



考试从能力立意到素养的转变,突出表现为考查目的从关注知识逐渐转向关注人;考核目标从常规性的问题解决技能逐渐转向创造性的探究能力;考查情境从学科知识化到真实情境化;试题条件从结构良好到结构开放;试题要素从单一因素到复合因素;试题框架从碎片到整体.
素养导向的高考命题注重基础知识的巩固与理解,注重科学素养的提升,科学思维方法的掌握,科学态度的形成,注重解决生活中的实际问题.素养导向的高考命题引导中学教学尊重学生学习的主体地位,激发学生学习的主观能动性,养成学生良好的学习习惯,从而为国家培养合格而有个性的社会主义建设人才.
在高考试题中考查数学的思维策略与方法是近几年的热点之一.而高考中突出考查思维策略与方法有一般与特殊、正向与逆向的转化方法的灵活应用.从数学的解题方法上,能掌握相应的思维策略与方法,常常使人茅塞顿开、绝处逢生.
一般化是与特殊化相反的思维方法,即将研究对象从原来范围扩展到更大范围进行考察和研究.由一个特殊性问题,联想到它的一般性问题,然后通过对一般性问题的分析、研究,来使特殊性问题得到解决.这种思维意识可以培养和提高数学抽象能力.
比如,当推广后的命题与原命题的条件与结论的形式或结构基本相同时,得到的命题是原命题的形式推广(或平凡推广).
问题: 观察分析表1-3中的数据.
表1-3
猜想一般凸多面体中 F 、 V 、 E 所满足的等式是____.
分析 归纳总结时,通过它们之间的和差运算的结果,然后归纳出一般结论.面数( F )与顶点数( V )的和减去棱数( E )的差为同一值的规律是解答本题的关键.
解 三棱柱,面数( F )+顶点数( V )-棱数( E )=5+6-9=2.
四棱柱,面数( F )+顶点数( V )-棱数( E )=6+8-12=2.
立方体,面数( F )+顶点数( V )-棱数( E )=6+8-12=2.
所以可猜想一般凸多面体中 F 、 V 、 E 所满足的等式是: F + V - E =2.
这类问题推广以后命题是否正确,是否需要证明?当然对的命题要给出证明,错误的命题要举出反例加以说明.而对于案例1-12这样的填空题要给出证明就有点不妥,故命题人就需要选择能直接判断正确的问题来加以考查,因此此类命题一般从已有的数学等式出发.案例1-12中的等式是著名的欧拉公式.
对一个命题的推广有多种途径可循.一般是把条件进行相似性变换,即在数学元素的数量上或维数上进行推广;几何方面常表现为线段或边数(角数)的增加,或从平面到空间的推广;代数方面常表现为变量个数的递增;三角方面常表现为角数或含角的三角函数量的扩充.不同侧面的数量变化的研究,就可推出不同方向的命题推广链.这是一种类比性质的推广,往往会得到一些形式相似的结论.它反映了数学对象之间的横向相似联系,可以加深人们对于一类事物外延性的不同表现的认识.
特殊化是把所研究的数学问题从原来的范围缩小到一个较小范围或个别情形进行考察研究的思维方法.
在解题过程中,对于一时难以入手的一般问题,一个使用最普遍而又较为简单易行的方法,就是把它向特殊的形式转化,得到一个新的数学问题,然后通过对特殊性问题的研究,得到一般性问题的解法,即所谓的特殊化方法.有两种类型:①从简单情形入手,作为解决一般问题的突破口;②考察特殊对象(包括着眼于极端情形),为求解一般问题奠定基础.
问题: 设 g ( x )是定义在R上、以1为周期的函数,若 f ( x )= x + g ( x )在[3,4]上的值域为[-2,5],则 f ( x )在区间[-10,10]上的值域为____.
解 g ( x )是定义在R上、以1为周期的函数,不妨可以假设 g ( x )为[3,4]上的单调增函数,且此时 g ( x )的值域为[-5,1],则 f ( x )= x + g ( x )为[3,4]上的增函数,且 f ( x )的值域为[-2,5],满足条件.进一步推广到[-10,10]时,因为 g ( x )是以1为周期的函数,则其值域为[-5,1],则 f ( x )在[-10,10]上的值域为[-10-5,1+10],即为[-15,11]
案例1-13中所示问题,选择特殊化的方式可快速求出结果来.若从一般化的角度分析,则须把[-10,10]分成 x ∈[-10,-9], x ∈[-9,-8],……, x ∈[9,10]上分别求出其值域,再求出其并集,比较烦琐.
一般解题都从正向出发,按顺向、正面的思考方向的流程进行分析解题.但有些数学问题,单一从正面出发,却是困难的.如果变化思考方向,从问题的逆向着手,那么往往轻松获解.这正体现了顺繁则逆,正难则反的解题策略.
