



在这一章以及接下来的三章里,我们将尝试集中澄清一些困惑。这些困惑和我们特别要研究的问题并没有什么特殊的或者独一无二的关联。我们不妨说,这几章算是有些离题了,我们要暂时将有待研究的主题搁置一段时间。之所以在这里讨论这些问题,原因在于,它们非同寻常,需要特殊处理。然而,无论在其他什么地方,人们对这些问题的研究都不能满足我的需要。
在写作本书时,一些困惑让我束手束脚。如果不能解决这些困惑,我将不能挥洒自如地表达思想。这些困惑是:(1)能够用于表达经济体系总量的合适单位;(2)在经济分析中,预期起着怎样的作用;(3)收入的定义。
经济学通常使用的单位不能令人满意。只要举出国民收入、真实资本存量和一般物价水平这几个概念,情况就可见一斑。
(1)根据马歇尔和庇古教授
的定义,国民收入衡量的是当前产量或真实收入,而不是产出的价值量或货币收入。
进一步而言,从某种意义上说,国民收入取决于
净
产量,即净增加量。也就是说,由于当期的生产活动以及付出,在扣除期初真实资本存量的损耗后,一个社会可用于消费或者用作资本存量的资源。经济学家试图在此基础上建立起数量科学。但是,这个社会生产的产品和服务非属同质,除非是一些特例,比如所有产品都按同一比例增加,否则的话,严格说来,我们无法衡量这些产品和服务。如果我们面对的是非属同质的情况,国民收入这个定义很难实现预想的效果。
(2)为了计算净产出,我们必须衡量资本设备的净增加量。此时我们将遇到更大的困难。这是因为,我们必须要找到某种基础,在这个基础上,我们能够在如下两类设备之间进行数量比较:一类是新时期生产的资本设备,另一类是本期损耗的旧设备。为了得到国民 净 收入,庇古教授扣除了所谓的“可以合理地称作正常的折旧。设备的折旧很有规律,足以据此作出预测,即使在细节上做不到,也能预测出个大概”。但这种扣除并不是以货币形式作出的,既然如此,他已经隐含地假设,虽然实物本身没有变化,但实物的数量有可能已经发生了变化。换言之,他已暗中引入了 价值 变化。此外,由于技术发生变化,新旧两种设备也非属一类,他不能推导出一套令人满意的公式 [1] ,借助这个公式,人们可以比较新旧设备的价值。我相信,就经济分析而言,庇古教授致力于定义的概念不仅正确无误,并且恰如其分。但是,如果无法找到一整套令人满意的单位,那就根本不可能作出精确定义。既要比较两种不同的真实产出,还要用不属于同一类的新旧设备之损耗差来计算净产出,人们可以肯定地说,这个难题无解。
(3)从本质上说,一般物价水平这个概念是模糊不清的。人们很清楚这一点,却又无计可施。因此,如果我们将这个概念用于因果分析,效果自然很不令人满意。这是因为,在进行因果分析时,所用术语的概念必须精确无误。
但是,如果将这些困难当作某种“难题”来处理,这倒不失为一种合理的做法。从某种意义上说,这些难题属于“纯理论范畴”。这是因为,这些难题不至于让商业决策造成混淆,事实上,它们从未进入商业决策的领域。它们和经济事件的因果关系毫无瓜葛。尽管这些概念在数量上是不确定的,但不论是商业决策,还是经济事件,其本身都是清晰而明确的。因此,我们可以毫不夸张地说,这些概念不仅有欠精准,更非不可或缺。显然,在进行数量分析时,我们不能采用那些数量上模糊不清的概念来表达。事实上,正如我希望表明的,做过数量分析的人都会清楚地知道,如果不再纠缠于这些概念,他们的工作只会更加顺利。
