



企业生产计划与控制系统是整个生产系统运行的“神经中枢”和指挥系统,决定着生产系统的运行机制和活动内容,一般分为5个层次,即经营规划、销售与运作计划(综合计划)、主生产计划(Master Production Schedule,MPS)、详细物料计划、生产作业计划与控制,如表1-1所示。
表1-1 生产计划与控制系统各层次的主要内容
从计划的时间跨度上讲,又可分为长期计划、中期计划和短期计划3个层次,计划的体系和层次结构如图1-18所示。
图1-18 计划的体系和层次结构
长期计划包括市场需求预测、生产战略规划、资源需求计划。综合生产计划(Aggregate Production Planning,APP)界于长期计划和中期计划之间,是一个中长期的生产计划。
市场需求预测可以分为长期市场预测和短期市场预测。长期市场预测主要是宏观的预测,预测的时间跨度较长,通常为3~5年,预测主要应考虑国家宏观经济的发展和政策,产业发展的大环境,产品的科技竞争能力等因素。这种长期市场预测一般由企业的最高层管理者做出,它不针对具体的产品,而针对产品群。短期市场预测又可分为两个层次:一方面在编制综合生产计划时要对未来一年内的销量做一个预测;另一方面在综合生产计划期间,又要不断地对预测进行调整,即要做更短的预测,通常是每季度或每月一次。
在长期预测的基础上,生产战略规划主要是企业长远发展规划,它关心企业的兴衰成败,常言道:“人无远虑,必有近忧。”长期生产战略规划一般是由企业的最高层管理者制定的,属于战略层次的计划,用来指导全局,计划期比较长,通常为几年以上。长期生产战略规划考虑的是产品开发的方向,生产能力的决策和技术发展水平。这种长期生产战略规划的不确定性较高。
生产战略规划做出后,要对资源进行规划,对企业的机器、设备与人力资源是否能满足生产战略规划规定的要求进行分析,这是一较高层次的能力计划。
综合生产计划界于长期计划和中期计划之间,有的书中将它纳入到中期计划中也未尝不可。综合生产计划是指导全厂各部门一年内经营生产活动的纲领性文件。准确地编制综合生产计划可以在产品需求约束条件下实现劳动力水平、库存水平等指标的优化组合,以实现总成本最小的目标。
中期计划主要包括主生产计划、粗能力计划(Rough-Cut Capacity Planning,RCCP)。物料需求计划(Material Requirement Planning,MRP)界于中期计划和短期计划之间,如将物料需求计划也纳入到中期计划中来,则与物料需求计划相对应的能力需求计划(Capacity Requirement Planning,CRP)也应归到中期计划中。能力需求计划通常也可称为细能力计划。
主生产计划是计划系统中的关键环节。一个有效的主生产计划是生产对客户需求的一种承诺,它充分利用企业资源协调生产与市场,实现生产计划大纲中所表达的企业经营计划目标。它又是物料需求计划的一个主要的输入。主生产计划针对的不是产品群,而是具体的产品,是基于独立需求的最终产品。
粗能力计划和主生产计划相对应,主生产计划能否按期实现的关键是生产计划必须与现有的实际生产能力相吻合。所以,在主生产计划编制后,必须对其是否可行进行确认,这就要进行能力和负荷的平衡分析。粗能力计划主要对生产线上的关键工作中心进行能力和负荷平衡分析。如果能力和负荷不匹配,那么一方面调整能力,另一方面可以修正负荷。
物料需求计划是在主生产计划对最终产品做出计划的基础上,根据产品零部件展开表(物料清单,简称BOM)和零件的可用库存量(库存记录文件),将主生产作业计划展开成最终的、详细的物料需求和零件需求及零件外协加工的作业计划,决定所有物料何时投入、投入多少,以保证按期交货。对于制造装配型企业来说,物料需求计划对确保完成主生产计划非常关键。在物料需求计划的基础上,考虑成本因素就扩展形成制造需求计划,简称MRPⅡ。物料需求计划编制后还要进行细的能力计划。
物料需求计划规定了每种物料的订单下达日期和下达数量,那么生产能力能否满足需求,就要进行分析,能力需求计划主要对生产线上所有的工作中心都进行这种能力和负荷的平衡分析。若生产能力不满足需求,则要采取措施。
短期计划主要根据物料需求计划产生的结果作用于生产车间现场,包括最终装配计划(Final Assembly Scheduling,FAS)、生产作业控制(Production Activity Control,PAC)、采购计划等。
最终装配计划描述在特定时期里将主生产计划(MPS)的物料组装成最终的产品。有时,主生产计划的物料与最终装配计划(FAS)的物料是一致的。但在许多情况下,最终产品的数量比下一层物料清单(BOM)的物料还多,此时MPS与FAS的文件是不同的。
执行物料需求计划将形成生产作业控制和采购计划,生产作业控制的计划期一般为一周、一日或一个轮班。其中,生产作业控制具体规定每种零件的投入时间和完工时间,以及各种零件在每台设备上的加工顺序,在保证零件按期完工的前提下,使设备的负荷均衡并使在制品库存尽可能少。生产作业控制将以生产订单的形式下达到车间现场,生产订单下达到车间后,对生产订单的控制就不再是生产计划部门或MRP系统管辖的范围了,而是由车间控制系统来完成的。订单的排序要根据排序的优先规则来确定。
本书对采购计划不进行论述。采购计划有其固有的特性,现在特别强调要实现供应链的集成,这就要重视它们和供应商之间的和谐关系,要形成战略伙伴关系,供应商是企业的延伸,对供应商的能力也要有一个规划。
物料需求计划的计划体系是基于相关需求产品而言的,对于独立需求产品或物料,则可以用其对应的库存管理方法进行计划和控制,比较常用的是定量订货库存模型和定期订货库存模型。物料需求计划是一种推动式的生产系统,而准时化生产是由市场订单拉动企业生产的,物料需求计划和准时化生产体系恰好是相反的过程。物料需求计划是大量生产方式下发展起来的一种计划和控制体系,而准时化生产则是精益生产方式下发展起来的一种计划和控制体系。两者各有优缺点,如何将两者的优点综合在一起,发挥物料需求计划较强的计划功能和准时化生产较强的控制功能是目前许多学者正在研究的方向。
生产计划与控制理论是随着管理理论的发展而不断发展的。以下将划分几个阶段来分别介绍相关理论的演变过程及发展趋势。