问题:
在平面直角坐标系
xOy
中,对于直线
:
ax
+
by
+
c
=0和点
P
1
(
x
1
,
y
1
)、
P
2
(
x
2
,
y
2
),记
=(
ax
1
+
by
1
+
c
)(
ax
2
+
by
2
+
c
).若
则称点
P
1
、
P
2
被直线
分隔,若曲线
C
与直线
没有公共点,且曲线
C
上在点
P
1、
P
2
被直线
分隔,则称直线
为曲线
C
的一条分隔线.若动点
M
到
Q
(0,2)的距离与到
y
轴的距离之积为1,设点
M
的轨迹为
E
,求证:通过原点的直线中,有且仅有一条直线是
E
的分割线.
解
设
M
(
x
,
y
),根据题设得
E
方程是
.
因 x =0不满足上述方程,且以- x 代 x 上述方程不变知曲线关于 y 对称,所以直线 x =0是 E 的一条分隔线.
下面证明唯一性,假设还有过原点的直线为分隔线,即设 y = kx 是 E 的另一条分隔线,代入 E 的方程得[ x 2 +( kx -2) 2 ]· x 2 =1.
要直接证明这个方程有解是困难的,变形为
x
2
+(
kx
-2)
2
=
,记
y
1
=
x
2
+(
kx
-2)
2
,
y
2
=
,则
y
1
是开口向上的二次函数
y
2
是关于
y
轴对称的幂函数,它们总有交点,即直线
y
=
kx
与
E
有交点,与分隔线的定义矛盾.所以不存在
y
=
kx
形式的直线,即
E
中有且仅有一条分隔线
x
=0.
证明命题中的存在性可采用代入法给予检验说明.但唯一性就需要正反结合考虑.案例1-14中就是用反证的方法,假设还存在其他的直线满足题意,然后推出矛盾,从而否定假设,证明唯一性成立.
2016年,教育部考试中心构建了高考评价体系框架,明确“必备知识、关键能力、学科素养、核心价值”的考查目标以及“基础性、综合性、应用性、创新性”的考查要求.在推动核心素养在基础教育中落地生根的关键阶段,高考毋庸置疑是最现实、最立竿见影的途径之一.上海每年高考数学试题,在上一年试点改革成功的基础上,继续巩固改革成果,近几年还适当降低压轴题的难度,贴近广大考生的水平.试卷中彰显学科特点,发挥了数学培养理性思维的价值和解决实际问题的工具作用,特别是加强核心素养在试卷中的地位和作用.以下选择部分试题谈谈与数学核心素养的结合的心得.
“数学抽象”素养的考查重点是学生在各种情境中抽象出数学概念、命题、方法和体系的能力,在日常生活和实践中善于一般性思考问题,把握事物的本质、以简驭繁,运用数学思想方法解决问题的思维品质.“直观想象”素养的考查重点是学生运用图形和空间想象思考问题、运用数形结合解决问题的能力;通过几何直观洞察表面现象的数学结构与联系,抓住事物本质的思维品质.这两种思想观点常常结合在一起考,代数与几何结合有助于数形结合解决问题.
“逻辑推理”素养的考查重点是学生结合表达式的抽象形式,运用逻辑推理的基本形式,提出和论证命题、理解事物之间的关联、把握知识结构的能力;形成重论据、有条理、合乎逻辑的思维品质.“数学运算”虽然是传统的数学三大能力之一,但作为数学核心素养的数学运算不仅要考查学生的运算基本功,更重要的是考查学生有效借助运算方法解决问题的能力.两种能力必然是相互关联的,有了逻辑推理的思路,再通过合理的运算实施,可以达到解决问题的目的.
“数学建模是指运用数学的语言和方法,通过抽象、简化建立能近似刻画并解决实际问题的一种强有力的数学手段”,“是用数学语言描述实际现象的过程.”通过数学建模教学使学生了解利用数学方法分析、解决问题的过程,增强学生应用数学知识解决问题的意识,提高学生用数学思维去解决问题的能力.
应用问题在第一次抽象中必须通过观察、类比、联想和结构分析,从中区分提炼出各种属性,并能建构出各种典型模型;然后在概括和普适化阶段中把典型模型一般化,通过类比、归纳和联想概括出一般化后的数学对象所具备的本质的公共的属性,并借助式子、图表等进行解模求解.
近几年高考中应用的内容涉及面宽,模型更加多样化,考查的广度与深度得以加强,对应用问题的分析提出了新的要求.应用问题类型主要是提供自然界和社会生活、生产中的许多信息作为问题的条件,而要解决的结论是需要解决的实际问题,涉及到函数、不等式、解析几何等各章节的内容.一般可分为简单应用型问题和数学建模问题.