两组对象构成复杂而且不可比较,本身不能作为数量分析的素材。但是,统计并不要求严格的计算,只要能够作出大致的判断就可以了,因此,上述事实不妨碍我们对两组对象作出近似的统计比较,在一定的范围内,这种做法不仅意义重大,而且合理可行。但是,对于诸如真实净产出和一般物价水平这样的概念,只有在历史和统计的描述中,它们才能得其所哉;研究它们的目的,也应该仅仅是为了满足历史的、社会的求知欲。而要实现这个目标,追求绝对的精确不仅相当罕见,也全无必要。对于有关数量的实际价值,不管我们的认识是否臻于完全而精确,只要我们想进行因果分析,绝对的精确就不可或缺。要是有人说,如果物价水平相对更低,今天的产出要高于十年前或者一年前,这就相当于说,虽然维多利亚女王比伊丽莎白女王治国有方,却没有后者幸福快乐。我们不能说这种说法言之无物,或者言语无趣,但要将这种说法用于微积分计算,结果必然风马牛不相及。如果我们试图用这种模棱两可且没有数量化的概念作为数量分析的基础,我们得到的精确性只是自欺欺人。
需要牢记的一点是, 无论在什么 情况下,企业家考虑的决策都是,他需要雇用多少劳动力投入既定的设备。如果我们说,企业家预期需求增加(也就是总需求函数提高),总产量会随之增加,我们真正想要表达的意思是,受此预期的诱导,拥有资本设备的企业家将会雇用更多的劳动力。如果我们考虑的是单个企业或者是生产同类产品的行业,那么只要我们愿意,我们就可以合理地说,产量是增加还是减少。但如果我们想要将所有企业的经济活动加以汇总,那么,我们就不能说产量是增加还是减少,除非我们用就业数量来加以表示,将这些就业数量应用于既定设备。我们现在的任务并不是比较如下的情况,也就是说,如果资本设备数量和劳动力数量不同于当前的数量,那么,相应的总产出数量较之当前的产出如何,我们没有必要衡量当前产出的绝对量。既然如此,在这里也无需考虑总产出和总产出价值这两个概念。如果我们只是希望作出描述和粗略比较,这时需要用到产出增加这个说法,那么,必须将这个说法建立在如下的一般前提上:只有对应于既定资本设备的就业数量,才可以令人满意地表达相应产出这个概念,也就是说,假设这两个数量一同增加或减少,但不是按照同一比例。
因此,在研究就业理论时,我建议只使用两个基本的数量单位:货币价值单位和就业单位。第一个数量单位严格同质。经过适当的处理,第二个数量单位也能做到这一点。这是因为,虽然劳动和有偿服务的等级和类型不同,但是,只要所支付报酬的比例相对固定,我们可以将雇用一般劳动力工作一个小时作为基本单位,这就足以满足我们研究的要求。根据特殊劳动和一般劳动报酬的比例关系,我们可以计算一小时特殊劳动的就业数量。比如说,如果一小时特殊劳动所获报酬是常规劳动所获报酬的两倍,那么,这种劳动换算成的就业数量就是两个单位。我们将衡量就业数量的单位称为劳动力单位(labour-unit)。一个劳动力单位的货币工资,我们称之为工资单位(wage-unit)
。因此,如果
E
是工资总额,
W
是工资单位,
N
是就业数量,那么,
E
=
N
·
W
。
一个不争的事实是,不同劳动者在如下两方面通常差异悬殊:一是专业技能;二是对不同岗位的适应能力。但是,这个事实不会颠覆劳动力供给同质的假设。这是因为,如果劳动者的薪酬和其工作效率之间存在比例关系,我们只需认为,个人对劳动力供给量的贡献和其薪酬成比例,那么,劳动者之间的差异问题就会迎刃而解。特定企业以同样的工资单位雇用劳动力完成特定任务,随着产量的增加,新雇用劳动力的效率每况愈下。导致回报递减的原因不一而足,这里的情况只是原因之一。如果我们将异质却报酬相同的劳动力单位应用于资本设备,那么,随着产量的增加,我们会这样表述,这项资本设备在使用劳动力单位时,其适应性会越来越低;我们不会说,劳动力单位在使用相同资本设备时越来越不适应。因此,如果专业的或熟练的劳动力没有剩余,企业只能使用适应能力稍逊的劳动力,那么,单位产出的劳动力成本会随之增加。这就意味着,随着就业数量的增加,设备所获回报比率的递减速度要快于(专业或熟练劳动力)仍有剩余时的情况