科学管理理论出现之前,所有工作程序都由工人凭个人或师傅的经验去操作,工作效率由工人自己决定。被称为“科学管理之父”的泰勒深信这不能产生高效率,必须用科学的方法来改变。以泰勒为首的科学管理学派主张以科学的方法降低生产成本,提高生产效率;为工人的操作方法、工具及作业环境制定标准化的准则;实行级差计件工资制;划分计划职能和执行职能;实行工长制;在管理控制上实行例外原则等。
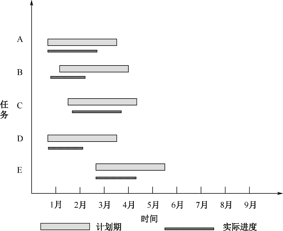
在生产计划与控制方面,泰勒主张要把计划职能与执行职能分开,并在企业设立专门的计划机构,以科学的工作方法替代凭经验工作的方法,即研究规律、制定标准,然后按标准执行;管理控制上要实行例外原则,最高管理者应该避免处理工作中的细小问题,集中精力处理企业方针政策、经营决策和人事任免等重大问题。与泰勒一起推行科学管理的甘特(Henry Laurence Gantt)发展了生产管理中的计划控制技术,创制出了“甘特图”,他提出工作控制中的关键因素是时间,时间应当是编制任何计划的基础。解决时间安排问题的办法是,绘制出一张标明计划和控制工作的线条图,这种图就是在管理学界享有盛誉的甘特图——生产计划进度图,它以图示的方式通过活动列表和时间进度形象地表示出任何特定项目的活动顺序与持续时间。甘特图形象简单,在企业管理工作中得到了广泛的运用,如图1-19所示。
图1-19 生产计划与进度甘特图
1913年,福特利用甘特图进行计划控制,创建了世界第一条福特汽车流水生产线,实现了生产的大工业化格局,大幅度提高了劳动生产效率,出现了高效率、低成本、高工资和高利润的局面。
第二次世界大战期间,由于欧洲战场有大量的人力、给养和物资运输,相应地出现了飞机和船只调度问题。为了解决如此复杂环境下的管理决策,从而形成了跨学科的以数学方法为基础的运筹学。这个阶段有的学者认为,管理就是编制和运用数学模型与程序,进行计划、组织、控制、决策等,求出最优的解答,以实现企业的目标。
运筹学的出现对生产计划与控制理论产生了重要的影响。运筹学在计划方面的应用很多,线性规划方法可用于生产计划编排、工作任务分配、合理下料、配料问题、物料管理、配送管理等方面;存储论研究企业储存环节,用于企业最佳订货期、订货量的确定;动态规划用于企业在各阶段的最佳生产决策,包括不同阶段生产量、采购量和存储量的确定;网络计划技术利用网络图表达计划任务的进度安排及各项活动间的相互关系,根据不同活动时间及先后顺序的定义,以及一定的算法计算网络时间参数,找出关键活动和关键线路,并利用时差不断改善网络计划,求得工期、资源与费用的优化方案;等等。
运筹学已经深入到生活中的很多领域并发挥着越来越重要的作用,由于其兼有逻辑的数学和数学的逻辑的性质而成为系统工程学和现代管理科学中的一种重要的基础理论和方法,从而应用到各种管理工程中,在现代化建设中发挥着至关重要的作用。
20世纪六七十年代,随着计算机技术的发展及其在管理问题中的应用,生产计划与控制也进入了信息化时代,主要以MRP、MRPⅡ和ERP为代表,它们的发展历程如图1-20所示。
图1-20 信息化条件下生产计划与控制的发展历程
1965年,美国的约瑟夫·奥利奇博士与奥列弗·怀特等管理专家一起在深入调查美国企业管理现状的基础上,针对制造业物料需求随机性大的特点,提出物料需求计划(Material Requirement Planning,MRP)。MRP的基本思想是,围绕物料转化组织制造资源,实现按需求准时生产。它根据总生产进度计划中规定的最终产品的装配件、部件、零件的生产进度计划,以及对外的采购计划、对内的生产计划,计算物料需求量和需求时间。物料需求计划源于物料清单(BOM)理论的发展,促进了纸质管理向计算机管理的转变。最初,它只是一种需求计,没有信息反馈,也谈不上控制。后来,引入生产能力之后,形成闭环MRP(Closed-loop MRP)系统,这时的MRP系统才成为真正的生产计划与控制系统。
20世纪80年代发展起来的制造资源计划(Manufacturing Resouce Planning,MRPⅡ),它在闭环MRP的基础上引入成本与财务系统,涵盖了一个制造企业的供产销及财务等核心业务功能,实现了企业物流与信息流的统一。
20世纪90年代初,美国的加特纳公司(Gartner Group)首先提出企业资源计划(Enterprise Resource Planning,ERP)的概念。ERP除了包括和加强了MRPⅡ的各种功能,还主张向内以精益生产方式改造企业生产管理系统,向外增加战略决策和供应链管理,并且支持多元化经营模式。
20世纪60年代,日本丰田开始实行准时(Just In Time,JIT)生产方式。准时生产方式的核心是追求一种无库存的生产系统,或者使库存达到最小的生产系统。为此而开发了包括“看板”在内的一系列具体方法,并逐渐形成一套独具待色的生产经营体系。1973年以后,这种方式对丰田公司度过第一次能源危机起到了突出的作用,后引起其他国家生产企业的重视,并逐渐在欧洲和美国的日资企业及当地企业中推行开来。1985年,美国麻省理工学院的技术、政策与工业发展中心发起了名为“国际汽车计划(IMVP)”的研究项目,筹资500万美元,组织了50多位专家学者历时5年时间,造访15个国家,调查了90多家汽车制造企业,将美国的大量生产方式与日本的丰田生产方式进行比较分析,充分肯定了丰田生产方式的先进管理思想和方法,并以Lean Production命名如此高效率的“精益生产”方式,以示其与传统生产方式的显著区别。1990年,詹姆斯P. 沃麦克(James P. Womack)、丹尼尔T. 琼斯(Daniel T. Jones)等在他们的研究著作《改造世界的机器——精益生产之道》( The Machine That Change the World: The Story of Lean Production )中,第一次以精益生产(Lean Production,LP)的概念精辟地表达了精益生产方式的内容,指出这是一种以丰田生产方式为核心的、适用于所有制造业的先进生产理念和管理模式。
