



现有
个静止传感器利用TDOA观测信息对某个静止辐射源进行定位,其中第
个传感器的位置向量为
,它们均为已知量;辐射源的位置向量为
,它是未知量。由于TDOA信息可以等价为距离差信息
,为了方便起见,下面直接利用距离差观测量进行建模和分析。
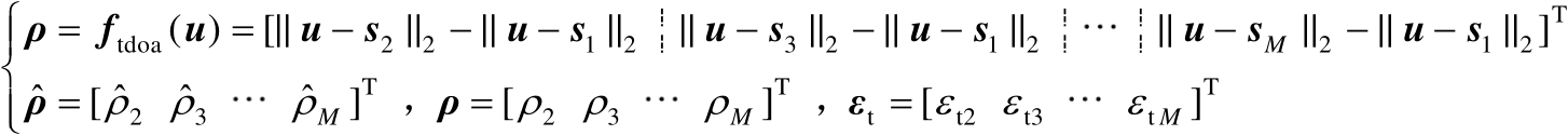
不失一般性,将第1个传感器设为参考,并且将辐射源与第
个传感器的距离记为
,于是辐射源与传感器之间的距离差可以表示为
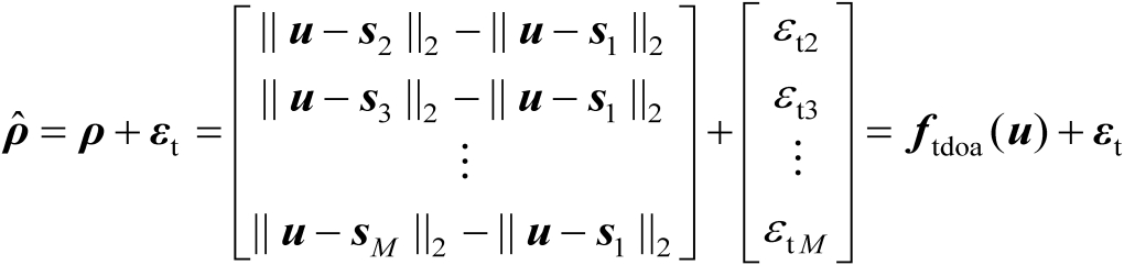
(5.1)
实际中获得的距离差观测量是含有误差的,可以表示为
(5.2)
式中,
表示观测误差。将式(5.2)写成向量形式可得
(5.3)
式中
(5.4)
这里假设观测误差向量
服从零均值的高斯分布,并且其协方差矩阵为
。
下面的问题在于:如何利用TDOA观测向量
,尽可能准确地估计辐射源位置向量
。本章采用的定位方法是基于多维标度原理的,其中将给出两种定位方法,5.2节描述第1种定位方法,5.3节给出第2种定位方法,它们的主要区别在于标量积矩阵的构造方式不同。