



课堂教学是落实数学核心素养的主阵地,数学活动是渗透数学核心素养的主渠道,发展思维是指向数学核心素养的主目标.如在概念教学中,把握概念本质,揭示概念的内涵和外延,精心设计怎样解释概念,怎样解释概念所反映的学科思想,怎样理解知识的本质属性,并能从学生的最近发展区出发,运用学生“听得懂”与“动起来”的例子精确地传递给学生,并促使学生深刻理解.
课堂教学从教学引入、教学过程的展开、重难点的突破、练习的巩固,作业的选择等环节都可有效与数学抽象紧密地联系起来,教师可引导学生从中提取问题的本质属性,完善学生的认知结构,提升学生的抽象核心素养.
数学抽象在数学各章节都有充分的体现.这里以立体几何部分为例做一个分析.我们知道,几何学研究现实世界中物体的形状、大小和位置关系.位置是空间的最原始概念,几何学中用点来标记位置,点就是位置的抽象化.连接空间两个位置的通路是空间第二个原始概念,几何学将之抽象为从一个点到另一个点的连线.两点之间的所有连线中,有且只有一条最短,我们将它称为线段.“两点之间线段最短”是欧氏空间的基本特性(其他空间都不具有这个特性,如球面上两点间的最短连线是过这两点的大圆的劣弧).光由一点射向另一点而形成的光线可以一直向前无限延伸,射线这个基本概念可以看成是光线的抽象化.给定两点 A 、 B ,射线 AB 和射线 BA 的并集就形成了由空间两点 A 、 B 所确定的唯一直线 AB .给定空间三点 A 、 B 、 C ,其中 C 不在直线 AB 上,将直线 AB 分别沿射线 AC 和射线 CA 方向无限平移,它们的并集就形成了由空间不共线三点 A 、 B 、 C 所确定的唯一平面 ABC .
以上我们抽象出了空间的基本图形——点、直线、平面,由此得到构成平面多边形、空间多面体的基本要素.以下我们看几何图形的抽象过程.
抽象一个(类)几何图形的逻辑顺序是:定义—表示—分类.其中,定义给出了几何图形本质特征的确切而简要的陈述.一个几何图形的本质特征是指其组成要素的形状及位置关系(如相交、平行、垂直等).以此为指导思想,通过对典型实例的分析、归纳得出共性,再抽象、概括出几何图形的组成要素的形状及位置关系,然后用严谨的数学术语做出表述,就得到了几何图形的定义.
需要注意的是,仅仅从分析与综合、归纳与演绎、联系与类比等一般思维方法的角度阐释数学对象的抽象过程是不够的.因为这样并没有解决“如何分析”“归纳什么”“如何类比”等问题,而这些问题恰恰是启发学生展开数学思考与探究的关键.我们知道:点、线、面是空间基本平面图形,柱、锥、台、球是空间基本立体图形;多面体由平面图形围成,部分旋转体的表面可以展开成平面图形(含圆、圆的一部分);平面图形由点、直线段围成.所以,几何图形组成要素的形状及位置关系归根到底要从点、线段、圆(或其部分)及其位置关系入手分析.这样,在几何图形定义的教学中,教师一定要让学生在明确“几何图形的要素、要素之间的关系各指什么”的基础上,对“这类图形的组成要素是什么”“要素的形状是什么”“要素之间有什么位置关系”等展开分析、归纳、类比的思维活动,这样才能做到有的放矢.
得到定义后,要给出几何图形要素的表示.几何对象的表示是与众不同的,有符号语言、文字语言和图形语言等多种方式.特别是符号语言的使用,使数学表达具有简洁性、明确性、抽象性、逻辑性等融为一体的特点,可以极大地缩减数学思维过程,减轻大脑的负担,更有利于我们认识和表达数学对象的本质.所以,在抽象研究对象阶段,要重视数学对象的符号表示.
