、THz亚波长介质光栅及THz超材料的性质。
光子晶体是波长量级的介质或金属材料在空间周期性排布形成的人工微结构,这使得此波长附近的电磁波在光子晶体中的波传播行为类似于固体物理中电子在晶体中的行为,并具有一系列相似的物理概念。光子晶体可由布洛赫(Bloch)函数 H k ( r )描述:
式中, u k ( r )满足Bloch周期性边界条件 u k ( r ) = u k ( r + R ),其中 R 为晶格矢量, k 为Bloch波矢,即 R 的倒格矢。 H k ( r )由波动方程决定:
式中,介电函数 ε r ( r ) =ε r ( r + R )。结合Bloch周期性边界条件求解该波动方程,可以获得本征值 ω ( k )和本征函数 H k ( r )。如图2.1所示,二维光子晶体带隙结构图就是本征值 ω ( k )与波矢 k 的色散关系曲线。
光子晶体具有有别于许多天然材料的特性,也为其带来了诸多应用。
(1)光子带隙特性 。与晶体中的电子具有能带性质一样,光子晶体也具有传导模式和光子禁带,频率处在光子禁带频率范围内的光波将不能在光子晶体中传输,而是被完全反射和吸收。这一特性是光子晶体的根本属性,使得光子晶体可实现光开关、滤波等功能。
图 2.1 典型光子晶体结构及二维光子晶体带隙图 [1]
(2)光子局域特性 。与晶体存在缺陷一样,光子晶体也可以具有图2.1所示的线缺陷和点缺陷:线缺陷形成光子晶体波导,使光局域在线缺陷中传播;点缺陷形成光子晶体微腔,使光高度局域在谐振腔中。这些特性使得光子晶体可用于波导、分束器和激光器谐振腔的设计。
(3)色散特性 。光子晶体及其波导中传输的光波模式具有由器件结构和光子带隙决定的时间和空间色散,其使得光子晶体的群速度变得很小,可以用作慢光器件和调制器件,甚至可以使群折射率为负,对空间光束波前进行调控,典型的应用是作为亚波长平板透镜。
(4)导模谐振特性 。对于有限高度二维光子晶体,光子晶体平面外的电磁波耦合到光子晶体内后在光子带隙作用下发生干涉和共振,这被称为导模谐振效应,可以用于高灵敏传感。
近些年,随着THz科学与技术的兴起,THz光子晶体的研究得到快速发展,对其传输性质和相关功能器件的研究报道较多,涉及分束器、滤波器、开关、调制、传感、超透镜、超棱镜等,但大多都是理论模拟,对材料选择、器件加工和实验技术的研究比较缺乏。由于式(2.19)和式(2.20)适用于所有波段的电磁波,THz波段的光子晶体的基本结构和性质与光学波段没有本质区别。抛开所使用材料在THz波段的性质,仅仅把器件的几何尺度扩展到THz波段来设计器件,将大大限制光子晶体在THz波段的研究和应用。只有将THz材料、器件加工和实验技术等因素综合起来考虑,才能反映THz光子晶体的特点。
THz光子晶体的晶格周期与THz波长相当,在几十到几百微米量级。二维光子晶体需要一定的柱高度或孔高度,实际是准三维结构,加工深度需要在100μm以上。普通半导体刻蚀工艺无法达到此深度,而对其加工的精度要求一般在微米量级,与微纳米光刻相比是很低的精度要求,因此普通半导体刻蚀工艺并不适合THz光子晶体的加工。而现代微机电系统(Micro-Electro-Mechanical System,MEMS)技术中的深度反应离子刻蚀、激光烧蚀、金刚石刀具微机械加工等工艺能够满足这种亚毫米尺度、微米精度的加工要求。
Grischkowsky等对二维光子晶体的THz波传输性质的研究做出了重要贡献 [2 - 4] 。他们实验研究了二维聚合物介质光子晶体柱、金属光子晶体柱、线缺陷和多种点缺陷光子晶体柱波导中THz波的传输性质。在垂直于二维光子晶体周期平面方向上对光没有限制,因此要求柱高度或孔高度远大于波长,在THz波段就要求柱高度达到几个毫米,现有加工手段十分困难。如图2.2所示,他们首次将THz光子晶体置于金属PPWG中传输,PPWG支持TEM模式,不仅不受板间隙宽度的限制,同时也是非色散的。他们在理论和实验上证明无间隙地将有限高光子晶体柱夹于PPWG间可等效于无限高二维光子晶体,解决了THz光子晶体的高度问题,使得THz光子晶体的高度可以减小到几十微米。PPWG的使用是THz光子晶体有别于可见与近红外光子晶体的重要特点,也成为解决其他THz平板波导器件高效耦合和传输问题的重要途径。