对准时(JIT)生产方式,有这样一种误解,即认为既然是“只在需要的时候,按需要的量生产所需的产品”,那生产计划就无足轻重了。但实际上恰恰相反,以“看板”为其主要管理工具的准时生产方式,从生产管理理论的角度来看,是一种计划主导型的管理方式。在准时(JIT)生产方式中,同样根据企业的经营方针和市场预测编制年度计划、季度计划与月度计划,然后再以此为基础编制出日程计划,并根据日程计划编制投产顺序计划。但是,其最独特的特点是向最后一道工序以外的各个工序出示每月大致的生产品种和数量计划,作为其安排作业的一个参考基准,而真正作为生产指令的投产顺序计划只下达到最后一道工序。例如,在汽车生产中,生产指令只下达到总装配线,其余所有总装之前的制造阶段和工序的作业现场,没有任何生产计划表或生产指令,而是在需要的时候通过“看板”由后工序顺次向前工序传递生产指今。这一特点与历来生产管理中的生产计划指令下达方式有明显的不同。
20世纪70年代,艾利·高德拉特(Eliyahu M. Goldratt)博士提出了最优生产时间表(Optimized Production Timetable)的概念——80年代它被称为最优生产技术(Optimized Production Technology,OPT)。最优生产技术(OPT)实质上是一种基于资源的瓶颈约束计划。1983年,他借助一本管理小说《目标》( The Goal ),将OPT扩展成了约束理论(Theory Of Constraints,TOC),又陆续出版《绝不是靠运气》《关键链》和《仍然不足够》,形成一套完整的管理哲理,从制约整体的约束因素入手,解决约束,解放整体。
约束理论的计划与控制是通过DBR系统来实现的,即“鼓(Drum)”“缓冲器(Buffer)”和“绳子(Rope)”系统。约束理论根据瓶颈资源的可用能力来确定企业的最大物流量,作为约束全局的“鼓点”。鼓点相当于指挥生产的节拍,在所有瓶颈工序和总装工序前要保留物料储备缓冲,以保证充分利用瓶颈资源,实现最大的有效产出。必须按照瓶颈工序的物流量来控制瓶颈工序前各道工序的物料投放量。换句话说,瓶颈工序和其他需要控制的工序如同用一根传递信息的绳子牵住的队伍,按同一节拍,控制在制品流量,以保持在均衡的物料流动条件下进行生产。瓶颈工序前的非制约工序可以用倒排计划,瓶颈工序用顺排计划,后续工序按瓶颈工序的节拍组织生产。
约束理论擅长能力管理和现场控制,专注于资源安排,通过瓶颈识别、瓶颈调度,并使其余环节与瓶颈生产同步,保证物流平衡,寻求需求和能力的最佳结合,使系统产销率最大,这是约束理论的优势所在。TOC也是对MRPⅡ和JIT在观念和方法上的发展。
高级计划与排程(Advanced Planning and Scheduling,APS)最初的设计便是借助约束和排队论的简单理论来解决瓶颈问题和排序问题的。但发展至今,APS理论本身不断扩展,从生产中的资源约束延伸到需求约束、运输约束、资金约束等多方面,并与整个供应链的管理相结合。
高级计划与排程(APS)在做决策时,会充分考虑能力约束、原料约束、需求约束、客户规则及其他各种各样的实物和非实物约束,并将批量和提前期作为一种动态的、随实际情况变化而变化的数,利用各种基于规则、基于约束等的计划技术,自动根据工艺路线、订单、能力等复杂情况生成一个详细的、优化的生产计划,并加以检查和评估,它可以通过库存约束来保证物料的供应量,也可以通过对连续工序中重叠部分的时间处理来提升效率,甚至可以对供应链上的库存、资金、运输等资源进行同步优化。APS的算法经常是综合性的,它除了包含传统的优化算法(如线性规划和复合整数运算),还包括多种启发式算法。例如,解决约束规划的算法,可以归为系统搜索法、一致性计算法、约束传播算法、随机算法和推导算法、分支定界法5类十余种算法,许多算法非常复杂,而且需要较深的专业基础。这一点也限制了它在一般企业的应用。
在供应链环境下,对生产计划与控制提出了新的要求。一个有效的供应链生产计划系统必须集成企业的所有计划,必须保证企业能快速响应市场需求,必须保证各个节点企业计划之间的同步性。
从图1-21中可以看到,供应链环境下的生产计划是基于业务外包和资源外用的生产决策战略,它使得生产计划与控制系统更适应以顾客需求为导向的多变的市场环境的需求;通过产品能力和成本的核算做到事前的计算和分析,真正起到成本计划与控制的作用,同时也以计算的结果来进行自制外包决策和合作伙伴的选择,体现供应链理论的科学性;还可以看到在供应链环境下,对信息沟通与共享的重视,建立供应链信息集成平台,及时反馈生产进度数据是保证供应链各企业同步运营的基础。生产计划与控制系统的整体架构如图1-22所示。
图1-21 供应链环境下的生产计划与控制系统
2004年10月4日,加特纳公司发布了以亚太地区副总裁、分析家邦德(B.Bond)等6人署名的报告——《ERP成为过去,ERPⅡ永存》( ERP is Dead,Long Live ERPⅡ ),提出了ERPⅡ的概念及相应的管理模式,即为供应链协同商务——以核心企业为盟主,通过运用现代研发技术、制造技术、管理技术、信息技术和过程控制技术,实现对整个供应链上的信息流、物流、资金流、业务流和价值流的有效规划和控制,从而将客户、研发中心、供应商、制造商、销售商和服务商等合作伙伴连成一个完整的网链结构,形成一个极具竞争力的全球供应链协同商务战略联盟。
图1-22 生产计划与控制系统的整体架构
在企业生产计划体系中,综合计划是一种中期的企业整体性计划,是企业对未来较长一段时间内资源和需求之间的平衡所做的概括计划。它是根据企业所拥有的生产能力和营求预测,对企业的产出内容、产出量、劳动力水平、供应与库存水平、财务与成本等问题做的综合性分析与决策。综合计划的时间跨度为2~18个月,通常是一年,因此我国有的企业把综合计划称为年度生产经营计划。在国外的教材或ERP软件中,综合计划也称销售与运作计划(Sales and Operations Plan,S&OP)。图1-23所示为综合计划与其他计划之间的关系。
综合计划的目标是编制一个总的经营计划,联系着企业的战略目标,协调着经营中的各职能计划,包括营销计划、财务计划、资源计划等。因此,综合计划经常被称为“经营中的顶层管理活动”。它的下层直接关联的就是主生产计划。主生产计划是近期一段时间内具体的最终产品的日常生产计划。主生产计划与综合计划的总量之间应该保持一致。综合计划与需求管理的联系是另一个重要的关联。需求管理是面向市场需求的一系列工作,包括订单输入、订单承诺、实物分销的协调和预测等。综合计划的重要功能就是在市场需求和企业资源之间寻求平衡。