以要素的特征与要素间的关系为标准对几何图形进行分类.分类是理解数学对象的重要一环.一个数学对象的具体例子不胜枚举,按某种特征对它们“分门别类”,就使这一对象所包含的事物条理化、结构化,并可由此确定一种分类研究的路径,使后续研究按顺序展开.分类就是把研究对象归入一定的系统和级别,形成有内在层级关系的“子类”系统结构,从而进一步明确数学对象所含事物之间的逻辑关系,由此可以极大地增强“子类特征”的可预见性,从而也就有利于我们发现数学对象的性质.
以上是一个完整地获得几何对象的过程,“定义—表示—分类”是“基本动作”,是学生学会用数学的眼光观察世界、用数学的语言表达世界的基础,教材和教学都应该以明确的方式告诉学生“如何观察”“如何定义”,以使学生逐渐学会抽象出一个数学对象的方式方法.要注意通过恰当的问题情境,构建有利于学生观察与分析事物的数形属性、归纳共同本质属性并概括到同类事物中去的数学活动,让学生在具体情境中展开认识活动,并在“什么是几何对象的结构特征”“如何观察”“如何归纳”等方面加强引导,使学生在经历完整的数学抽象过程中获得研究对象.
在课堂教学中以问题意识为主线,通过积极探索,以问题意识为主线可以激发学生的思维意识和探索动力,通过对问题的一般性的分析研究,可以涉及到更深层次的抽象.
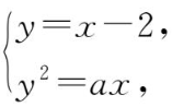
问题: 已知直线 y = x -2与抛物线 y 2 = ax 相交于 A 、 B 两点,且 OA ⊥ OB ,其中 O 为原点,求实数 a 的值.
解
将直线与抛物线方程联立得
消去字母
y
得
-(
a
+4)
x
+4=0.
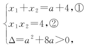
设 A ( x 1 , y 1 ), B ( x 2 , y 2 ),因为直线与抛物线有两个交点,则由韦达定理得
已知
OA
⊥
OB
,则
=0,则
x
1
x
2
+
y
1
y
2
=0,
即 x 1 x 2 +( x 1 -2)( x 2 -2)=0,将①式和②式代入得 a =2
自主探究
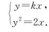
(1)上题改为:过抛物线 y 2 =2 x 的顶点 O 作互相垂直的两条弦,分别与抛物线交于 A 、 B 两点.试问: A 、 B 的连线有什么特点?
分析
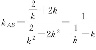
设直线
OA
的斜率为
k
,由于
OA
⊥
OB
,所以直线
OB
的斜率为
,有
销去
y
得
k
2
x
2
-2
x
=0,得点
A
的横坐标为
,所以
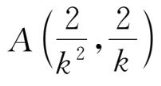
,用
换
k
得到
B
(2
k
2
,-2
k
),当
时,则直线
AB
的斜率为
.
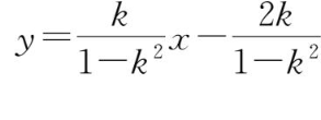
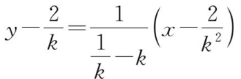
由点斜式得直线
AB
的方程为
,即
.
若令
y
=0,可得
x
=2.由此可知直线
AB
恒过定点(2
p
,0).可以验证,当
时,该结论也成立,即
A
、
B
的连线恒过点(2,0).
(2)思考上述一般情形的逆命题:一条直线过点(2 p ,0)交抛物线 y 2 =2 px ( p >0)于 A 、 B 两点,则直线 OA 与 OB 垂直吗( O 为坐标原点)?
分析 当过点(2 p ,0)的直线 AB 与 x 轴垂直时,△ OAB 为直角三角形,结论成立;
当过点(2 p ,0)的直线 AB 不与 x 轴垂直时,设该直线的方程为: y = k ( x -2 p ),代入 y 2 =2 px ,得 k 2 x 2 -2 p (2 k 2 -1) x +4 p 2 k 2 =0.
又
=
x
1
x
2
+
y
1
y
2
=
x
1
x
2
+
k
2
(
x
1
-2
p
)(
x
2
-2
p
)=(1+
k
2
)
x
1
x
2
-2
pk
2
(
x
1
+
x
2
)
x
+4
p
2
k
2
=4
p
2
+8
p
2
k
2
-4
p
2
-8
p
2
k
2
=0,
所以 OA ⊥ OB .