Grischkowsky等在介质柱表面镀大于100nm厚的金属膜,就形成了THz金属光子晶体。由于高欧姆损耗,金属光子晶体在光波波段无法实际应用,但理论和实验证明金属光子晶体在THz波段的传输性能是非常优良的,并表现出完全不同于介质光子晶体的带隙特性,这也是THz光子晶体的一个重要特点。
图 2.2 THz光子晶体、PPWG耦合波导系统及其时域、频域光谱 [2]
Yee等在THz光子晶体平板耦合和传输方面也开展了重要的实验研究工作 [5] 。他们采用集成高阻硅透镜的方式将THz波耦合到光子晶体线缺陷波导中,并测量了光子晶体微腔的谐振谱线和 Q 值,如图2.3所示。Mittleman等在THz光子晶体平板的导模谐振效应和超棱镜效应方面开展了大量的理论和实验研究工作 [6] 。此外,可以将导模谐振效应由光子晶体平板推广至光子晶体柱阵列,并基于这种效应开展THz传感研究 [7] 。
(a)THz光子晶体线缺陷;(b,c)光子晶体微腔及其谐振谱线 [5]
图 2.3
表面等离子体(SurfacePlasma,SP)是由导体和介质分界面上的自由电子集体振荡产生的一种准静态电磁场模式,它强烈地局域在导体-介质表面并沿表面传播。如图2.4(a)所示,金属和介质的介电常数分别为 ε m 和 ε d ,电磁波沿无限宽金属-介质表面的 x 轴方向传播。电磁波有TM和TE两种偏振模式,将那些非零分量代入求解时谐电磁场的Helmholtz方程,并引入金属-介质界面上的连续性边界条件,可以得到TM波存在有意义的解:
因此,式(2.21)就是无限宽金属-介质上SP波的色散关系,而对TE波不存在物理上有意义的解,TE波不能激发SP波,SP波均为TM偏振波。
图 2.4 无限宽金属-介质界面模型及其SP波的色散关系曲线 [8]
图2.4(b)显示了在不考虑Drude模型中金属碰撞频率的情况下式(2.21)所描述的色散关系。当电磁波频率接近表面等离子频率(
ω
sp
=ω
p
/
)时,传播常数
β
趋于无穷大,电磁波的群速度接近于0,这表明SP波强烈地局域在界面上成为强电磁谐振,这是SP波的根本特性。图中实线对应着
β
的实部,表示导模,而虚线对应着
β
的虚部,表示束缚和损耗模式,对应的频段也就是SP光子禁带。实际中金属都存在碰撞频率,即
ε
m
的虚部不为0,因此
β
不可能无限大,SP波沿界面向前传播并存在衰减。传播长度
L=
(2Im[
β
])
-1
描述SP波的有效传播距离,特征波长
λ
sp
=
2π/Re[
β
]描述SP波在空间中的大小。
SP的重要应用是以金属材料和微纳米结构为基础的SP波导、透镜和传感器等。它可以形成亚波长结构的光子线路,并具有极高的灵敏度。此外,亚波长金属孔阵列的异常透射效应也与SP密切相关。
1998年,Ebbesen等在研究电磁波与亚波长银膜圆孔阵列相互作用时得到了异常的透射光谱 [9] ,如图2.5(b)所示。实验测试的圆孔阵列周期为900nm,圆孔直径为150nm,在稍大于周期尺寸的波长处,透射光谱中出现了明显的透过率峰。这些透过率峰的强度不仅大于圆孔相对于周期单元的归一化面积,甚至比Bethe等在1944年提出的经典小孔透射理论所求出的透过率高出若干个数量级。后者提出的经典小孔透射理论认为,光在透过无限薄金属板上的小孔时,其透过率可以由式(2.22)得到。
式中, T 为透射率; D 为小孔直径; λ 为电磁波波长。透过率与这两者比值的四次方成反比,如图2.5(a)所示。然而,图2.5(b)给出的透射光谱在一些特定的波长处出现了和理论预期不相符的结果,金属孔阵列似乎起到了增强电磁波透射的作用,这种现象被称为光学异常透射(Extraordinary Optical Transmission,EOT)。