图1-23 综合计划与其他计划之间的关系
传统上,我国企业的综合计划每年只编制一次,中间若市场或企业的经营情况发生变化,则再做一些局部的调整。随着市场经济的形成和竞争的日益激烈,现代企业的综合计划已经变为动态滚动的计划形式,如按月滚动的年度(12个月)综合计划。这里先以年度综合计划来解释综合计划的基本概念和内容。
年度综合计划是由企业的年度经营目标和一系列职能计划经过综合平衡以后形成的整体计划。它承上启下,是把企业发展战略规划转化为具体的实施计划(主生产计划)的纽带。年度综合计划是所有企业进行计划管理不可或缺的一个计划层次。它的组成内容,虽因行业特点、生产类型、企业规模等的不同而略有不同,但是其主要的功能和形式大体相同。图1-24所示为一个较典型的企业年度综合计划的构成。
企业根据长远发展规划的要求和当年市场需求情况的预测,编制计划年度企业的经营目标。经营目标一般体现在企业的利润计划和产品与市场计划中。利润计划对企业计划期的销售额提出了要求;产品与市场计划表现为企业在计划年度的产品组合与市场开拓策略,并以销售计划的形式表示出来。企业要不断推出符合社会需要的新产品,是企业得以生存和发展的重要条件,所以企业的技术发展计划和研究与开发计划在企业的年度综合计划中应放在重要的位置。同时,一个现代企业保持员工队伍旺盛的士气和不断提高员工的素质,是企业能够克服各种困难、具有强大竞争力的最重要的基础,所以提高员工工资福利计划和员工教育培训计划应纳入企业的年度经营目标。另外,企业的各项经营活动都离不开资金的支持,所以财务计划也至关重要。
图1-24 较典型的企业年度综合计划的构成
市场经济是以销定产,由销售计划决定生产计划,由生产计划决定物料供应计划、劳动工资计划和辅助生产计划。同时,物料供应和劳动力资源又制约生产能力和计划期的生产量,生产又制约销售。生产决定成本,成本又制约利润。以上各项计划既相互依存,又相互制约。所以年度综合计划的编制过程是各项计划反复协调和平衡的过程。只有各项计划之间达到了平衡,综合计划才算编制完成。
综合生产计划是在工厂设施规划、资源规划和长期市场预测的基础上做出的,是指导全厂各部门一年内经营生产活动的纲领性文件。长期需求预测为编制综合生产计划提供了依据。综合生产计划是针对产品群的计划,是将企业策略与生产能力转换为劳动力水平、库存量、产量等变量的一种优化组合,它可以使总成本最小。所以,综合生产计划的编制实际上也是对能力和需求的一种平衡,计划的结果可以采取一种单独的策略,也可以采取多种策略的混合策略。
在编制综合生产计划时,由于在战略规划中已确定了工厂设备与生产能力,因此当需求变化时,就不能用改变生产能力的策略,而只能采取其他一些策略,如加班、减班、招聘新工人、解聘员工、外包等策略来调节生产能力,或者采取这些策略的混合策略。严密地制定这些策略或混合策略,所得到的、有效的生产计划就是综合生产计划,中、短期生产计划和短期生产计划都要根据综合生产计划来编制。
企业综合生产计划不只是现有设备和人员及库存的合理安排与使用,更是企业决策者根据外部环境、经济指标和发展目标,必须处理的许多问题中的一个重要方面。到目前为止,已有许多学者提出综合生产计划的几个模型。例如,用数学规划方法研究多品种综合生产计划问题;应用最优控制理论,求解多产品生产和劳动力水平的计划问题;研究了在随机需求条件下,如何根据逐个阶段总费用递推确定产品的逐个阶段最优生产量,以及预定价格和可行价格问题。在众多模型中,由于所提出的综合生产计划仅仅考虑了需求预测,并且根据费用最小求解问题,只考虑了产品的产量,而没有考虑销售决策中产品的价位,影响了综合生产计划的市场适应性和有效性,因此理想的模型应是把它和其他模块融为一体。
在整个生产计划与控制系统中,综合生产计划所处的层次较高。综合生产计划的主要目的是明确生产率、劳动力水平、当前库存和设备的最优组合,确保在需要时可以得到有计划的产品或服务。生产率是指每单位时间(如每小时或每天)生产的产品数量。劳动力水平是指生产所需的工人人数。当前库存等于上期期末库存。综合生产计划的周期也较长,计划周期为6~18个月,通常为一年,但每月或每季度都要根据实际情况做适时的更新。
对于需求稳定的产品或服务,不存在综合生产计划的问题,生产率、劳动力水平、当前库存只要按照稳定的需求来组织生产即可。对于存在季节性需求或周期性需求的产品或服务,则可以采取两种策略:一种是修改或管理需求;另一种就是管理供应,如提供足够的生产能力和柔性使得生产能力满足需求,或者以平准化的速率进行生产。
综合生产计划问题可以描述为:在已知计划期内,每一时段 t 的需求预测量为 F t ,以最小化生产计划期内的成本为目标,确定时段 t =1,2,…, T 的产量 P ,库存量 I t ,劳动力水平 W t 。
编制综合生产计划有两种方法:一种方法是从公司的销售预测中获得信息,通过需求预测得到未来一段时期内市场的需求量,各产品系列应该生产多少,计划人员利用此信息可以决定如何利用公司现有的资源以满足市场的预测;另一种方法是通过模拟不同主生产计划和计算相应的生产能力需求,了解每个工作中心是否都有足够的工人与设备,并以此编制综合生产计划,如果生产能力不足,就要确定是否需要加班、是否需要增加工人人数等,以便采取相应的措施以增加能力及增加多少,然后用试算法进行试算,并不断修正,最后得到一个比较满意的结果。
图1-25所示为综合生产计划在整个生产计划体系中所处的地位。产品决策和工厂能力决策的计划是长期战略规划,是由企业最高层领导所做出的决策;综合生产计划的时间周期通常为一年,由职能部门经理或中层管理人员编制;短期生产作业计划由车间一级管理人员编制并贯彻执行。
图1-25 综合生产计划在整个生产计划体系中所处的地位