“数学建模”的考查重点是学生用数学模型解决实际问题,其中涉及数学建模的完整过程,即在实际情境中,从数学的视角发现问题、提出问题,分析问题、建立模型,确定参数、计算求解,验证结果、改进模型,最终解决实际问题.
上海新高考突出应用题的考查力度,近几年有涉及到与共享单车相关和自驾与公交的通勤问题,它们都是紧密联系生活实际的应用题.应用题的考查功能是多方面的,首先就要认真审题,只有明确了题目的要求,解题才能得心应手,形成自已的思路和解题策略;然后建模,将已知条件翻译成数学语言,再将实际问题转化为数学模型,常见的模型有函数模型应用题,不等式模型应用题,数列模型应用题等;最后求解和验证.
问题: 有编号不相同的5个砝码,其中5克、3克、1克各1个,2克的2个,从中随机选取3个,则这3个砝码的总质量为9克的概率是___(结果用最简分数表示).
解
枚举可知:符合总质量为9克只有5、2、2和5、3、1两种组合,则
“数据分析”核心素养的考查重点是学生基于数据表达现实问题、运用合适的统计方法进行推断和决策的能力,形成通过数据认识事物的思维品质.其具体表现包括:收集和整理数据、理解和处理数据、获得和解释结论、概括和形成知识.
上海近几年对数据分析的考查要求不高,这是由教材与考纲决定的,但全国卷要求不低,随着上海教材的改变,可能会在力度上有所上升.随着考试改革的进一步深入,高考对数学核心素养的考查会越来越重视,正像李尚志教授所讲的:“核心素养不是强加于课程之外的额外负担和无病呻吟.而应该渗透在具体数学内容的教学过程中,成为引导学生理解和应用数学知识的指路明灯和导航仪.”
探索是认识客观世界过程中人类最积极、最活跃的思维活动,这使得探索性问题存在于所有领域.数学中的探索性问题,特别是高中数学中的探索性问题,条件不完备(条件开放)或结论不确定(结论开放)的开放性问题,是新课改背景下高考的热点题型之一,这种问题的解决需要对所给问题进行观察、分析、比较、抽象概括,之后得出结论,再予以肯定.这种解决问题的过程与抽象概括的过程很类似,因此,探索性问题的解决能有效地训练学生的思维,培养学生的抽象概括能力.解决探索性问题,较少现成的套路和常规程序,需要较多地分析和数学思想方法的综合应用,它对学生的观察、联想、类比、猜想、抽象、概括等方面的能力有较高的要求.
探究与研究是指运用学过的知识,通过观察、试验、联想、类比、演绎、归纳、分析、综合、猜想等方法,对问题进行探索和分析或进行研究性学习.
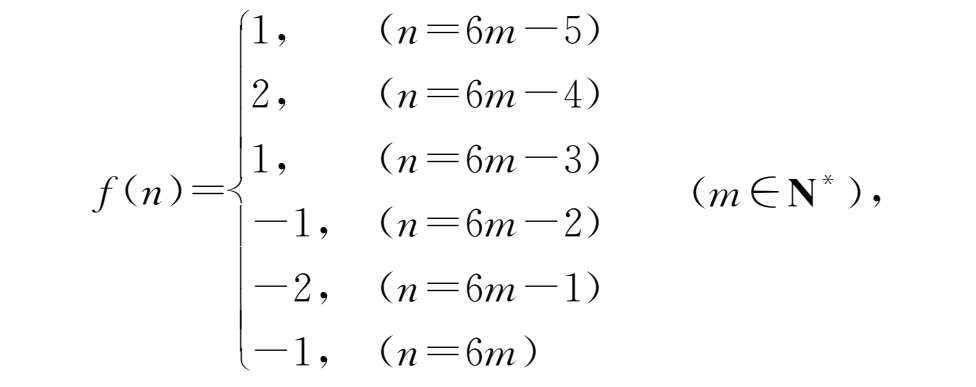
问题: 已知定义在N * 上的函数 f ( n )满足 f ( n +1)= f ( n )+ f ( n +2).
(1)试写出函数 f ( n )的一个性质;
(2)若 f (1)=1, f (2)=2求 f (2020)的值.
解 (1)由已知 f ( n +2)= f ( n +1)- f ( n ),得
f ( n +3)= f ( n +2)- f ( n +1)= f ( n +1)- f ( n )- f ( n +1)=- f ( n ),
于是 f ( n +6)= f [( n +3)+3]=- f ( n +3)=-[- f ( n )]= f ( n ).