(a)Bethe等提出的小孔直径与透过率的关系;(b)Ebbesen等获得的亚波长银膜圆孔阵列透射光谱 [9,10]
图 2.5
EOT现象的发现极大地推动了亚波长人工微结构器件的发展。这是因为受制于传统的小孔透射理论,科研工作者在设计包含金属材料的亚波长微结构时往往会遇到透过率过低的困扰,而EOT现象则为这种困扰提供了解决的方法。随后,人们在红外、THz、微波波段都发现了EOT现象,并将其广泛地应用到了滤波、传感等领域。
在开发EOT现象潜在应用的同时,人们也对这种现象背后蕴藏的物理机理产生了浓厚的兴趣。目前对EOT现象较主流的解释有两种,分别是宏观Bloch模式和微观表面波模式。宏观Bloch模式将金属孔阵列结构看成一个整体,研究这个结构的表面模式对透射波的影响;微观表面波模式研究的结构单位是仅沿一个方向周期排布的单个孔链结构,考虑的是这个孔链结构激发的平整金属表面支持的表面波模式对透射波的影响。对于THz波段的EOT现象,前一种解释认为赝表面等离子体波增强了金属板结构表面的电场强度,从而提高了整体的透射率,而后一种解释则认为复合衍射倏逝波的存在导致了EOT现象。关于这两种解释的争论至今仍无定论。此外,还有人提出了基于复合波模式的解释,认为EOT现象是SP波和准柱面波共同作用的结果。综上所述,EOT是一种非常有趣而奇特的现象,对其深层次物理机理的研究更是意义非凡。
由上面的讨论可知,SP的共振频率
ω
sp
与导体的等离子体频率
ω
p
在同一数量级,由式(2.4)可知,
正比于导体中的载流子浓度
n
。如图2.6所示,常见金属的载流子浓度在10
23
cm
-3
量级,使得
ω
sp
位于近红外与可见光波段,而THz波远低于这一频率,这就使得THz频率下
β
→
k
0
n
,即THzSP波无法局域在金属-介质表面传播,其与自由空间中的THz波性质无异,因此简单金属-介质平面无法支持THzSP波。但是比金属载流子浓度低很多的半导体材料能够满足
ω
sp
落在THz波段的要求。如图2.6所示,InSb的载流子浓度为1×10
17
cm
-3
,它的表面可以支持THzSP波。
更重要的是,可以通过设计具有周期性人工微结构的金属或半导体表面,使它的有效介电常数所对应的 ω sp 落在THz波段,形成赝表面等离子体。它与无人工微结构的导体-介质表面的SP色散关系是相同的,在本书中不加以区别,统称为“表面等离子体结构”。如图2.7所示,它的THz传输及谐振性质与几何结构有关,而与金属材料性质无关,因此微结构表面等离子体波导成为重要的THz人工微结构器件。
图 2.6 THz波段SP的色散关系曲线 [8]
图 2.7 周期结构SP波导结构模型和等效参数、色散关系,以及模场分布 [8]
THz波段同样存在亚波长金属孔阵列的异常透射效应,当满足相位匹配条件时,一定频率的入射THz波能与SP波耦合形成谐振和增强传输,这一相位匹配条件为
式中, k sp 是SP波波矢; k ∥ 为入射THz波波矢在平行于周期阵列表面的分量; q 为周期阵列提供的附加晶格矢量。若晶格周期为 d ,| q |=2π/ d 。图2.8所示为THz亚波长金属孔阵列结构及其振幅透射光谱线,它在1.46THz处发生强烈的传输增强效应,其正入射振幅透过率远大于1。
广义上的光栅包含二维的周期性柱阵列或孔阵列结构,是一类具有上百年研究历史的光学器件,其在衍射分光、色散补偿、全息变换等众多领域均有非常重要且历久弥新的应用。图2.9(a)为传统的衍射光栅,其栅格周期 d 大于入射光的波长 λ 。宽带入射光在经过衍射光栅之后会发生衍射,展现出显著的多级色散效应,其衍射场分布可以通过经典的基尔霍夫(Kirchhoff)衍射理论进行分析。亚波长光栅的栅格周期 d 小于或与入射光的波长 λ 相当。光在透过亚波长光栅传输时可能会出现多种光学异常效应,产生强烈的谐振和偏振相关响应,从而无法用经典的Kirchhoff衍射理论进行计算。如图2.9(b)所示,这些光学异常效应还导致亚波长光栅一般不产生像传统的衍射光栅那样的多级色散效应,对其透射场分布的计算应使用严格耦合波法。