由图1-25可知,综合生产计划的编制依赖于对市场需求的预测、客户的实际订单、现有的库存状态信息、各种成本参数、每月可用的工作日天数、可以获得的原材料,以及外部生产能力等。综合生产计划的输入可分为4个部分:资源、预测、成本和劳动力变化的政策。资源主要有人力、生产率,以及设施与设备;成本主要有库存持有成本、缺货成本、招聘/解聘成本、加班费用、库存变化成本,以及转包合同的费用;劳动力变化的政策主要有转包合同、加班、库存水平/变化和缺货。综合生产计划的输出是劳动力、库存量、生产纲领,是作为主生产计划的输入。
在工厂实际运作过程中,在编制综合生产计划前,先要根据销售子系统(合同需求的汇总)、预测子系统(生产需求的预测)和数据子系统(包括项目定义文件、产品数据结构、车间能力文件和车间工种人员及设备文件),确定最佳的产品组合,然后编制综合生产计划,综合生产计划是确定劳动力水平、库存量等的最优组合。综合生产计划编制后,也要进行能力计划与分析,若能力可行,则打印能力核算表和产品组合表,形成年生产大纲和能力核算清单、年投入计划文件、年负荷分析报告、季度工时及年投入产品计划;若能力不行,则返回,重新修改综合生产计划。主生产计划是根据市场预测和实际订单编制的最终产品生产计划,确定每批订货所需产品的数量与交货期。粗能力计划是检查核定当前所具备的生产、仓库设施和设备、劳动力的能力是否满足要求,并且核定供应商是否已经安排了足够的生产能力,以确保在需要时能按时提供所需的物料。物料需求计划是从主生产计划得到最终产品的需求量,将其分解为零件与部装件的需求量,并做出物料需求计划。该计划应确定何时安排每种零件与部装件的生产与订货,以保证按计划完成产品生产。同时要编制细的能力计划,它要对生产能力和负荷进行平衡分析,并且是对每个工作中心进行分析。这和主生产计划的粗能力计划有所区别。在粗能力计划中,只是对生产系统中的关键工作中心进行能力负荷平衡分析,最后生成生产车间作业计划或零部件的采购计划,并将加工单或采购单分别下达到车间和采购部门。综合生产计划信息流程如图1-26所示。
图1-26 综合生产计划信息流程
主生产计划在制造计划和控制系统乃至整个生产管理中都有很重要的作用,它直接与需求预测、综合生产计划及物料需求计划相联系,连接了制造、销售、工程设计及生产计划等部门。综合生产计划的计划对象为产品群,主生产计划的对象则是以具体产品为主的基于独立需求的最终物料(End Item)。主生产计划的编制是否合理,将直接影响到随后的物料需求计划的计算执行效果和准确度。一个有效的主生产计划需要充分考虑企业的生产能力,要能够体现企业的战略目标、生产和市场战略的解决方案。粗能力计划将决定企业是否有足够的能力来执行主生产计划。
主生产计划是整个计划系统中的关键环节,一个有效的主生产计划是企业对客户需求的一种承诺,它充分利用企业资源,协调生产与市场,实现生产计划大纲中所确定的企业经营计划目标。主生产计划在3个计划模块中起承上启下、从宏观计划向微观计划过渡的作用,它决定了后续的所有计划及制造行为的目标,是后续物料需求计划的主要驱动,如图1-27所示。从短期上讲,主生产计划是物料需求计划、零件生产、订货优先级和短期能力需求计划的依据。从长期上讲,主生产计划是估计本厂生产能力(厂房面积、机床数量、人力资源等)、仓库容量、技术人员和资金等资源需求的依据。
图1-27 主生产计划与其他制造活动之间的关系
综合生产计划约束主生产计划,因为主生产计划的全部细节性的计划要和综合生产计划所阐述的一致。在一些公司中,主生产计划是总公司或单个工厂按照月或季度销售计划来进行描述的;而在另一些公司中,主生产计划是根据每个月生产线上要生产的产品的产量来进行描述的。
在主生产计划编制后,要检验它是否可行,这时就应编制粗能力计划,对生产过程中的关键工作中心进行能力和负荷的平衡分析,以确定工作中心的数量和关键工作中心是否满足需求。
组装计划描述的则是在特定时期里主生产计划的物料组装成最终品,有时其对象和主生产计划的计划对象一致。在大多数情况下,最终组装计划和主生产计划的计划对象不一致。
主生产计划是制造物料的最基础的活动,是生产部门的工具,因为它指明了未来某时段将要生产什么。同时,主生产计划也是销售部门的工具,它指出了将要为用户提供什么。主生产计划还为销售部门提供生产和库存信息。一方面它可以使得企业的行销部门与各地库存和最终的顾客签订交货协议;另一方面也可使生产部门较精确地估计生产能力。若能力不足以满足顾客需求,则应及时将此信息反馈至生产和行销部门。高级管理层需要从主生产计划反馈的信息中了解制造计划是否能实现。
综合生产计划的计划对象是产品系列,每一系列可以由多个型号的产品构成,综合生产计划不做细分,这和其后的主生产计划有所区别。例如,如果某汽车公司生产某种轿车,有A、B、C和D 4种型号,计划年总生产量为1万辆,这是综合生产计划预先规定的,而不必规定每一型号的轿车的产量。而主生产计划规定每种型号的产品的生产量,如A型号的汽车为2500辆、B型号的汽车为3500辆、C型号的汽车为2000辆、D型号的汽车为2000辆。在图1-28中,通过编制汽车的综合生产计划可知第一个月的总产量为800辆。在此基础上,编制主生产计划时,不仅要将该产品群分解至每一型号的汽车产量,还要将时间周期进行分解,通常分解为以周为单位。从图1-28中可以看出,第一个月的第一周需生产A型号的汽车,产量为200辆;第二周需生产B型号和D型号的汽车,产量分别为300辆和150辆;第三周需生产C型号的汽车,产量为150辆;第四周不生产。这样,前4周的总产量和综合生产计划相对应,即为800辆。
图1-28 综合生产计划与主生产计划的关系
主生产计划(Master Production Schedule,MPS)是确定每个具体的产品在每个具体的时间段的生产计划。它是通过对综合计划中产品出产进度计划的细化,根据订单和预测信息,在计划期内,把产品系列具体化,针对最终需求编制的生产计划。
主生产计划是计划系统中的关键环节。一个有效的主生产计划是生产对客户需求的响应和承诺,它充分利用企业资源,协调生产与市场,实现生产计划中所表达的企业经营计划目标。它决定了后续的所有计划及制造行为的目标。所以,主生产计划是一个重要的计划层次,是连接生产与销售的纽带。
主生产计划的任务是把综合计划具体化为可操作的实施计划,它主要回答以下几方面的问题:① 生产什么产品;② 每种产品的生产数量;③ 每种产品开始生产的时间;④ 每种产品的交货时间。