。在极端的情况下,不同劳动力单位的专业程度相当之高,以至于相互之间完全不能替代。就算在这种情况下,我们的假设也不会遇到麻烦。这是因为,这种情况仅仅表明,如果应用于某种特定类型设备的闲置劳动力已经全部得到雇用,那么,该设备所获产出的供给弹性即刻降为零
。因此,除非不同劳动力单位之间的相对薪酬比例捉摸不定,否则我们关于劳动力单位同质的假设仍然安然无恙。就算不同劳动力单位之间的相对薪酬关系确实存在捉摸不定的情况,但只要我们假设,劳动力供给函数和总供给函数的形状亦随之快速变化,这个困难也会迎刃而解。
当我们将经济体系作为一个整体进行研究时,我们将基本单位严格限定在货币和劳动;当我们单独分析单个企业或行业的产出时,我们不妨继续使用特定产出单位和设备单位作为数量单位。我相信,这种做法会免除诸多不必要的混淆。至于那些模糊不清的概念,比如总产量、全部资本设备数量以及一般物价水平,我们应该明确界定不确定和近似的范围(这个范围有可能相当之大)。只有在这个范围内,只有在进行某种历史比较时,我们才能使用这些概念。
可以推断,如果以熟练劳动薪酬和一般劳动薪酬的比例关系作为权重,我们能够计算熟练劳动的工时,进而衡量应用于既定资本设备之工时的薪酬,那么,我们就有可能衡量当前产出的变化(无论受雇的劳动者是生产消费品,还是生产资本品)。虽然不同的资本设备对应着不同类型劳动的产出,但我们无需对此进行数量比较。假设企业家掌握一定的资本设备,他将如何对总需求函数的变化作出反应?为了预测企业家的反应,我们没有必要去比较不同时代以及不同国家的产量、生活水准和一般物价水平。
一般说来,我们可以用供给曲线表示供给条件。我们不难画出供给曲线。无论我们考虑的是特定企业或行业,还是整个经济体系中的活动,我们都可以用供给弹性表示产量相对于价格的变化。由于我们已确定了两个基本数量单位,因此在表示供给弹性时,我们可以采用这两个单位,而不采用产量。这是因为,特定企业的总产量函数是:
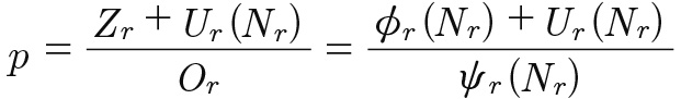
Z r =Φ r ( N r )
其中, Z r 是可以诱发某个就业水平 N r 的预期收益(扣除使用者成本)。因此,如果就业数量和产量之间的关系是,一定的就业数量 N r 导致一定的产量 O r ,其中 O r =ψ r ( N r ),可以推导:
这就是一般供给曲线,其中, U r ( N r )是针对一定就业水平 N r 的(预期)使用者成本。
因此,如果我们研究的是同质商品,也就是说, O r =ψ r ( N r )有明确的意义,那么,我们能够用常规的方法衡量 Z r =Φ r ( N r )。既然我们无法用数量来表示Σ O r ,我们无法像加总 N r 那样加总各个 O r 。此外,如果我们能假设,在既定的环境下,既定的就业总量能以唯一的方式分配于不同行业,这样, N r 就是 N 的函数,问题也就进一步简化。
[1] 参阅哈耶克教授的批评,载于《经济学》( Economica ),1935年8月号,第247页。