图 2.8 THz亚波长金属孔阵列结构及其振幅透射光谱线 [8]
(a)传统的衍射光栅;(b)亚波长光栅
图 2.9
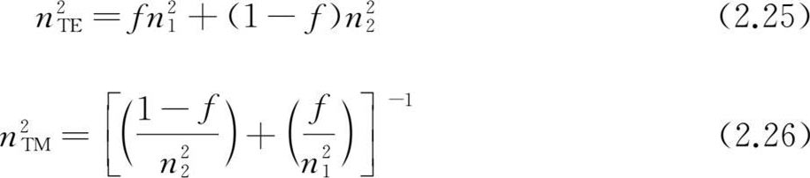
图2.10为亚波长介质光栅结构示意图。其主要由基底层和介质光栅层组成。基底层的折射率为
n
0
,介质光栅层由折射率高低不同的两种介质构成,其折射率分别为
n
1
和
n
2
。一般情况下,基底层材料与高折射率介质光栅层材料相同,即
n
0
=n
1
。介质光栅栅脊宽度为
l
1
,栅槽宽度为
l
2
,栅格周期为
,高折射率介质的填充系数为
f
,整体厚度为
D
,栅槽深度为
d
,对应入射光的波长为
λ
。
图 2.10 亚波长介质光栅结构示意图,TE偏振方向沿着y轴,TM偏振方向沿着x轴,k为入射THz波波矢
类似于单轴晶体,设定光栅的栅脊方向为此单轴器件的主光轴,记作 y 方向,当光波偏振方向与主光轴方向成0°和90°时分别为TE模式和TM模式。
对于介质光栅结构,当栅格周期
远远大于入射光的波长
λ
时,衍射效应起主要作用。当栅格周期
小于入射光的波长
λ
时,零级衍射独立于介质光栅层的厚度和栅格周期,高阶衍射消失,此时介质光栅层可以等效为各向异性的媒质。这就是等效介质理论,下面详细介绍这一理论。
当介质光栅为亚波长结构时,满足
≪(
λ
/
n
1
,
λ
/
n
2
),其中
λ
为入射THz波波长,
n
1
、
n
2
分别为两种填充介质的折射率。由于介层光栅层的折射率在一维
x
方向上周期性变化,
x
方向上的空间波矢
k
x
为Bloch波矢。根据等效介质理论,对于TE模式,
k
x
和
z
方向的波矢
k
z
的关系满足式(2-24)。
式中,
k
1
x
=
,其中
c
为真空中的光速,
ω
为入射THz波角频率;
k
2
x
=
。对于TM模式,在正入射条件下,THz波沿
z
方向传播,即
k
1x
=
0,
k
2x
=
0。在这种情形下,亚波长介质光栅可以等效成一个各向异性的膜结构,求解出
k
z
,得到
n
TE
和
n
TM
的解析式。
亚波长介质光栅符合等效介质理论,因此其在THz波段可以类似于波片,具有相位延迟和偏振控制的功能,也可以用于定向发射。通常来说,非对称性的周期性表面单元结构可以为器件引入偏振相关的特性,使得器件具有类似于天然晶体一样的双折射效应。当两束偏振态相互正交的入射光通过器件后,会产生相位延迟。基于这种原理,我们可以利用亚波长介质光栅制备THz波段的相位延迟器或偏振转换器。
由于存在多种光学异常效应,亚波长介质光栅的透射光谱会出现一些奇特的现象,如瑞利异常、共振异常和非共振异常等。其中瑞利异常和非共振异常在传统衍射光栅中也经常出现,这里将更多地关注在亚波长介质光栅中经常出现的共振异常。在传输谱线中,共振异常一般表现为平滑而尖锐的谐振峰,如图2.11(b)所示,其通常是由光栅中的引导模式谐振或表面模式谐振引起的。引导模式谐振即导模谐振,如图2.11(a)所示。入射光在进入光栅内部后将在界面处发生多次反射,形成强烈的谐振,并转化为沿光栅内部传输的引导模式。由于光栅表面周期性结构的存在,这些引导模式并非一般介质光波导中传输的束缚模式,而是一种泄漏模式,在满足式(2.27)的相位匹配条件下可以与自由空间光发生耦合,并从光栅中泄漏出去。