主生产计划位于计划体系的第三层,它直接与综合计划层和物料计划层相联系,被销售、设计、制造和计划部门共享。其主要作用如下。
(1)在计划体系中起着承上启下的作用,实现了宏观计划向微观计划的分解过渡。
(2)主生产计划协调市场需求和企业制造资源之间的差距,其运行机制可较好地解决销售与生产的矛盾,保证计划的可行性和资源的充分利用。在市场多变的情况下,良好的销售与生产计划是实现生产活动的稳定和均衡。
(3)主生产计划将销售、设计、生产等部门联系起来,成为从营销到制造的桥梁。生产部门依据主生产计划(MPS)来确定未来某时段将要生产什么;设计部门依据主生产计划来调整设计和工艺准备的进度,以保证生产的需要;销售部门依据主生产计划来确定未来将为客户提供什么,明确表达对客户的承诺。同时,主生产计划还为相关部门提供生产和库存信息,一方面帮助销售部门签订订单;另一方面使生产部门较为精确地估计生产能力,平衡生产并实现对销售部门的反馈,形成沟通企业内、外部的桥梁。
图1-29所示为主生产计划与其他计划之间的关系。
图1-29 主生产计划与其他计划之间的关系
需求管理代表了企业预测、订单信息、物流配送需求等活动。需求管理收集了近期相关需求数据,如实际客户订单、潜在客户需求预测、仓库补货信息、厂内物料转移信息、备用件需求等。这些汇总的需求提供给主生产计划,是主生产计划的主要输入。
主生产计划必须以综合计划为指导,并将综合计划的目标进行分解和具体化。在主生产计划的编制过程中,一般以综合计划的生产量作为主生产计划的预测需求量。但是综合计划的对象一般是按照产品系列来考虑的,还没有细化为具体的产品型号规格。为了将其转换成主生产计划的市场需求,首先要对其进行分解,分解成每个计划期内的每一个具体型号规格的产品。在分解时,必须依据以往的销售统计资料,考虑到不同型号产品的适当组合,然后将这样的分解结果作为主生产计划的预测需求量。
粗能力计划是对主生产计划所需要的资源进行可用性分析,这些制造资源是指生产过程中的瓶颈资源。主生产计划的基本原则是根据企业的能力来确定要做的事情,通过均衡地安排生产实现计划目标,使企业在客户服务水平、库存控制和生产率提高等方面得到提升。因此,主生产计划运行时,要相伴运行粗能力计划,只有通过粗能力计划检验可行的主生产计划,才能作为下一个计划层次——物料需求计划的输入信息。
主生产计划为物料需求计划提供信息输入(毛需求)。物料需求计划是对主生产计划的分解细化,它根据主生产计划提供的最终产品的需求数量和交货时间,按照产品物料清单(BOM)展开,确定产品相关需求物料(零部件)的数量和日期。物料需求计划需要通过能力需求计划检验可行性,从而确定自制零部件的进度计划和采购计划。
对于按订单装配型企业,由于产品有多种选择性的配置,主生产计划无法预计用户的订货是哪种具体的配置,此时可以使用最终装配计划(FAS)使主生产计划处理过程简化。最终装配计划是描述某一时段内最终产品的装配计划。可以将主生产计划设定在基本部件这一级,当用户订单(配置方案)确定以后,再通过最终装配计划来装配最终产品。最终装配计划与主生产计划必须协同运行,最终装配计划要依据订单,同时也要了解主生产计划的库存信息。
主生产计划的主要类型包括按订单设计型(ETO)、按订单装配型(ATO)、按订单制造型(MTO)和备货型(MTS)等。需要从产品特征、市场需求特征和生产过程特征等方面分析各种不同生产类型主生产计划的需求特征,并在此基础上对其主要要素进行选择。表1-2所示为产品特征、市场需求特征和生产过程特征与主生产计划模式选择之间的联系。
表1-2 产品特征、市场需求特征和生产过程特征与主生产计划模式选择之间的联系
续表
不同生产类型的主生产计划具有不同的特点,这些特点构成了主生产计划的可选项。主生产计划可选项与主生产计划类型之间的关系如表1-3所示。
表1-3 主生产计划可选项与主生产计划类型之间的关系
按订单设计型主生产计划,主要针对根据客户要求进行产品设计并制造的企业,这种企业的产品一般都是较复杂的、大型的专用产品,产量很少或单件,品种很多,生产周期较长。主生产计划一方面要根据产品的交货要求规定产品总装出产的日期;另一方面还要对整个产品生产周期的各主要节点进行计划控制,如产品设计、毛还准备、零件加工与外协配套等。主生产计划的对象是用户订单要求的最终产品及各主要节点所要求完成的工作内容。各主要节点的工作内容因产品不同而不同,因此计划系统要求必须有较强的项目管理功能予以支持,如将客户订单作为一个项目,采用工作分解结构(WBS)将项目分解到主要节点。在这种情况下,客户订单的交货期和各主要节点都是主生产计划的控制点。所以,这种按订单设计型的生产系统的计划模式也可以用关键路线法(CPM)加物料需求计划(MRP)来表达,即主生产计划通过关键路线法控制客户订单的各主要节点的进度,物料需求计划则针对各节点进行物料的展开和需求量及进度的计算。
针对客户订单具有多样化和不稳定的特点,企业可以通过调整客户的订单积压,来应对市场需求波动。订单数量是预估物料和能力需求的最重要依据,必须基于订货量及特定产品的设计、采购与制造等环节的预估进行客户订单承诺分析,在这个过程中,对于关键节点和瓶颈资源的粗能力分析是必需的。由于客户订单的多样化,工艺存在较高的不确定性,产品加工和装配过程差别较大,需要柔性较高的生产制造系统。
当物料需求计划已执行,并且经能力需求计划核准后确认生产能力满足负荷的要求时,就应根据物料的属性生成生产作业计划或采购计划,其中生产作业计划以订单的形式下达到生产车间。在整个生产计划和控制系统中,生产作业控制是将物料需求计划的结果转变成可执行的作业活动,包括订单的核准、订单的排序、订单的调度、等候线的管理和车间的控制等。在执行订单的过程中,还必须对执行订单中的状态进行跟踪,包括订单的各种例外报告,以保证订单按期按量完成。
车间作业控制活动是物料需求计划的执行层次,包括订单的排序、等候线的管理、输入/输出的控制、订单的调度、生产活动的控制及反馈等。其结果要反馈至物料需求计划及细能力计划层次,以保证物料需求计划和细能力计划的可行。车间作业计划与控制的基本架构如图1-30所示。
图1-30 车间作业计划与控制的基本架构