因此函数 f ( n )具有的性质可以是:① f ( n +3)=- f ( n );② f ( n +6)= f ( n ),即 f ( n )为周期等于6的周期函数.
(2)由(1)的结论及 f (1)=1, f (2)=2, f (3)=1知
故 f (2020)= f (6×336+4)=-1.
说明 第(1)题也可以先设 f (1)=1, f (2)=2.再根据 f ( n +2)= f ( n +1)- f ( n )求出 f (3)= f (2)- f (1)=2-1=1, f (4)= f (3)- f (2)=1-2=-1, f (5)= f (4)- f (3)=-1-1=-2, f (6)= f (5)- f (4)=-2-(-1)=-1, f (7)= f (6)- f (5)=-1-(-2)=1, f (8)= f (7)- f (6)=1-(-1)=2.……从而猜想 f ( n +6)= f ( n ), f ( n )为周期等于6的周期函数,探索出函数 f ( n )的性质,然后加以证明.
为了培养学生的关键能力,在教学中,通过开展研究性学习方式,是提高教学效果的措施.研究性学习强调学生通过实践,增强探究和创新意识.学习科学研究的方法,发展综合应用知识的能力,形成一种积极的、主动的、自主合作探究的学习方式.
研究性课题的教学目标是学会提出问题和明确探究方向,培养创新精神和应用能力,以研究报告或论文的形式,反映研究成果,进行交流.因此,研究性课题无论从教学内容,还是从教学形式、教学方法上讲,都是对常规课堂教学的补充与提高,是培养学生抽象概括能力的有效策略.
数学中的研究性学习,主要是指会从数学的角度发现问题和提出问题,并主动进行探索、研究和解决.
问题:
(1)在抛物线
y
2
=2
px
(
p
>0)中,过顶点
O
作两直线交抛物线于
A
、
B
两点,且
,直线
AB
交
x
轴于
E
点,则
E
为定点.
(2)试把上述命题推广到一般情形,提出同(1)类似的问题((1)应当作为特例),并进行研究,你能得到什么样的结论?
解
(1)设直线
AB
:
x
=
ky
+
m
,其中
,交抛物线于
A
、
B
两点,代入
y
2
=2
px
得
y
2
-2
pky
-2
m
=0,又
,∴
x
1
x
2
+
y
1
y
2
=0.
故
,∴
m
2
-2
pm
=0,解得
m
=2
p
,或
m
=0(舍去),即
E
点坐标为(2
p
,0).
(2)
问题:
在抛物线
y
2
=2
px
(
p
>0)中,过顶点
O
作两直线交抛物线于
A
、
B
两点,且
(
c
为定值),直线
AB
交
x
轴于
E
点,则
E
是否为定点?
∵
x
1
x
2
+
y
1
y
2
=
c
,故
m
2
-2
pm
-
c
=0,∴
或
.因此,当且仅当
c
=0时,
E
为定点.
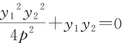
说明 通过前面问题的解答,也就尝试用方程的方法可求出 AB 连线与 x 轴所交的定点坐标,它的本质是由 x 1 x 2 + y 1 y 2 =0求出,如果将 x 1 x 2 + y 1 y 2 =0转变为 x 1 x 2 + y 1 y 2 = c ,结论会发生变化.因此对特殊情形的深入细致的分析,善于抓住问题的本质是解研究性学习问题的重要方法.
数学基础指的是从众多的事物和现象中抽象出来的“数与形”的一般规律的知识,是对已形成的数学概念、规律和方法的表述和运用.重抓基础的落实,抓知识、方法网络构建的落实,才能提高能力.一方面,对基础知识的灵活运用本身就是能力;另一方面,在求活、求新、求变的命题指导思想下,抓好基础才能以不变应万变.操作层面上要以课本为主,全面梳理知识、方法,注意知识的重组与概括,揭示其内在的联系与规律,从中提炼出思想方法.主要做好以下几点:①概念的准确理解和实质性理解;②基本技能、基本方法的熟练和初步应用;③公式、定理的正逆推导、运用、变形和巧用.
数学教学总是从概念开始,由此引出定理、公式等相关运算,由此所得的解题方题即是所谓的“通性通法”,这是教学中首先应该强调的“一般法则”.通性通法解题的优点是容易想到,但有时运算较繁,而有时从其他角度出发可能获得比较简单的解法.因此,指导学生复习既要注重通法,也不能忽视其他特殊的解法(或称为“特技”),以培养学生的发散性思维.这样的学生既有扎实的基础,又有宽阔的眼界,是创新型人才必须具备的一种品质.
在中学数学的教学过程中,把培养学生的抽象概括能力、数学高中课程标准和考试要求有效结合起来,是高中数学教师值得研究的课题.