式中, β GM 为引导模式的波矢; k 为反射光的波矢; θ 为透射光的角度; m 为常数, m= 1,2,3,…; G 为栅格的倒格矢,| G |=2π/ d 。当泄漏模式与直接反射光发生相长干涉,而与直接透射光发生相消干涉时,在器件的传输谱线上将出现明显的谐振峰。表面模式谐振与导模谐振的基本原理类似,一般在光与金属光栅相互作用时产生。当满足相位匹配条件时,光被耦合为表面等离子体模式,又可以从中解耦合出来,从而对传输性质产生影响。
(a)亚波长介质光栅中的导模谐振;(b)传输谱线中的瑞利异常和导模谐振
图 2.11
由于存在导模谐振,亚波长介质光栅表现出与传统衍射光栅截然不同的性质。在近场领域,由于泄漏模式和谐振效应的存在,在光栅表面附近将出现高强度的局域场。利用这一性质,将待测物放在光栅表面附近可以对其进行高灵敏度传感。而在远场领域,由于导模谐振产生的谐振峰具有很高的 Q 值,亚波长介质光栅可以被用来制备高性能的窄带滤波器。然而,在有些应用领域,导模谐振的存在将会对器件的传输性能和色散性质造成不良影响,因此需要极力避免。
超材料(Metamaterial)的前缀“Meta-”在希腊语中具有“超过”的含义,因此其整体表示那些超越了传统材料的新型材料。2000年,Smith等首次提出了“超材料”的概念,并且设计了一种在微波波段同时具备负磁导率和负电导率的结构材料 [11] 。但也有人认为,“超材料”的概念是由Walser在1999年提出的 [12] 。在仅仅几年之后,超材料领域就呈现出了爆发式的发展,基础物理、光学、材料科学、力学和电气工程等多个学科的研究人员从事这一领域的研究工作。超材料作为一种人工微结构材料,其特性是由周期单元结构决定的。超材料尺寸单元通常比波长小,并且它的电磁响应可以用体材料的参数表示。
几个世纪之前,虽然人们对超材料背后的物理机制不甚明了,但是在艺术领域已经实现了对超材料结构的应用。一个著名的例子就是大英博物馆展示的莱克格斯杯,可以追溯到公元4世纪。莱克格斯杯(金纳米颗粒镶嵌在红宝石玻璃上)可能是至今人们所知的首个超材料。该超材料结构的散射特性使得这个杯子在白光的照射下,杯体呈现绿色,而当光束透射杯子时,杯体呈现红色。
在现代科学中,当超材料概念还没有被科学家提出时,人工电磁超材料就已经出现了,首个亚波长超材料是由Bose于1898年设计的“扭曲的黄麻纤维”材料。人造介质常由金属线、球或者平板的周期阵列构成,此类材料被微波工程师深入研究了近半个世纪,这类人造介质就是当前术语中定义的超材料。此外,超材料还包括开口环谐振器、金属丝阵列、双各向异性的手性材料等。
在现代超材料研究领域中,普遍认为有三篇里程碑式的文章。第一篇文章中Veselago提出了左手材料,该文章研究了左手材料的非寻常现象,即电场矢量 E 、磁场矢量 H 、波矢 k 形成左手系 [13] 。同时,该文章明确地阐述了实现左手材料所需的材料参数,并给出了负电导率和负磁导率的模拟结果。第二篇文章中Smith等首次在实验上制备了Veselago提出的左手材料,实现了从理论预测到实验验证的巨大飞越 [11] 。第三篇文章是Pendry等关于完美透镜的工作,该文章填补了新型超材料应用领域的空白 [14] 。有趣的是,上述三篇文章都集中在了负折射率材料领域。这也是最初超材料吸引科学家研究的原因,过去“超材料”一词几乎等价于左手材料。而现如今,超材料的研究已经远远超出了负折射率材料范畴。许多人工设计的超材料已经表现出了前所未有的电磁特性,这些特性都是天然材料和传统工艺所不能实现的,可以通过人工调控超材料的结构尺寸、排列方式和嵌入材料的方式实现特定的功能。
由于超材料快速地应用于光学通信领域,在现如今的超材料研究分支中,那些能够调制光频段电磁响应的光学超材料是最吸引人和最具挑战的领域。光是传输信息的最终载体,它能够把信息封装在具有零重量和以光速传播的信号中。超材料的蓬勃发展是微纳加工技术和计算电磁设计方面相互结合、相互发展的结果。在高速发展的超材料领域,一些前沿的研究方向正在形成,例如光磁、光学负折射率材料、人工手性、超材料的非线性特性、超材料的超分辨和电磁隐身技术。