车间作业计划(Scheduling)安排零部件(作业、活动)的出产数量、设备,以及人工使用、投入时间及产出时间。生产控制是以生产计划和作业计划为依据,检查、落实计划执行的情况,发现偏差即采取纠正措施,保证实现各项计划目标。通过编制车间作业计划和进行车间作业控制,可以使企业实现如下目标。
(1)满足交货期要求。
(2)使在制品库存最小。
(3)使平均流程时间最短。
(4)提供准确的作业状态信息。
(5)提高机器/人工的利用率。
(6)减少调整准备时间。
(7)使生产和人工成本最低。
为保证在规定的交货期内提交满足顾客要求的产品,在生产订单下达到车间时,必须将订单、设备和人员分配到各工作中心或其他规定的地方。典型的生产作业排序和控制的功能包括以下几项。
(1)决定订单顺序(Priority),即建立订单优先级,通常称为排序。
(2)对已排序的作业安排生产,通常称为调度(Dispatch),调度的结果是将形成的调度单分别下发给各个工作中心。
(3)输入/输出(Input/Output)的车间作业控制。
车间的控制功能主要包括以下两个方面。
(1)在作业进行过程中,检查其状态和控制作业的进度。
(2)加速迟缓的和关键的作业。
车间作业计划与控制是由车间作业计划员来完成的。作业计划员的决策取决于以下因素。
(1)每个作业的方式和规定的工艺顺序要求。
(2)每个工作中心上现有作业的状态。
(3)每个工作中心前面作业的排队情况。
(4)作业优先级。
(5)物料的可得性。
(6)当天较晚发布的作业订单。
(7)工作中心资源的能力。
生产计划编制后,将生产订单以加工单形式下达到车间,加工单最后发到工作中心。对于物料或零组件来讲,有的经过1个工作中心,有的经过2个工作中心,有的甚至可能经过3个或3个以上的工作中心,经过的工作中心复杂程度不一,直接决定了作业计划和控制的难易程度的不同。这种影响因素还有很多,在作业计划和控制过程中,通常要综合考虑下列因素的影响。
(1)作业到达的方式。
(2)车间内机器的数量。
(3)车间拥有的人力资源。
(4)作业移动方式。
(5)作业的工艺路线。
(6)作业在各个工作中心上的加工时间和准备时间。
(7)作业的交货期。
(8)批量的大小。
(9)不同的调度准则及评价目标。
生产作业计划是企业生产计划的延续和具体化,是生产计划的具体执行计划,通过生产作业计划,把生产计划中规定的产品任务,分解为各车间、工段、班组,以及工作地或个人作业任务,以具体指导和安排日常生产活动,保证按品种、质量、数量、期限全面完成生产计划。
在工业企业中,传统上一般将生产作业计划分为厂级生产作业计划、车间级生产作业计划和工段/班组(工作中心)级生产作业计划3个层次。如图1-31所示,厂级生产作业计划的任务是根据主生产计划编制详细物料计划,然后按照部门分工将详细物料计划任务分配给各个车间和采购部门,这期间需要编制详细能力计划,以确认详细物料计划的可行性。车间级生产作业计划将厂级下达的计划任务分配到本车间内的各生产单位(工作中心/班组),安排出各生产单位之间的作业进度计划,并组织和控制这些任务的实施。工段/班组(工作中心)级生产作业计划是由班组长具体分配作业任务给班组/工作中心内的每台设备或每个工人的计划,可以编制作业进程表(计划),也可能采用临时派工的方式。
图1-31 厂级生产作业计划的任务
生产作业计划是企业生产计划的具体执行计划。这种具体化表现在将生产计划规定的产品任务在产品规格、作业空间、时间等方面进行分解,以便将其落实到组织中的不同部门、设备或个人。也就是说,在产品规格方面,具体规定到品种、质量、数量;在作业空间方面,规定到车间、工段、班组乃至设备;在时间上,细化到月、旬、周、日、轮班、小时,以保证企业生产计划得到切实可行的落实。因此,生产作业计划的首要任务是按照产品生产计划的量、期及产品的工艺要求,将生产资源最恰当地配置给各产品任务,形成各作业空间的进度日程计划。这样,既保证按品种、质量、数量、期限全面完成生产计划,又使资源得到充分而均衡的利用。
任何产品的生产过程都由物流、信息流、资金流组成。生产作业计划的任务之一,就是要把生产过程中的物流、信息流、资金流合理组织协调起来,用最少的投入获得最大的产出。
均衡生产是指在计划期的各时间周期(月、旬或周、日)内完成的产品产量或任务量基本相等。这有两方面的含义:一方面是企业必须按计划规定的品种、质量、数量和交货期限,均衡地生产产品;另一方面要求生产过程各生产环节都按规定的时间周期,完成等量的或递增的产品产量或工作量。均衡生产是合理组织生产活动的基本要求。它对于保证产品质量、有效利用资源、建立正常生产秩序和提高企业经济效益有着重要作用。要实现均衡生产,就必须依靠生产作业计划来合理安排组织各生产环节的生产活动,及时处理生产过程中出现的矛盾和问题,按计划规定的进度要求全面完成生产任务。
企业经济效益的高低,在很大程度上取决于产品的质量和成本。而产品的质量和成本都是在生产技术准备和生产过程中形成的。生产作业计划的根本任务就是要在产品的生产过程中,严格保证产品质量达到规定的标准,努力减少产品生产过程中的消耗,最大限度地降低生产成本,力求取得最高的生产效益。
编制生产作业计划是一项非常重要的工作,其实质是把生产计划层层分解,具体落实。所以,生产作业计划的内容必须详尽具体,才能起到组织日常生产活动的作用。因而编制生产作业计划时,应达到下面一些基本要求。
(1)确保实现已确定的交货期。一般来讲,生产计划中规定的生产任务都有不同的交货期要求,为了保证按期交货,需要在生产作业计划中精心策划和安排,确定产品或零部件在各生产环节的投入/产出时间,尽可能地满足所有任务的交货期限。即使因生产能力的限制或其他条件的制约不能保证所有任务按期完成,也应使延期的损失最小。
(2)减少作业人员和设备的等待时间。提高生产效率的有效方法首先是使人员和设备能修满负荷工作,增加作业时间,减少非作业时间,特别是等待时间。因此编制生产作业计划要妥善做好各生产环节的衔接,保证各工序连续作业、平行作业,缩短加工周期,减少时间损失。
(3)使作业加工对象的流程时间最短。流程时间是指作业加工对象(如产品、零件或部件)自投入某个工艺阶段,直至被加工完成为止的全部时间。在编制生产作业计划时,运用科学方法进行合理的作业排序,可以明显缩短流程时间,给按期交货创造有利条件。