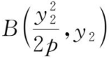
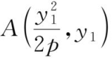
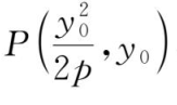
(3)上面的问题都是基于原点而言,那么是否对抛物线其他一般点也成立?如:对于 y 2 =2 px ( p >0)上一点 P ( x 0 , y 0 ),作互相垂直的两条弦,分别与抛物线交于 A 、 B 两点.试问: A 、 B 的连线也过定点吗?
分析
设
,
,
=-1即
=-1,整理得-
y
1
y
2
=(
y
1
+
y
2
)
y
0
+
y
0
2
+4
p
2
. ①
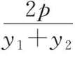
直线
AB
的方程为
y
-
y
1
=
,即(
y
1
+
y
2
)
y
-
y
1
y
2
=2
px
.
将①式代入,整理得(
y
1
+
y
2
)(
y
+
y
0
)=2
p
[
x
-
+2
p
)],则
y
+
y
0
=
[
x
-(
x
0
+2
p
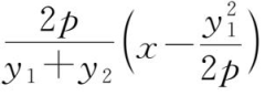
)],故直线
AB
过定点
M
(
x
0
+2
p
,-
y
0
).
当 x 0 =0, y 0 =0, p =1时,就是自主探究第(1)问.这是此类问题的一般情形,它是特殊情形的抽象概括.
由此可见,在学习中应把课本读活、读深,避免就题论题,一定要抓住机会,扩大战果.对好的题目,进行合理挖掘,不断探索,能有效提高学生的抽象能力.
数学课堂教学是数学抽象素养落地生根的主要渠道,需要教师精心设计问题,让学生真正经历数学知识逐步抽象概括的过程,通过学生的探究,发展学生的数学抽象素养.
概念是反映事物的本质属性和特征的思维形式,数学概念的形成过程是抽象概括的过程,是对表现形式各异的数学关系进行总结,最终抽象概括出一般性的过程.大多数教师使用的概念教学方式是:①揭示本质属性,给出定义;②揭示概念的内涵和外延;③巩固概念;④概念的应用和建立与其他概念间的联系.这是一种比较简明直接的概念学习,偏重于概念的逻辑,忽视了数学概念本身具有现实背景的教学过程.因此,概念学习中要从概念产生的背景、形成过程以及3种语言的相互转化等角度理解,“使之符合学生主动建构的教育原理”.
在概念形成的过程中,概念对象的本质属性一般来说是未知的,需要教师在教学过程中引导、启发学生在思维上经历抽象概括事物本质属性的认识过程,使学生的理解和已有知识相联系,正确认知数学对象的本质属性,感知在数学概念学习中真实的思维活动过程.数学概念的形成大致经过4个阶段:①抽离阶段——感知具体材料、直观背景及其基本属性;②筛选阶段——分析综合具体材料或对象的本质属性;③扩充阶段——抽象概括对象的一般表述,并赋予对象形式化的定义及符号;④确认阶段——进行检验、矫正抽象过程、定义和符号,确认其是否与数学的真理性标准相符并加以推广.
数学命题课是高中数学教学中的一种常见课型,它不仅是数学事实的陈述,还是解决一类问题的通法.因此,对数学命题的抽象,不仅要关注抽象的结果及应用,更要关注抽象的过程,其过程中蕴含着数学的多种思想方法.
解决下列实际问题,归纳分类加法计数原理与分步乘法计数原理的相关命题:
(1)用一个大写的英文字母或一个阿拉伯数字给教室里的座位编号,总共能够编出多少种不同的号码?
(2)从甲地到乙地,可以乘火车或乘汽车.一天中,火车4班,汽车8班.乘这些交通工具从甲地到乙地,有多少种不同方法?
(3)书架的第1层放有4本不同的计算机书,第2层放有3本不同的文艺书,从书架中任取1本书,有多少种不同的取法?
(4)用6个大写英文字母A,B,C,D,E,F和9个阿拉伯数字1,2,3,4,5,6,7,8,9,以A1,A2,…B1,B2,…的方式给教室里的座位编号,总共能编出多少个不同的号码?