近年来,超材料技术研究得到了快速发展。这种非传统的电磁介质具有巨大的研究潜力。由于超材料具有操纵光子的能力,其在光学传感、微型天线、新型波导、亚波长成像、纳米尺度光刻和光子电路方面具有广阔的应用前景。然而,现在的超材料并不完美,它们常常具有高损耗、色散或是各向异性的特点。基于上述问题,研究工作者正逐步优化设计、探索新的物理机制以制备出更加振奋人心的新型功能器件。
大部分电磁现象都可以利用麦克斯韦方程组加以描述和解释,并能够清晰地阐明场、源和材料的内在联系。材料的电磁特性一般由两个材料参数决定:介电常数
ε
和磁导率
μ
,它们分别描述材料与电磁波的电场分量和磁场分量的相互作用能力。这两个参数对应着另外两个参数:折射率
n=
和阻抗
Z=
,它们本质上是宏观有效参数,常被用来表示材料的整体平均响应。在宏观尺度上,晶体是由原子以固定的晶格常数周期性排列组成的。在原子尺度上,在每一个原子或分子中,入射光的电场分量都能够激发出微小的电偶极子,其在特定的时间延迟后能够辐射出能量。由于激发的偶极子能够在晶体中产生一个周期性的局域场--洛伦兹局域场,所以晶体内的场分布是不均匀的。在宏观尺度上,不均匀结构的细节特征和响应是平均的,其相互间的关系可以通过麦克斯韦方程组的宏观场向量表示,如电场矢量
E
、磁场矢量
H
、电位移矢量
D
和磁感应强度
B
,这就是材料介电常数和磁导率的起源。
类似地,超材料的不均匀性尺寸远小于所关注的波长。对于周期性超材料,这种不均匀性尺寸对应着人工结构的晶格常数。虽然在微观尺度上,电磁场与超原子之间的相互作用非常复杂,但是在宏观尺度上,对于光波来讲,超材料可以被认为是一种均匀介质。此外,超材料对外场的电磁响应与传统材料类似,被视为均匀分布,可以利用有效参数(介电常数、磁导率、折射率和阻抗)来表示。这也再次解释了超材料被归类为材料而非器件的原因。从麦克斯韦方程组出发,超材料就是一种具有介电常数 ε 和磁导率 μ 的亚波长单元集合,通过专门设计精细的超原子结构,可以实现前所未有的介质电磁响应特性。
由于超材料对外场的响应主要取决于参数 ε 和 μ ,可以利用上述两个电磁参数的空间分布来实现材料分类。图2.12中介电常数实部 ε r 对应横坐标,磁导率实部 μ r 对应纵坐标。已知传统透明材料的 ε r 和 μ r 都为正数,所以其归属第一象限。当介电常数实部 ε r 为负数时,在材料内部引起的电(磁)场方向与入射场方向相反。贵金属材料在可见光波段就是典型的负介电常数材料,并且铁磁材料在谐振频率处具有负磁导率。当材料属于第二或第四象限时,两个参数之一为负数,导致其折射率为纯虚数,这种情况下,材料不支持光束传输。在光学领域,所有的传统材料都被限制在虚线 μ r = 1附近的一个极窄区域内,如图2.12所示。
超材料的研究与电磁参数空间的开发创新紧密相关。超材料研究团队主要集中创造那些在电磁参数空间中满足麦克斯韦方程组且具备传统材料所没有的特性的材料。研究人员通过扩展电磁参数空间更好地实现了对电磁波的控制。负折射率材料的出现扩展了电磁参数空间的第三象限,这也是以前难以想象的。随着计算技术和制造技术的发展,电磁参数空间中其他区域也将被进一步研究,以便探索更多前所未有的电磁特性。
图 2.12 ε r 和μ r 的数空间分布图
THz技术在物理学、材料学、生物学、天文学等领域显示出巨大的应用潜力,但是天然材料无法对THz波产生强烈的电或磁响应。通过设计超材料的谐振单元,可以在THz波段得到所需要的电磁特性。例如,THz超材料可以用于发展突破衍射极限的THz成像系统,实现完美的THz吸收体等。除此之外,THz超材料也可以用于实现主动调控器件,如开关、调制器和存储器件。
在过去的几十年中,人们提出了各种各样的THz超材料谐振单元结构,例如金属线结构、螺旋线结构、开口谐振环结构、金属棒结构、十字结构、渔网结构等。其中一些结构能够在THz波段实现单一负介电常数或磁导率,另一些则能够在THz波段实现负折射率。