(4)减少在制品的数量和停放时间。在制品是指从原材料投放开始到成品产出为止,处于生产过程尚未完工的所有毛坯、零件、部件和产品的总称。在制品是生产流动资金的物化状态,在制品数量越多、在车间停放时间越长,流动资金周转速度越慢,造成的损失就越大;同时还会增加搬运作业量和在制品管理业务,占用场地。因此,编制生产作业计划对必须考虑在制品的影响,确定合理的占用量。
合理科学地对混流装配线的生产计划体系进行规划设计,不但可以节约投资、降低成本,而且可以改善企业的制造能力,增强竞争力。混流装配线的产生实现了多品种、小批量的生产方式,既保留了流水生产大规模、高效率、低成本的优势,又提高了多品种生产的灵活性,但是混流装配线的组织难度也比一般流水装配线的组织难度要大。例如,在汽车制造产业,通常总装生产线是汽车制造商在规划设计过程中最费时间的部分,对于混流装配线生产而言,除了要考虑生产线设计中的传统问题,还要考虑生产线对于品种的适应性,因此其规划设计更是重点。
现阶段,由于不同型号的产品被连续、混合地投入到混流装配线中,为确保装配线的平稳高效运行,需要优化装配计划,合理安排订单和产品的投产顺序,使产品品种、产量、设备负荷等达到全面均衡;要尽量平衡装配线各工位的工作负荷,充分提升生产效率和设备利用率;要为装配线提供准时、准确的物料供给,提高仓储分拣效率,从而降低物流成本,保证装配计划的顺利执行。因此,对于混流制造企业,其生产计划与调度过程显得更为复杂,建立合理的混流装配线生产计划体系尤为重要。
在装配制造行业中,混流装配线的生产计划框架可以划分为规划层、计划层与执行层3个层次。规划层主要包括年度经营规划与季度生产规划,分别对产品装配线的年度产能与生产机型进行安排;计划层中的主生产计划包括月生产计划与周生产计划,前者对产品在下个月的生产订单进行粗能力计划,后者对装配线在下一周的生产订单做出详细分配,并编制相应的物料需求计划与更为细致的能力需求计划;执行层包括日生产计划与班次执行计划,分别调度装配线的产品型号投产序列与装配工人轮岗等具体执行过程,如图1-32所示。
图1-32 装配线的生产计划框架
对于大部分生产企业,生产计划一般分为厂级生产计划和车间级生产计划。厂级生产计划包括年度、月、周计划,分别起不同程度的宏观指导作用;车间级生产计划包括日计划和班次计划,其中班次计划对生产进行最直接的指导。如果一天中只安排一个就进行生产,那么日计划与班次计划相同。下面对A企业发动机公司的厂级生产计划和车间级生产计划的管理现状进行简要分析。
(1)年度计划。总公司生产部根据销售部门下一年的订单、合同及预测在当年的11月底之前编制总公司的下一年年度整车销售计划。该计划明确了下一年每个月整车的需求量,年度整车销售计划上也标明了整车与发动机的型号对应关系。A企业发动机公司生产部根据总公司的年度计划,结合发动机年度出口计划和发动机销售计划,编制发动机公司的年度生产计划,确定下一年各月份生产各种发动机的数量。年度计划中的数量准确性较差,只对生产起到宏观指导作用。
(2)月计划。以市场需求和当前的生产能力为依据,参照年度计划编制月计划,并在当月15日之前编制下个月的生产计划,月计划列出一个月之中的每天每条生产线上各种产品的产量。与此同时,部分零部件供应商也会得到此计划,以方便备货。
(3)周计划。工作周的算法:第一周(每月的第1~7天);第二周(每月的第8~14天);第三周(每月的第15~21天);第四周(每月的第22天到月底)。总公司每月的第5、12、19、28天组织下一周的计划评审会议,对销售公司、国际公司需求的可行性进行评审,从而确定下一周的生产计划。此计划明确了下一周每天每条生产线各种产品的任务数量。
在A企业发动机公司中,指导装配线生产的车间级生产计划主要是指根据总装厂整车装配三日滚动计划对应得出的发动机日生产计划。该计划按照整车的上线计划,考虑发动机的库存,先需要的先排产,从而编制装配线的日生产计划。对加工线,则按照周计划中每日计划安排生产,不再单独编制日生产计划。在日生产计划的编制过程中,主要考虑的因素包括总装需求数量和现有产品库存情况,再结合生产能力和班次安排情况完成每班生产数量的确定和生产顺序的编排。总装三日滚动计划对发动机公司的生产计划有直接影响,总装给出未来3天的装配计划,发动机公司生产部据此得出对应的发动机需求情况,从而组织发动机公司部件加工线和装配线的生产。
综上分析,对于A企业发动机公司的计划管理,可以提出如图1-33所示的流程图。
图1-33 计划管理的流程图
此外,以某柴油发动机装配线案例阐明混流装配线的生产计划框架3个层次对应在企业中的工作细分情况。在整车企业中,一般会在整车产品进入投产环节时对柴油发动机供应商下达相应需求订单,要求在大约17天后的动力总成环节提供符合整车需求的柴油发动机产品。根据整车企业下达的客户订单,柴油发动机企业组织发动机产品的生产与交付,并为产品运输过程预留约10天的物流时间。因此,柴油发动机企业面临的订单交付期一般在7天以内,需要在周生产计划层次完全基于客户订单的组织装配线生产过程。随着客户订单的变化,柴油发动机混流装配线面临着每周的生产计划需求,其生产计划过程如图1-34所示。
图1-34 某柴油发动机混流装配线的生产计划过程
在每周开始之前,首先收集下达到柴油发动机企业的客户订单,确定客户需要的发动机型号、需求数量和交付时间。在主生产计划环节,基于订单及时交付和装配线产能平衡目标,客户订单按照特定订单分配策略被分配到下一周的工作日,形成日生产计划。根据主生产计划中的每天产能需求,资源需求计划确定混流装配线的生产节拍,分配每个工位区域内的资源能力,通过工位能力柔性获得满足生产节拍需求的工位装配时间。基于工作日生产计划与工位装配时间,产品投产排序环节以工位负荷平衡为目标,基于特定产品投产策略确定每个生产循环上线的发动机型号,获得混线装配过程中产品投产排序。在基于以上环节生成的生产计划执行过程中,企业制造部门通过计算订单交付成本、工位过载时间、物料消耗速率等性能指标,对柴油发动机装配线的订单交付能力、生产均衡性进行评价。因而,在客户订单变化后,柴油发动机企业需要针对混流装配线的生产调度方案、工位资源能力等生产计划内容进行优化,提升订单交付能力、生产均衡性等生产性能。