(5)从甲地到乙地,需经过丙地.从甲地到丙地有2条路,从丙地到乙地有3条路.从甲地到乙地,有多少种不同的路线?
(6)书架的第1层放有4本不同的计算机书,第2层放有本不同的文艺书,第3层放有2本不同的体育书.从书架的第1、2、3层各取1本书,有多少种不同的取法?
设计意图 创设生活情境问题,激发学生的好奇心和兴趣.
在学生解决以上6个实际生活问题后,再依次提出4个连续问题.
问题1:观察前3个问题的计数方式,有什么共同点?
设计意图 生成分类加法计数原理的数学符号公式.
问题2:观察后3个问题的计数方式,有什么共同点?
设计意图 生成分步乘法计数原理的数学符号公式.
问题3:在 n 维情况下将两个原理推广.
设计意图 生成 n 维情况下的数学符号公式,并培养学生形成从特殊到一般的抽象能力.
问题4:观察6个问题的计数方式,有什么异同点?
设计意图 归纳出分类加法计数原理与分步乘法计数原理的异同点.
案例1-8中,教师将核心问题从横向、纵向两个思维方向进行比较,设计出4个具有高阶思维的连续问题,这样的设计让学生在具体的生活情境中,通过从特殊到一般和类比的思维方法,归纳并形成简单的数学命题,进而培养了学生的抽象概括能力.
进入高三,复习课就成为高三的一种常态课.课上教师往往就题论题,讲得多,学生反复操练,记忆得多,提炼得少,直接导致学生看到一些似曾相识的题目却无从下手.因此,对复习课题目的设计及教学,应该具有针对性、典型性和示范性,既帮助学生理解所学知识,又有助于学生掌握数学本质及数学思想方法.下面是数学思想方法教学中的问题设计案例.
已知函数 f ( x )= ax 2 +( ab -2) x -2( a ∈R, b ∈R).
问题1: 若 a =-1, b =1时,求解不等式 f ( x )≥0.
设计意图 生成一元二次不等式的解法.
问题2:若不等式 f ( x )≥0的解集为{ x | x ≥2或 x ≤-1},求实数 a 、 b .
设计意图 逆用一元二次不等式的解法,培养学生的逆向思维能力.
问题3:若 b =1时,求解不等式 f ( x )≤0.
变式1:若 b =0时,求解不等式 f ( x )≤0.
设计意图 生成含参不等式的解法(参数分类的标准).
问题4:若
b
=0,不等式
f
(
x
)≥0的解集为
,求实数
a
的取值范围.
设计意图 生成不等式在实数集R上恒成立的处理方法.
问题5:当 b =1, x ∈[1,2]时,函数 y = f ( x )的图像恒在 x 轴上方,求实数 a 的取值范围.
设计意图 生成不等式在区间范围上恒成立的处理方法(分离参数、含参讨论等方法).
变式2:当 b =1, a ∈(1,2)时,不等式 f ( x )≥0恒成立,求实数 x 的取值范围.
设计意图 对比问题5,突出主元法在不等式恒成立问题中的应用.
案例1-9中,教师将核心问题(含参数函数)通过参数的不同赋值,分解成7个由易到难的问题,并引导学生一次完成问题,总结每类题型及处理方法.这样的问题设计不仅避免了大量的试题练习,提高了课堂的效率,也让学生能够理解和构建相关问题之间的联系,抽象出数学模型,提炼出解决一类问题的数学方法,理解其中的数学思想.另外,通过对问题合理地进行变式,让学生归纳数学方法,抽象数学问题的本质,从而促进思维的深度发展,提升数学抽象素养.
总之,数学课堂教学是数学抽象素养落地生根的主要渠道,需要教师精心设计问题,让学生真正经历数学知识逐步抽象概括的过程,通过学生的探究,发展学生数学抽象素养.当然,数学抽象素养的培养绝非一日之功,也不可能立竿见影,它是一种养成性教育,需要教师从长计议,从点滴做起,持之以恒,注重后发效应.